终于 来到第八章啦!这一章也不简单 题外话: 根据笔者多年自学经验来讲,课本或教材上讲的,初读可能看不懂,即所谓“每个字都认识,但连起来就不知道是什么意思了”。结合最近看过的”鸡汤帖“,笔者觉得这种现象大抵因为初学者和作者的思想维度不一样。等学者真正理解,便能领悟原文的意义;一旦能领悟,便忘了自己当初为何不明白,也不再能以初学者的口吻进行描述了。 要想跨越这个思想维度,最快的办法是去接触需求,在实践中理解,在理解中巩固提高;若无法接触实际项目,可以反复研读示例,尽力去领悟,不过要费很多时间、正反馈来得慢,但也请轻易不要放弃。现在伴随着AI的发展,也可以尝试向AI提问,让他以不同倾诉对象的口吻分别来解释,就能从入门级、进阶级、专业级分别来理解,逐步递进。 |
目录
n. 衰退 regression analysis 回归分析;还原分析 regression model 回归模型 regression curve 回归曲线 |
n. 系数;(测定某种质量或变化过程的)率,程度;系数 friction coefficient 磨擦系数 coefficient of variation 变异系数;变动系数;变更系数 CV |
关键内容摘要
金句:医学研究中,经常需要探讨一个因变量与一组自变量之间的关系。当因变量为连续型变量时,通常可以使用线性和非线性模型来进行统计分析。
简单线性回归 研究一个因变量和一个自变量之间的线性趋势的数量关系
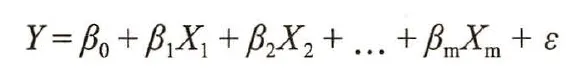
多元线性回归 分析一个因变量与多个自变量的线性数量关系的方法

2.应用条件:
①因变量Y与各个自变量X1 、X2·· … ·Xm存在线性关系;
②各个观测的因变量之间相互独立;
③残差E服从均数为0 ,方差为σ2的正态分布。
3.偏回归系数的假设检验:
F检验和t检验,两者完全等价【SPSS软件-t检验】
其他注意事项
4.自变量筛选:保证自变量均有统计学意义
①全局择优法;②逐步选择法(前进法、后退法、逐步回归法)
5.回归模型的评价:
①决定系数:R2,因变量Y的变异中回归关系所能解释的比例,反映回归贡献的相对程度
②复相关系数:R,反映应变量Y与多个自变量间的线性相关程度,即因变量Y与通过回归方程估计的因变量Y的估计值之间的Pearson相关系数
--手动分割线-线性回归与Logistic回归的区分--
![]() | ![]() | |
![]() | ![]() | |
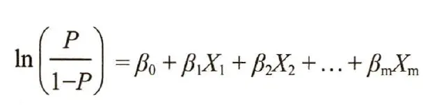
Logistic:指Logistic函数(Sigmoid函数),将任意实数映射到(0,1)区间 Logit:是Logistic函数的反函数,将(0,1)区间的概率映射回实数范围(-∞, +∞)
|
Logit变换的核心意义 原始概率:被限制在 [0,1],无法直接进行线性建模 Logit变换后:范围扩展到 (−∞,+∞),可以用线性模型拟合
|
log-logarithm (general)-未指定底数,或底数为10 ln-natural logarithm-底数为 e≈2.718 |
1.回归方程

2.回归系数
常数项β0:暴露量为0时,个体发生事件与不发生事件概率之比的自然对数
回归系数βj:表示自变量Xj改变一个单位时Logit(P)的改变量,与OR有对应关系
3.Logistic回归系数估计与假设检验
极大似然估计:构建一个样本似然函数,求 样本似然函数最大时 的回归系数,该值即为回归系数的估计值
对回归系数进行假设检验:似然比检验、Wald检验、计分检验
其他注意事项
4.变量筛选:选择回归效果显著的自变量
5.变量取值形式:两分类变量建议取值0和1;无序多分类变量进行哑变量处理;等级变量可以直接以原形式纳入分析,也可以进行哑变量处理;连续型变量若满足线性关系可以直接纳入,若不满足需进行分类,以等级变量纳入模型。
6.样本量考虑:大样本,样本量大于自变量的20倍
7.模型拟合优度检验:
8.回归模型应用条件:
1️⃣各个研究对象之间相互独立【传染病患者之间互相影响】;
2️⃣自变量与Logit变换后的因变量之间存在线性关系
无序多分类和有序Logistic回归
两分类Logistic回归的推广模型
条件Logistic回归
针对配对资料分析的一种方法
以上内容援引自《临床回顾性研究实用指南》,系自行学习总结,如有版权问题请联系删除。