

周一:语文/机动
周二:数学/历史
周三:英语/机动
周四:物理/机动
周五:化学/史政
周六:地理/机动
周日:机动/机动
初中阶段 数学人教版
知识链接
├ 02 初中数学知识点思维导图
├ ┌ 七年级上册思维导图及备考方法
├ ├ 七年级下册思维导图及备考方法
├ ├ 八年级上册思维导图及备考方法
├ ├ 八年级下册思维导图及备考方法
├ ├ 九年级上册思维导图及备考方法
├ └ 九年级下册思维导图及备考方法
├ 03 初中数学知识点归纳汇总
├ ┌ 七年级上册知识考点汇总
├ ├ 七年级下册知识考点汇总
├ ├ 八年级上册知识考点汇总
├ ├ 八年级下册知识考点汇总
├ ├ 九年级上册知识考点汇总
├ └ 九年级下册知识考点汇总
├ 04 初中阶段数学寒暑假预习
├ ┌ 七年级上册暑假预习题及答案
├ ├ 七年级下册寒假预习题及答案
├ ├ 八年级上册暑假预习题及答案
├ ├ 八年级下册寒假预习题及答案
├ ├ 九年级上册暑假预习题及答案
├ └ 九年级下册寒假预习题及答案
├ 05 其它资料汇总
├ ┌ (1)初中单元测试卷
├ ├ ┌ 七年级上册(共5章)
├ ├ ├ 七年级下册(共5章)
├ ├ ├ 八年级上册(共5章)
├ ├ ├ 八年级下册(共5章)
├ ├ ├ 九年级上册(共5章)
├ ├ └ 九年级下册(共5章)
├ ├ (2)专项提优测试卷
├ ├ ┌ 七年级上册(共5章)
├ ├ ├ 七年级下册(共5套)
├ ├ ├ 八年级上册(共4组)
├ ├ ├ 八年级下册(共5章)
├ ├ ├ 九年级上册(共6组)
├ ├ └ 九年级下册(共5章)

九年级下册
第二十六章 反比例函数
26.1 反比例函数
26.1.1反比例函数

26.1.2反比例函数的图象和性质
第1课时 反比例函数的图象和性质(1)

第2课时 反比例函数的图象和性质(2)

第3课时 反比例函数的图象和性质(3)

26.2 实际问题与反比例函数
第1课时 实际问题与反比例函数(1)

第2课时 实际问题与反比例函数(2)

请在微信客户端打开
第二十七章 相似
27.1 图形的相似
第1课时 相似图形

第2课时 相似多边形

27.2 相似三角形
27.2.1相似三角形的判定
第1课时 平行线分线段成比例

第2课时 相似三角形的判定定理1,2

第3课时 相似三角形的判定定理3

27.2.2相似三角形的性质

27.2.3相似三角形应用举例

27.3 位似
第1课时 位似图形及作图

第2课时 位似图形的坐标变化规律

请在微信客户端打开
第二十八章 锐角三角函数
28.1 锐角三角函数
第1课时 正弦

第2课时 余弦、正切

第3课时 特殊角的三角函数值

第4课时 非特殊角的三角函数值

28.2 解直角三角形及其应用
28.2.1解直角三角形

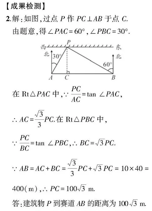
第1课时 单个直角三角形和双直角三角形(俯角、仰角问题)

第2课时 方向角和坡角问题

28.2.2应用举例
请在微信客户端打开
第二十九章 投影与视图
29.1 投影
第1课时 投影

第2课时正投影

29.2 三视图
第1课时 三视图

第2课时由三视图想象出立体图形

第3课时由三视图到表面展开图

29.3课题学习制作立体模型

请在微信客户端打开
全书知识大归纳
第二十六章 反比例函数

第二十七章 相似

第二十八章 锐角三角函数

第二十九章 投影与视图

PDF版下载(可打印)
【识别二维码下载或下面链接百度云下载】
答案解析






请在微信客户端打开








请在微信客户端打开






请在微信客户端打开



九年级必读及自主阅读有声书链接(未更新完)
四大名著学生版
国内经典文学著作
《四世同堂》 《呼兰河传》 《繁星·春水》
影响一生的世界名著
《大卫,科波菲尔》 《呼啸山庄》
《安娜,卡列妮娜》《瓦尔登湖》
大型国学史学经典
《中国历代名人精粹》《中华名人传记》(未完)
英语、有声书、奥数训练……更多请关注进入公众号菜单获取
欢迎关注eboy公众号

需要排版好打印的,请回复联系
本公众号其它文章链接
2020年4月发布的中小学课外阅读目录
《教育部基础教育课程教材发展中心 中小学生阅读指导目录(2020年版)》
(点击黑体字部分查看对应的目录)
【图文媒体均来自网络,若涉及版权,反馈处理】


