当前位置:首页>学习笔记>学习笔记1-无感FOC -拓展卡尔曼滤波EKF解析

学习笔记1-无感FOC -拓展卡尔曼滤波EKF解析

  • 2026-05-20 06:23:23
学习笔记1-无感FOC -拓展卡尔曼滤波EKF解析
最近学习了Foc的高阶无感算法,拓展卡尔曼滤波算法,下面对其核心内容进行解析说明:
EKF的核心:通过协方差矩阵,去计算估算值和实测值之间的方差,通过协方差矩阵计算卡尔曼增益看,通过卡尔曼增益K,对测量值和估算值进行重新分配得到最优估算,估算值要优于实测值和估算值。
EKF的5大公式:
EKF解析-公式1:
核心说明:状态估算实际和EKF的逻辑没有任何关系,估算是通过α、β轴的电机方程+离散化的方式得到。
  • αβ 轴连续时域核心方程
  • 前向欧拉离散化
  • 公式一实际估算方程
     x_pred[0]= iα + Ts*(-Rs/Ls*iα + ωe*PSIf/Ls*sinf(θe)+ uα/Ls);     x_pred[1]= iβ + Ts*(-Rs/Ls*iβ - ωe*PSIf/Ls*cosf(θe)+ uβ/Ls);     x_pred[2]= ωe;
     x_pred[3]= θe + Ts*ωe;
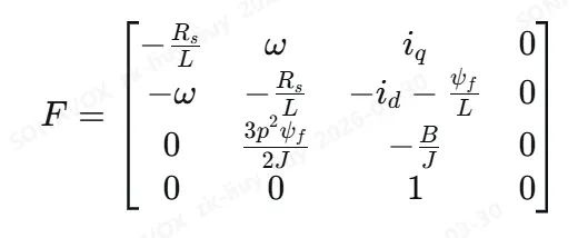
EKF解析-公式2:
核心说明:通过公式1得到的预测值(转子电角度和速度),计算雅可比矩阵,通过雅可比运算(线性化)+Q矩阵(模型误差),实现协方差P的更新。为第三步的卡尔曼增益k做准备
  • 协方差计算
  • 雅可比矩阵
  • Q矩阵(模型误差)
    主要来源于死区,模型观测问题,信号链路延迟,工程常用Q矩阵
    EKF解析-公式3:
    核心说明:通过第二步更新的协方差,去映射模型误差在采样角度的误差,之后通过K=模型误差(电流采样角度)/模型误差+R(采样误差)
  • R测量误差
    电流采样的误差,采集进去是ia ib,通过基尔霍夫KCL定理和Clark运算,得到iα和iβ。实际由于采样精度问题,会存在误差
  • H矩阵(估算的iα和iβ)
    本质上是第一步估算的iα和 iβ:
    x_pred[0]= iα + Ts*(-Rs/Ls*iα + ωe*PSIf/Ls*sinf(θe)+ uα/Ls);    x_pred[1]= iβ + Ts*(-Rs/Ls*iβ - ωe*PSIf/Ls*cosf(θe)+ uβ/Ls);
  • HPHT
通过协方差来映射在测量角度看的,估算误差带来的实际策略误差(本质上就为了和R测量误差矩阵保持同一个平台角度)
  • 计算卡尔曼增益K值
  • EKF解析-公式4:
    核心说明:通过卡尔曼增益k,对模型预测值和传感器实测值重新分配,得到更精准的数据。
  • 这里存在一个核心问题,对iα和iβ是可以通过传感器得到,为什么可以计算更重要的 电角度θ和转速w?
