第二章逻辑代数
2.1 逻辑代数的基本概念与运算
2.1.1 逻辑代数的基本运算(三种核心运算,所有复合运算的基础)
逻辑代数(又称布尔代数):专门描述数字逻辑关系的数学工具,核心是3种基本运算,其他运算均由这3种运算组合推导而来,与普通代数有本质区别(不可混淆)。
1. 与运算(逻辑乘):
① 逻辑含义:只有所有输入均为1时,输出才为1;只要有一个输入为0,输出即为0(“全1出1,有0出0”);
② 表达式:Y=A·B(或简写为AB),逻辑符号为“&”“∧”;
2. 或运算(逻辑加):
① 逻辑含义:只要有一个输入为1,输出就为1;所有输入均为0时,输出才为0(“全0出0,有1出1”);
② 表达式:Y=A+B,逻辑符号为“+”“∨”;
3. 非运算(逻辑非):
① 逻辑含义:输入与输出状态相反(“入0出1,入1出0”);
② 表达式:Y=Ā(读作“A非”,A的反变量),逻辑符号为“¬”;
③ 硬件实现:通过反相器实现,是数字电路中最基础的逻辑器件之一。
2.1.2 复合逻辑运算(数字电路实际应用最多)
由与、或、非三种基本运算组合而成,核心掌握4种,重点记忆表达式和逻辑特点(便于后续电路设计和化简):
1. 与非运算:先进行与运算,再进行非运算(与运算的反运算);
2. 或非运算:先进行或运算,再进行非运算(或运算的反运算);
3. 异或运算:输入变量状态不同时,输出为1;输入状态相同时,输出为0;
4. 同或运算:输入变量状态相同时,输出为1;输入状态不同时,输出为0(异或运算的反运算);
2.2 逻辑代数的基本定律与规则
2.2.1 基本定律(核心必记,逻辑表达式化简的关键)
以下定律均基于逻辑变量仅取0和1的特点,可通过真值表验证,重点记忆易混淆、常用的定律(如分配律、德摩根定律):
1. 交换律:A+B=B+A;AB=BA(与普通代数交换律一致);
2. 结合律:(A+B)+C=A+(B+C);(AB)C=A(BC)(与普通代数结合律一致);
3. 分配律(重点,易混淆):A(B+C)=AB+AC;A+BC=(A+B)(A+C)(后者与普通代数分配律不同,需重点记忆);
4. 互补律(逻辑代数核心):A+Ā=1;A·Ā=0(同一变量的原变量与反变量,或运算为1,与运算为0);
5. 0-1律:A+0=A;A·1=A;A+1=1;A·0=0(0和1与逻辑变量的运算规则);
6. 重叠律(区别于普通代数):A+A=A;A·A=A(逻辑变量只有0和1,重复运算不改变结果,如1+1=1,而非2);
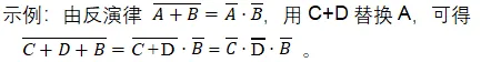
7. 反演律(德摩根定律,重中之重):
2.2.2 重要规则(用于逻辑表达式的推导、化简和验证)
1. 代入规则:将逻辑表达式中的某一变量,全部替换为另一个逻辑表达式,等式仍然成立(扩大定律的适用范围);
2. 反演规则(求反函数的核心方法):
② 步骤:
a. 将表达式中的“+”与“·”互换;
b. 将0与1互换;
c. 将所有原变量与反变量互换;
d. 保持运算顺序不变(括号保留);
3. 对偶规则(推导定律、验证等式的工具):
① 目的:求逻辑函数Y的对偶式Y';
② 步骤:
a. 将表达式中的“+”与“·”互换;
b. 将0与1互换;
c. 变量保持不变;
d. 保持运算顺序不变(括号保留);