    因为模型建议电流、电角度、转速,是完全锁死的。也就是电流模型准确,导致转速和电角度也是准确的,具体为什么,还因为电机模型:
  • 公式,第四步是最简单,本质是通过k值去调节观测值
    新的观测值(本轮最终输出值)=旧的观测器值+k*(αβ电流实测值-αβ电流观测值)
  • EKF解析-公式5:
    核心说明:通过卡尔曼增益k,对协方差进行更新,为下一轮的EKF运算做准备。本质目的是为了最终的协方差收敛趋近于0
EKF最终的目的是,为了使得协方差p矩阵,接近于0矩阵。因为协方差矩阵的主对角线表示的就是iα电流、iβ电流、电角度θ、转速w
下面是关键代码解析:

// 协方差矩阵 Pfloat P[4][4] = {    {10,0,0,0},    {0,10,0,0},    {0,0,100,0},    {0,0,0,100}};// 过程噪声 Qfloat Q[4][4] = {    {0.1f,0,0,0},    {0,0.1f,0,0},    {0,0,10.0f,0},    {0,0,0,0.5f}};// 观测噪声 R(电流采样噪声)float R[2][2] = {    {0.5f,0},    {0,0.5f}};// 单位矩阵float I[4][4] = {    {1,0,0,0},    {0,1,0,0},    {0,0,1,0},    {0,0,0,1}};//========================= 矩阵工具函数(简化版) =========================//void Matrix_Mul4x4(float A[4][4], float B[4][4], float out[4][4]);void Matrix_Mul4x4T(float A[4][4], float B[4][4], float out[4][4])// A*B^Tvoid Matrix_Add4x4(float A[4][4], float B[4][4], float out[4][4]);float Matrix_Det2x2(float m[2][2]);void Matrix_Inv2x2(float m[2][2], float out[2][2]);//========================= EKF 主函数(5大步骤完整实现) =========================//// 输入:uα, uβ 电机电压// 输入:iα_sam, iβ_sam 电流采样void EKF_Step(float uα, float uβ, float iα_sam, float iβ_sam){    // 保存上一时刻状态    float iα_prev = x[0];    float iβ_prev = x[1];    float ωe_prev = x[2];    float θe_prev = x[3];    //=====================================================================    // 【第一步:状态预测(先验估计)】    // 公式:x_pred = f(x_prev, u)    // 完全使用电机 αβ 方程计算    //=====================================================================    float x_pred[4];    x_pred[0] = iα_prev + Ts*(-Rs/Ls*iα_prev + ωe_prev*PSIf/Ls*sinf(θe_prev) + uα/Ls);    x_pred[1] = iβ_prev + Ts*(-Rs/Ls*iβ_prev - ωe_prev*PSIf/Ls*cosf(θe_prev) + uβ/Ls);    x_pred[2] = ωe_prev;                        // 短时间转速不变    x_pred[3] = θe_prev + Ts*ωe_prev;            // 角度 = 角度 + 转速*时间    // 角度限幅 -π ~ π    if(x_pred[3] >  M_PI) x_pred[3] -= 2*M_PI;    if(x_pred[3] < -M_PI) x_pred[3] += 2*M_PI;    //=====================================================================    // 【第二步:计算雅可比矩阵 F】    // 作用:非线性模型线性化,描述状态间误差耦合    //=====================================================================    float F[4][4] = {0};    float F11 = 1 - Rs*Ts/Ls;    float F13 = PSIf*Ts/Ls*sinf(θe_prev);    float F14 = PSIf*Ts/Ls*ωe_prev*cosf(θe_prev);    float F22 = 1 - Rs*Ts/Ls;    float F23 = -PSIf*Ts/Ls*cosf(θe_prev);    float F24 = PSIf*Ts/Ls*ωe_prev*sinf(θe_prev);    F[0][0] = F11;   F[0][1] = 0;    F[0][2] = F13;   F[0][3] = F14;    F[1][0] = 0;     F[1][1] = F22;  F[1][2] = F23;   F[1][3] = F24;    F[2][0] = 0;     F[2][1] = 0;    F[2][2] = 1;     F[2][3] = 0;    F[3][0] = 0;     F[3][1] = 0;    F[3][2] = Ts;    F[3][3] = 1;    //=====================================================================    // 【第三步:协方差预测】    // 公式:P_pred = F*P*F.T + Q    // 作用:把上一轮误差按电机模型传播放大    //=====================================================================    float P_temp1[4][4], P_temp2[4][4], P_pred[4][4];    Matrix_Mul4x4(F, P, P_temp1);         // F * P    Matrix_Mul4x4T(P_temp1, F, P_temp2);  // F*P * F^T    Matrix_Add4x4(P_temp2, Q, P_pred);    // + Q    //=====================================================================    // 【第四步:计算卡尔曼增益 K】    // 公式:K = P_pred*H.T / (H*P_pred*H.T + R)    // 作用:自动决定信任模型还是信任传感器    // H = [[1,0,0,0],[0,1,0,0]]    //=====================================================================    float S[2][2], S_inv[2][2];    S[0][0] = P_pred[0][0] + R[0][0];    S[0][1] = P_pred[0][1] + R[0][1];    S[1][0] = P_pred[1][0] + R[1][0];    S[1][1] = P_pred[1][1] + R[1][1];    Matrix_Inv2x2(S, S_inv);  // 求逆    // K = P_pred * H.T * S_inv    float K[4][2];    K[0][0] = P_pred[0][0] * S_inv[0][0] + P_pred[0][1] * S_inv[1][0];    K[0][1] = P_pred[0][0] * S_inv[0][1] + P_pred[0][1] * S_inv[1][1];    K[1][0] = P_pred[1][0] * S_inv[0][0] + P_pred[1][1] * S_inv[1][0];    K[1][1] = P_pred[1][0] * S_inv[0][1] + P_pred[1][1] * S_inv[1][1];    K[2][0] = P_pred[2][0] * S_inv[0][0] + P_pred[2][1] * S_inv[1][0];    K[2][1] = P_pred[2][0] * S_inv[0][1] + P_pred[2][1] * S_inv[1][1];    K[3][0] = P_pred[3][0] * S_inv[0][0] + P_pred[3][1] * S_inv[1][0];    K[3][1] = P_pred[3][0] * S_inv[0][1] + P_pred[3][1] * S_inv[1][1];    //=====================================================================    // 【第五步:状态更新】    // 公式:x_new = x_pred + K*(z - H*x_pred)    // 作用:用电流误差修正 iα、iβ、ωe、θe    //=====================================================================    float res[2];    res[0] = iα_sam - x_pred[0];   // iα 残差    res[1] = iβ_sam - x_pred[1];   // iβ 残差    x[0] = x_pred[0] + K[0][0]*res[0] + K[0][1]*res[1];    x[1] = x_pred[1] + K[1][0]*res[0] + K[1][1]*res[1];    x[2] = x_pred[2] + K[2][0]*res[0] + K[2][1]*res[1];  // 修正转速    x[3] = x_pred[3] + K[3][0]*res[0] + K[3][1]*res[1];  // 修正角度    // 角度限幅    if(x[3] >  M_PI) x[3] -= 2*M_PI;    if(x[3] < -M_PI) x[3] += 2*M_PI;    //=====================================================================    // 【第六步:协方差更新】    // 公式:P_new = (I - K*H)*P_pred    // 作用:压缩误差,给下一轮使用    //=====================================================================    float KH[4][4] = {0};    KH[0][0] = K[0][0]; KH[0][1] = K[0][1];    KH[1][0] = K[1][0]; KH[1][1] = K[1][1];    KH[2][0] = K[2][0]; KH[2][1] = K[2][1];    KH[3][0] = K[3][0]; KH[3][1] = K[3][1];    // I - K*H    float I_KH[4][4];    for(int i=0; i<4; i++)        for(int j=0; j<4; j++)            I_KH[i][j] = I[i][j] - KH[i][j];    // P = (I-KH)*P_pred    Matrix_Mul4x4(I_KH, P_pred, P);}
以上,总结一下:
1,通过电机模型进行估算
2,通过估算值,计算雅可比矩阵
3,基于雅可比矩阵+模型误差Q,计算更新协方差
4,通过协方差、观测误差、实测误差,更新卡尔曼增益k
5,通过卡尔曼增益k+观测误差R,得到本轮最终的输出值
(iα、iβ、w、θ)
6,更新协方差,保证协方差主对角,收敛趋近于0

最新文章

随机文章

基本 文件 流程 错误 SQL 调试
  1. 请求信息 : 2026-05-20 17:50:47 HTTP/2.0 GET : https://67808.cn/a/478989.html
  2. 运行时间 : 0.080120s [ 吞吐率:12.48req/s ] 内存消耗:4,500.64kb 文件加载:140
  3. 缓存信息 : 0 reads,0 writes
  4. 会话信息 : SESSION_ID=52257297ab739ddb79c582823a18113e
  1. /yingpanguazai/ssd/ssd1/www/no.67808.cn/public/index.php ( 0.79 KB )
  2. /yingpanguazai/ssd/ssd1/www/no.67808.cn/vendor/autoload.php ( 0.17 KB )
  3. /yingpanguazai/ssd/ssd1/www/no.67808.cn/vendor/composer/autoload_real.php ( 2.49 KB )
  4. /yingpanguazai/ssd/ssd1/www/no.67808.cn/vendor/composer/platform_check.php ( 0.90 KB )