补充:若两个逻辑函数相等(Y1=Y2),则它们的对偶式也相等(Y1'=Y2');可利用对偶规则简化定律推导(如分配律的对偶式仍成立)。
2.3 逻辑函数的化简
2.3.1 化简的目的与标准
1. 化简目的:减少逻辑表达式中的乘积项(与项)个数和每个乘积项中的变量个数,从而减少硬件电路中逻辑门的数量,降低电路复杂度、成本,提高电路可靠性。
2. 化简标准(以“最小项之和形式”为基础,最简与或式):
① 最小项定义:n个变量的逻辑函数中,每个变量以原变量或反变量形式出现一次,且仅出现一次的乘积项(n个变量共有2ⁿ个最小项,记为mᵢ,i为该最小项对应的二进制数的十进制值);
② 最简与或式要求:a. 乘积项(与项)的个数最少;b. 每个乘积项中的变量个数最少(无多余变量)。
2.3.2 化简方法(两种常用方法,按需选择)
1. 公式法(代数法):利用逻辑代数的基本定律和规则,逐步对逻辑表达式进行化简,适合变量数少、表达式简单的逻辑函数;
常用化简技巧(必掌握,结合示例理解):
① 合并项法:利用互补律A+Ā=1,合并相同变量的乘积项(消去不同的变量);

② 吸收法:利用A+AB=A,吸收多余的乘积项(AB是A的一部分,可直接吸收);
③ 消去法:利用A+ĀB=A+B,消去乘积项中的多余变量(ĀB中的Ā可消去);
④ 配项法:利用A=A(B+Ḃ),添加多余的最小项,便于合并其他乘积项(适用于复杂表达式);
综合示例:化简Y=AB+ĀC+BC;
步骤:Y=AB+ĀC+BC(A+Ā)(配项,添加A+Ā=1)
=AB+ĀC+ABC+ĀBC
=AB(1+C)+ĀC(1+B)(合并项)
=AB·1+ĀC·1
=AB+ĀC(最简与或式)。
2. 卡诺图法(图形法):适合变量数≤4的逻辑函数,直观、快捷,不易出错(避免公式法的繁琐推导);
① 核心原理:相邻最小项(仅1位变量不同)可合并,消去不同的变量;卡诺图中,“相邻”包括上下相邻、左右相邻、四角相邻(如4变量卡诺图的m₀与m₃、m₁₂相邻),合并的方格数必须是2ⁿ(n=0,1,2,...,如1个、2个、4个、8个方格);
② 化简步骤(3步走):
a. 画卡诺图:根据变量数绘制(2变量2×2、3变量3×4、4变量4×4),卡诺图的方格对应所有最小项;
b. 填1:将逻辑函数转化为最小项之和形式,在卡诺图对应最小项的方格中填1,其余方格填0(0可省略不填);
c. 合并1方格:尽量合并最多的相邻1方格(合并的方格数越多,消去的变量越多),每个合并后的区域对应一个乘积项,所有乘积项相加即为最简与或式;
③ 注意事项:合并时不可遗漏任何一个填1的方格,避免重复合并,确保最终表达式为最简。
2.4常见易错点与注意事项(重点规避,减少失误)
1. 逻辑代数与普通代数的区别:逻辑代数中的“+”是或运算、“·”是与运算,不可与普通代数的加减乘除混淆(如A+A=A,而非2A;A·A=A,而非A²)。
2. 德摩根定律的应用:多个变量反演时,必须将所有“+”与“·”互换、所有原变量与反变量互换,不可遗漏任何一项(如¬(A+BC)=Ā·(Ḃ+Č),而非Ā·ḂČ)。
3. 卡诺图化简:相邻方格包括四角,合并时尽量合并最多的方格,避免遗漏填1的方格,确保得到最简与或式。
4. 最小项与最大项:最小项是乘积项(与项),最大项是和项(或项),二者互为反函数(mᵢ=¬Mᵢ),不可混淆。
5. 逻辑函数化简验证:化简后的表达式,可通过真值表与原表达式对比,验证是否等价(真值表完全一致,说明化简正确)。