  5. /yingpanguazai/ssd/ssd1/www/no.67808.cn/vendor/composer/ClassLoader.php ( 14.03 KB )
  6. /yingpanguazai/ssd/ssd1/www/no.67808.cn/vendor/composer/autoload_static.php ( 4.90 KB )
  7. /yingpanguazai/ssd/ssd1/www/no.67808.cn/vendor/topthink/think-helper/src/helper.php ( 8.34 KB )
  8. /yingpanguazai/ssd/ssd1/www/no.67808.cn/vendor/topthink/think-validate/src/helper.php ( 2.19 KB )
  9. /yingpanguazai/ssd/ssd1/www/no.67808.cn/vendor/topthink/think-orm/src/helper.php ( 1.47 KB )
  10. /yingpanguazai/ssd/ssd1/www/no.67808.cn/vendor/topthink/think-orm/stubs/load_stubs.php ( 0.16 KB )
  11. /yingpanguazai/ssd/ssd1/www/no.67808.cn/vendor/topthink/framework/src/think/Exception.php ( 1.69 KB )
  12. /yingpanguazai/ssd/ssd1/www/no.67808.cn/vendor/topthink/think-container/src/Facade.php ( 2.71 KB )
  13. /yingpanguazai/ssd/ssd1/www/no.67808.cn/vendor/symfony/deprecation-contracts/function.php ( 0.99 KB )
  14. /yingpanguazai/ssd/ssd1/www/no.67808.cn/vendor/symfony/polyfill-mbstring/bootstrap.php ( 8.26 KB )
  15. /yingpanguazai/ssd/ssd1/www/no.67808.cn/vendor/symfony/polyfill-mbstring/bootstrap80.php ( 9.78 KB )
  16. /yingpanguazai/ssd/ssd1/www/no.67808.cn/vendor/symfony/var-dumper/Resources/functions/dump.php ( 1.49 KB )
  17. /yingpanguazai/ssd/ssd1/www/no.67808.cn/vendor/topthink/think-dumper/src/helper.php ( 0.18 KB )
  18. /yingpanguazai/ssd/ssd1/www/no.67808.cn/vendor/symfony/var-dumper/VarDumper.php ( 4.30 KB )
  19. /yingpanguazai/ssd/ssd1/www/no.67808.cn/vendor/topthink/framework/src/think/App.php ( 15.30 KB )
  20. /yingpanguazai/ssd/ssd1/www/no.67808.cn/vendor/topthink/think-container/src/Container.php ( 15.76 KB )
  21. /yingpanguazai/ssd/ssd1/www/no.67808.cn/vendor/psr/container/src/ContainerInterface.php ( 1.02 KB )
  22. /yingpanguazai/ssd/ssd1/www/no.67808.cn/app/provider.php ( 0.19 KB )
  23. /yingpanguazai/ssd/ssd1/www/no.67808.cn/vendor/topthink/framework/src/think/Http.php ( 6.04 KB )
  24. /yingpanguazai/ssd/ssd1/www/no.67808.cn/vendor/topthink/think-helper/src/helper/Str.php ( 7.29 KB )
  25. /yingpanguazai/ssd/ssd1/www/no.67808.cn/vendor/topthink/framework/src/think/Env.php ( 4.68 KB )
  26. /yingpanguazai/ssd/ssd1/www/no.67808.cn/app/common.php ( 0.03 KB )
  27. /yingpanguazai/ssd/ssd1/www/no.67808.cn/vendor/topthink/framework/src/helper.php ( 18.78 KB )
  28. /yingpanguazai/ssd/ssd1/www/no.67808.cn/vendor/topthink/framework/src/think/Config.php ( 5.54 KB )
  29. /yingpanguazai/ssd/ssd1/www/no.67808.cn/config/app.php ( 0.95 KB )
  30. /yingpanguazai/ssd/ssd1/www/no.67808.cn/config/cache.php ( 0.78 KB )
  31. /yingpanguazai/ssd/ssd1/www/no.67808.cn/config/console.php ( 0.23 KB )
  32. /yingpanguazai/ssd/ssd1/www/no.67808.cn/config/cookie.php ( 0.56 KB )
  33. /yingpanguazai/ssd/ssd1/www/no.67808.cn/config/database.php ( 2.48 KB )
  34. /yingpanguazai/ssd/ssd1/www/no.67808.cn/vendor/topthink/framework/src/think/facade/Env.php ( 1.67 KB )
  35. /yingpanguazai/ssd/ssd1/www/no.67808.cn/config/filesystem.php ( 0.61 KB )
  36. /yingpanguazai/ssd/ssd1/www/no.67808.cn/config/lang.php ( 0.91 KB )
  37. /yingpanguazai/ssd/ssd1/www/no.67808.cn/config/log.php ( 1.35 KB )
  38. /yingpanguazai/ssd/ssd1/www/no.67808.cn/config/middleware.php ( 0.19 KB )
  39. /yingpanguazai/ssd/ssd1/www/no.67808.cn/config/route.php ( 1.89 KB )
  40. /yingpanguazai/ssd/ssd1/www/no.67808.cn/config/session.php ( 0.57 KB )
  41. /yingpanguazai/ssd/ssd1/www/no.67808.cn/config/trace.php ( 0.34 KB )
  42. /yingpanguazai/ssd/ssd1/www/no.67808.cn/config/view.php ( 0.82 KB )
  43. /yingpanguazai/ssd/ssd1/www/no.67808.cn/app/event.php ( 0.25 KB )
  44. /yingpanguazai/ssd/ssd1/www/no.67808.cn/vendor/topthink/framework/src/think/Event.php ( 7.67 KB )
  45. /yingpanguazai/ssd/ssd1/www/no.67808.cn/app/service.php ( 0.13 KB )
  46. /yingpanguazai/ssd/ssd1/www/no.67808.cn/app/AppService.php ( 0.26 KB )
  47. /yingpanguazai/ssd/ssd1/www/no.67808.cn/vendor/topthink/framework/src/think/Service.php ( 1.64 KB )
  48. /yingpanguazai/ssd/ssd1/www/no.67808.cn/vendor/topthink/framework/src/think/Lang.php ( 7.35 KB )
  49. /yingpanguazai/ssd/ssd1/www/no.67808.cn/vendor/topthink/framework/src/lang/zh-cn.php ( 13.70 KB )
  50. /yingpanguazai/ssd/ssd1/www/no.67808.cn/vendor/topthink/framework/src/think/initializer/Error.php ( 3.31 KB )
  51. /yingpanguazai/ssd/ssd1/www/no.67808.cn/vendor/topthink/framework/src/think/initializer/RegisterService.php ( 1.33 KB )
  52. /yingpanguazai/ssd/ssd1/www/no.67808.cn/vendor/services.php ( 0.14 KB )
  53. /yingpanguazai/ssd/ssd1/www/no.67808.cn/vendor/topthink/framework/src/think/service/PaginatorService.php ( 1.52 KB )
  54. /yingpanguazai/ssd/ssd1/www/no.67808.cn/vendor/topthink/framework/src/think/service/ValidateService.php ( 0.99 KB )
  55. /yingpanguazai/ssd/ssd1/www/no.67808.cn/vendor/topthink/framework/src/think/service/ModelService.php ( 2.04 KB )
  56. /yingpanguazai/ssd/ssd1/www/no.67808.cn/vendor/topthink/think-trace/src/Service.php ( 0.77 KB )
  57. /yingpanguazai/ssd/ssd1/www/no.67808.cn/vendor/topthink/framework/src/think/Middleware.php ( 6.72 KB )
  58. /yingpanguazai/ssd/ssd1/www/no.67808.cn/vendor/topthink/framework/src/think/initializer/BootService.php ( 0.77 KB )
  59. /yingpanguazai/ssd/ssd1/www/no.67808.cn/vendor/topthink/think-orm/src/Paginator.php ( 11.86 KB )
  60. /yingpanguazai/ssd/ssd1/www/no.67808.cn/vendor/topthink/think-validate/src/Validate.php ( 63.20 KB )
  61. /yingpanguazai/ssd/ssd1/www/no.67808.cn/vendor/topthink/think-orm/src/Model.php ( 23.55 KB )
  62. /yingpanguazai/ssd/ssd1/www/no.67808.cn/vendor/topthink/think-orm/src/model/concern/Attribute.php ( 21.05 KB )
  63. /yingpanguazai/ssd/ssd1/www/no.67808.cn/vendor/topthink/think-orm/src/model/concern/AutoWriteData.php ( 4.21 KB )
  64. /yingpanguazai/ssd/ssd1/www/no.67808.cn/vendor/topthink/think-orm/src/model/concern/Conversion.php ( 6.44 KB )
  65. /yingpanguazai/ssd/ssd1/www/no.67808.cn/vendor/topthink/think-orm/src/model/concern/DbConnect.php ( 5.16 KB )
  66. /yingpanguazai/ssd/ssd1/www/no.67808.cn/vendor/topthink/think-orm/src/model/concern/ModelEvent.php ( 2.33 KB )
  67. /yingpanguazai/ssd/ssd1/www/no.67808.cn/vendor/topthink/think-orm/src/model/concern/RelationShip.php ( 28.29 KB )
  68. /yingpanguazai/ssd/ssd1/www/no.67808.cn/vendor/topthink/think-helper/src/contract/Arrayable.php ( 0.09 KB )
  69. /yingpanguazai/ssd/ssd1/www/no.67808.cn/vendor/topthink/think-helper/src/contract/Jsonable.php ( 0.13 KB )
  70. /yingpanguazai/ssd/ssd1/www/no.67808.cn/vendor/topthink/think-orm/src/model/contract/Modelable.php ( 0.09 KB )
  71. /yingpanguazai/ssd/ssd1/www/no.67808.cn/vendor/topthink/framework/src/think/Db.php ( 2.88 KB )
  72. /yingpanguazai/ssd/ssd1/www/no.67808.cn/vendor/topthink/think-orm/src/DbManager.php ( 8.52 KB )
  73. /yingpanguazai/ssd/ssd1/www/no.67808.cn/vendor/topthink/framework/src/think/Log.php ( 6.28 KB )
  74. /yingpanguazai/ssd/ssd1/www/no.67808.cn/vendor/topthink/framework/src/think/Manager.php ( 3.92 KB )
  75. /yingpanguazai/ssd/ssd1/www/no.67808.cn/vendor/psr/log/src/LoggerTrait.php ( 2.69 KB )
  76. /yingpanguazai/ssd/ssd1/www/no.67808.cn/vendor/psr/log/src/LoggerInterface.php ( 2.71 KB )
  77. /yingpanguazai/ssd/ssd1/www/no.67808.cn/vendor/topthink/framework/src/think/Cache.php ( 4.92 KB )
  78. /yingpanguazai/ssd/ssd1/www/no.67808.cn/vendor/psr/simple-cache/src/CacheInterface.php ( 4.71 KB )
  79. /yingpanguazai/ssd/ssd1/www/no.67808.cn/vendor/topthink/think-helper/src/helper/Arr.php ( 16.63 KB )
  80. /yingpanguazai/ssd/ssd1/www/no.67808.cn/vendor/topthink/framework/src/think/cache/driver/File.php ( 7.84 KB )
  81. /yingpanguazai/ssd/ssd1/www/no.67808.cn/vendor/topthink/framework/src/think/cache/Driver.php ( 9.03 KB )
  82. /yingpanguazai/ssd/ssd1/www/no.67808.cn/vendor/topthink/framework/src/think/contract/CacheHandlerInterface.php ( 1.99 KB )
  83. /yingpanguazai/ssd/ssd1/www/no.67808.cn/app/Request.php ( 0.09 KB )
  84. /yingpanguazai/ssd/ssd1/www/no.67808.cn/vendor/topthink/framework/src/think/Request.php ( 55.78 KB )
  85. /yingpanguazai/ssd/ssd1/www/no.67808.cn/app/middleware.php ( 0.25 KB )
  86. /yingpanguazai/ssd/ssd1/www/no.67808.cn/vendor/topthink/framework/src/think/Pipeline.php ( 2.61 KB )
  87. /yingpanguazai/ssd/ssd1/www/no.67808.cn/vendor/topthink/think-trace/src/TraceDebug.php ( 3.40 KB )
  88. /yingpanguazai/ssd/ssd1/www/no.67808.cn/vendor/topthink/framework/src/think/middleware/SessionInit.php ( 1.94 KB )
  89. /yingpanguazai/ssd/ssd1/www/no.67808.cn/vendor/topthink/framework/src/think/Session.php ( 1.80 KB )
  90. /yingpanguazai/ssd/ssd1/www/no.67808.cn/vendor/topthink/framework/src/think/session/driver/File.php ( 6.27 KB )
  91. /yingpanguazai/ssd/ssd1/www/no.67808.cn/vendor/topthink/framework/src/think/contract/SessionHandlerInterface.php ( 0.87 KB )
  92. /yingpanguazai/ssd/ssd1/www/no.67808.cn/vendor/topthink/framework/src/think/session/Store.php ( 7.12 KB )
  93. /yingpanguazai/ssd/ssd1/www/no.67808.cn/vendor/topthink/framework/src/think/Route.php ( 23.73 KB )
  94. /yingpanguazai/ssd/ssd1/www/no.67808.cn/vendor/topthink/framework/src/think/route/RuleName.php ( 5.75 KB )
  95. /yingpanguazai/ssd/ssd1/www/no.67808.cn/vendor/topthink/framework/src/think/route/Domain.php ( 2.53 KB )
  96. /yingpanguazai/ssd/ssd1/www/no.67808.cn/vendor/topthink/framework/src/think/route/RuleGroup.php ( 22.43 KB )
  97. /yingpanguazai/ssd/ssd1/www/no.67808.cn/vendor/topthink/framework/src/think/route/Rule.php ( 26.95 KB )
  98. /yingpanguazai/ssd/ssd1/www/no.67808.cn/vendor/topthink/framework/src/think/route/RuleItem.php ( 9.78 KB )
  99. /yingpanguazai/ssd/ssd1/www/no.67808.cn/route/app.php ( 1.72 KB )
  100. /yingpanguazai/ssd/ssd1/www/no.67808.cn/vendor/topthink/framework/src/think/facade/Route.php ( 4.70 KB )
  101. /yingpanguazai/ssd/ssd1/www/no.67808.cn/vendor/topthink/framework/src/think/route/dispatch/Controller.php ( 4.74 KB )
  102. /yingpanguazai/ssd/ssd1/www/no.67808.cn/vendor/topthink/framework/src/think/route/Dispatch.php ( 10.44 KB )
  103. /yingpanguazai/ssd/ssd1/www/no.67808.cn/app/controller/Index.php ( 4.81 KB )
  104. /yingpanguazai/ssd/ssd1/www/no.67808.cn/app/BaseController.php ( 2.05 KB )
  105. /yingpanguazai/ssd/ssd1/www/no.67808.cn/vendor/topthink/think-orm/src/facade/Db.php ( 0.93 KB )
  106. /yingpanguazai/ssd/ssd1/www/no.67808.cn/vendor/topthink/think-orm/src/db/connector/Mysql.php ( 5.44 KB )
  107. /yingpanguazai/ssd/ssd1/www/no.67808.cn/vendor/topthink/think-orm/src/db/PDOConnection.php ( 52.47 KB )
  108. /yingpanguazai/ssd/ssd1/www/no.67808.cn/vendor/topthink/think-orm/src/db/Connection.php ( 8.39 KB )
  109. /yingpanguazai/ssd/ssd1/www/no.67808.cn/vendor/topthink/think-orm/src/db/ConnectionInterface.php ( 4.57 KB )
  110. /yingpanguazai/ssd/ssd1/www/no.67808.cn/vendor/topthink/think-orm/src/db/builder/Mysql.php ( 16.58 KB )
  111. /yingpanguazai/ssd/ssd1/www/no.67808.cn/vendor/topthink/think-orm/src/db/Builder.php ( 24.06 KB )
  112. /yingpanguazai/ssd/ssd1/www/no.67808.cn/vendor/topthink/think-orm/src/db/BaseBuilder.php ( 27.50 KB )
  113. /yingpanguazai/ssd/ssd1/www/no.67808.cn/vendor/topthink/think-orm/src/db/Query.php ( 15.71 KB )
  114. /yingpanguazai/ssd/ssd1/www/no.67808.cn/vendor/topthink/think-orm/src/db/BaseQuery.php ( 45.13 KB )
  115. /yingpanguazai/ssd/ssd1/www/no.67808.cn/vendor/topthink/think-orm/src/db/concern/TimeFieldQuery.php ( 7.43 KB )
  116. /yingpanguazai/ssd/ssd1/www/no.67808.cn/vendor/topthink/think-orm/src/db/concern/AggregateQuery.php ( 3.26 KB )
  117. /yingpanguazai/ssd/ssd1/www/no.67808.cn/vendor/topthink/think-orm/src/db/concern/ModelRelationQuery.php ( 20.07 KB )
  118. /yingpanguazai/ssd/ssd1/www/no.67808.cn/vendor/topthink/think-orm/src/db/concern/ParamsBind.php ( 3.66 KB )
  119. /yingpanguazai/ssd/ssd1/www/no.67808.cn/vendor/topthink/think-orm/src/db/concern/ResultOperation.php ( 7.01 KB )
  120. /yingpanguazai/ssd/ssd1/www/no.67808.cn/vendor/topthink/think-orm/src/db/concern/WhereQuery.php ( 19.37 KB )
  121. /yingpanguazai/ssd/ssd1/www/no.67808.cn/vendor/topthink/think-orm/src/db/concern/JoinAndViewQuery.php ( 7.11 KB )
  122. /yingpanguazai/ssd/ssd1/www/no.67808.cn/vendor/topthink/think-orm/src/db/concern/TableFieldInfo.php ( 2.63 KB )
  123. /yingpanguazai/ssd/ssd1/www/no.67808.cn/vendor/topthink/think-orm/src/db/concern/Transaction.php ( 2.77 KB )
  124. /yingpanguazai/ssd/ssd1/www/no.67808.cn/vendor/topthink/framework/src/think/log/driver/File.php ( 5.96 KB )
  125. /yingpanguazai/ssd/ssd1/www/no.67808.cn/vendor/topthink/framework/src/think/contract/LogHandlerInterface.php ( 0.86 KB )
  126. /yingpanguazai/ssd/ssd1/www/no.67808.cn/vendor/topthink/framework/src/think/log/Channel.php ( 3.89 KB )
  127. /yingpanguazai/ssd/ssd1/www/no.67808.cn/vendor/topthink/framework/src/think/event/LogRecord.php ( 1.02 KB )
  128. /yingpanguazai/ssd/ssd1/www/no.67808.cn/vendor/topthink/think-helper/src/Collection.php ( 16.47 KB )
  129. /yingpanguazai/ssd/ssd1/www/no.67808.cn/vendor/topthink/framework/src/think/facade/View.php ( 1.70 KB )
  130. /yingpanguazai/ssd/ssd1/www/no.67808.cn/vendor/topthink/framework/src/think/View.php ( 4.39 KB )
  131. /yingpanguazai/ssd/ssd1/www/no.67808.cn/vendor/topthink/framework/src/think/Response.php ( 8.81 KB )
  132. /yingpanguazai/ssd/ssd1/www/no.67808.cn/vendor/topthink/framework/src/think/response/View.php ( 3.29 KB )
  133. /yingpanguazai/ssd/ssd1/www/no.67808.cn/vendor/topthink/framework/src/think/Cookie.php ( 6.06 KB )
  134. /yingpanguazai/ssd/ssd1/www/no.67808.cn/vendor/topthink/think-view/src/Think.php ( 8.38 KB )
  135. /yingpanguazai/ssd/ssd1/www/no.67808.cn/vendor/topthink/framework/src/think/contract/TemplateHandlerInterface.php ( 1.60 KB )
  136. /yingpanguazai/ssd/ssd1/www/no.67808.cn/vendor/topthink/think-template/src/Template.php ( 46.61 KB )
  137. /yingpanguazai/ssd/ssd1/www/no.67808.cn/vendor/topthink/think-template/src/template/driver/File.php ( 2.41 KB )
  138. /yingpanguazai/ssd/ssd1/www/no.67808.cn/vendor/topthink/think-template/src/template/contract/DriverInterface.php ( 0.86 KB )
  139. /yingpanguazai/ssd/ssd1/www/no.67808.cn/runtime/temp/6df755f970a38e704c5414acbc6e8bcd.php ( 12.06 KB )
  140. /yingpanguazai/ssd/ssd1/www/no.67808.cn/vendor/topthink/think-trace/src/Html.php ( 4.42 KB )
  1. CONNECT:[ UseTime:0.000500s ] mysql:host=127.0.0.1;port=3306;dbname=no_67808;charset=utf8mb4
  2. SHOW FULL COLUMNS FROM `fenlei` [ RunTime:0.000550s ]
  3. SELECT * FROM `fenlei` WHERE `fid` = 0 [ RunTime:0.000341s ]
  4. SELECT * FROM `fenlei` WHERE `fid` = 63 [ RunTime:0.000420s ]
  5. SHOW FULL COLUMNS FROM `set` [ RunTime:0.000561s ]
  6. SELECT * FROM `set` [ RunTime:0.000829s ]
  7. SHOW FULL COLUMNS FROM `article` [ RunTime:0.000607s ]
  8. SELECT * FROM `article` WHERE `id` = 478989 LIMIT 1 [ RunTime:0.000504s ]
  9. UPDATE `article` SET `lasttime` = 1779270647 WHERE `id` = 478989 [ RunTime:0.001450s ]
  10. SELECT * FROM `fenlei` WHERE `id` = 65 LIMIT 1 [ RunTime:0.000274s ]
  11. SELECT * FROM `article` WHERE `id` < 478989 ORDER BY `id` DESC LIMIT 1 [ RunTime:0.000391s ]
  12. SELECT * FROM `article` WHERE `id` > 478989 ORDER BY `id` ASC LIMIT 1 [ RunTime:0.000484s ]
  13. SELECT * FROM `article` WHERE `id` < 478989 ORDER BY `id` DESC LIMIT 10 [ RunTime:0.001025s ]
  14. SELECT * FROM `article` WHERE `id` < 478989 ORDER BY `id` DESC LIMIT 10,10 [ RunTime:0.000612s ]
  15. SELECT * FROM `article` WHERE `id` < 478989 ORDER BY `id` DESC LIMIT 20,10 [ RunTime:0.004530s ]
0.082677s