

章末测评验章末素养提升

物理观念 | 机械波 | (1)形成条件:波源、介质,二者缺一不可 (2)特点:传播振动形式、传递能量和信息,质点不会随波迁移 (3)波与振动的关系:有机械振动不一定有机械波,有机械波必有机械振动 (4)分类:按机械波传播方向和振动方向的关系分为横波和纵波 |
描述波的物理量 | (1)波长λ:一个周期传播的距离 (2)频率f(周期T):由波源决定 (3)波速v:由介质决定 (4)关系:v= λf 或v= λT |
波的一些现象 | 波的反射、波的折射、波的衍射、波的叠加、波的干涉、多普勒效应。 |
科学思维 | 图像法 | 波的图像: (1)物理意义:横坐标表示波的传播方向上各质点的平衡位置,纵坐标表示某一时刻各质点偏离平衡位置的位移 (2)图像信息:波长λ、各质点的振幅A、各质点的位移x等 (3)波的传播方向和各质点的振动方向互判 |
模型法 | 横波和纵波模型 多普勒效应模型 |
科学探究 | 1.通过实验认识波的反射和折射现象 2.探究波发生明显衍射的条件 3.通过实验研究和分析波的干涉现象 |
科学态度与责任 | 1.通过了解机械波在介质中的传播速度及影响因素,让学生理解物理学的本质 2.通过分析多普勒效应的产生原理,认识超声波的多普勒测速仪、“彩超”等具体应用,培养学生对物理学的兴趣 |

(2023·赣州市高二期末)根据所学物理知识,分析下列现象,这些物理现象分别属于( )


A.干涉、衍射、共振、多普勒效应
B.干涉、多普勒效应、共振、干涉
C.衍射、多普勒效应、共振、干涉
D.反射、共振、折射、多普勒效应
答案 A
解析 两列水波相遇产生稳定的图样属于波的干涉现象;《红楼梦》中王熙凤出场闻其声不见其人属于波的衍射现象;“狮吼功”吼破玻璃杯属于共振现象;鸣笛的救护车迎面而来,我们听到笛声音调变高属于多普勒效应。故选A。
(2023·北京市高一期末)在如图所示的xOy坐标系中,一条弹性绳沿x轴位置,图中小黑点代表绳上的质点,相邻质点的间距为a。t=0时,x=0处的质点P0开始沿y轴做周期为T、振幅为A的简谐运动。t=34T时的波形如图所示。下列说法正确的是( )

A.t=34T时,质点P4的速度最大
B.t=34T时,质点P3和P5速度相同
C.t=0时,质点P0沿y轴负方向运动
D.该列绳波的波速为8aT
答案 D
解析 t=34T时,质点P4处于正向最大位移处,速度最小,故A错误;t=34T时,质点P3向下振,质点P5向上振,所以两点速度大小相等,方向相反,故B错误;振源的起振方向和各质点的起振方向相同,即沿y轴正方向运动,故C错误;根据波速和周期的关系可知v=8aT,故D正确。
(2023·海南卷)下面两图分别是一列机械波在传播方向上相距6 m的两个质点P、Q的振动图像,下列说法正确的是( )

A.该波的周期是5 s
B.该波的波速是3 m/s
C.4 s时P质点向上振动
D.4 s时Q质点向上振动
答案 C
解析 由两个质点的振动图像可知,该波的周期是4 s,A错误;4 s时,P质点向上振动,Q质点向下振动,C正确,D错误;两个质点振动步调相反,可知两质点间距离等于(n+12)λ(n=0,1,2,…),只有当n=0时,12λ=6 m,λ=12 m,v=λT=3 m/s,n≥1时,v≠3 m/s,B错误。
(多选)(2022·山东卷)一列简谐横波沿x轴传播,平衡位置位于坐标原点O的质点振动图像如图所示。当t=7 s时,简谐波的波动图像可能正确的是( )



答案 AC
解析 由O点的振动图像可知,周期为T=12 s,振幅A=20 cm。设原点处的质点的振动方程为y=Asin (2πTt+φ),将(0,10 cm)代入,解得φ=π6,在t=7 s时刻,y7=20sin (2π12×7+π6) cm=-103 cm≈-17.3 cm,因7 s=12T+112T,由题可知在t=7 s时刻质点在y轴负半轴向下振动,根据“同侧法”可判断若波向右传播,则波形如C所示;若波向左传播,则波形如A所示,故选A、C。
(2023·武汉市高二期中)如图所示,S1、S2是水面上两个振动情况完全相同的波源,其振动方向为竖直方向,S1、S2发出的波在水面上形成稳定的干涉图样,且波长均为2 cm。P是水面上的一点,且S1、S2、P三点刚好构成一个直角三角形,S1、S2两点之间的距离为6 cm,∠S1PS2=53°。下列说法中正确的是( )

A.S1S2连线中点始终处于最大位移
B.S1P连线上(不包含S1点)共有2个振动加强点
C.S1S2连线上(不包含S1、S2两点)共有3个振动加强点
D.P点是振动减弱点
答案 D
解析S1S2连线中点是振动加强点,其在自己的平衡位置附近做简谐运动,不是始终处于最大位移处,
故A错误;由几何关系可知,S1P=S1S2tan 53°=4.5 cm
S2P=S1S2sin 53°=7.5 cm
则两列波到P点的波程差为Δx=S2P-S1P=3 cm=3·λ2,所以P点是振动减弱点,故D正确;
因为两列波振动情况完全相同,则当波程差等于半波长的偶数倍时,该点为振动加强点,所以S1S2连线上(不包含S1、S2两点)共有5个振动加强点,分别在距离S1为1 cm、2 cm、3 cm、4 cm、5 cm的位置,故C错误;
设Q在S1P连线上。因为两列波振动情况完全相同,则当波程差等于半波长的偶数倍时,即满足
Δx=QS2-QS1=2n·λ2(n=0,1,2…)
(QS2)2=(QS1)2+(S1S2)2,所以S1P连线上(不包含S1点)只有1个振动加强点,在距离S1为2.5 cm的位置,故B错误。
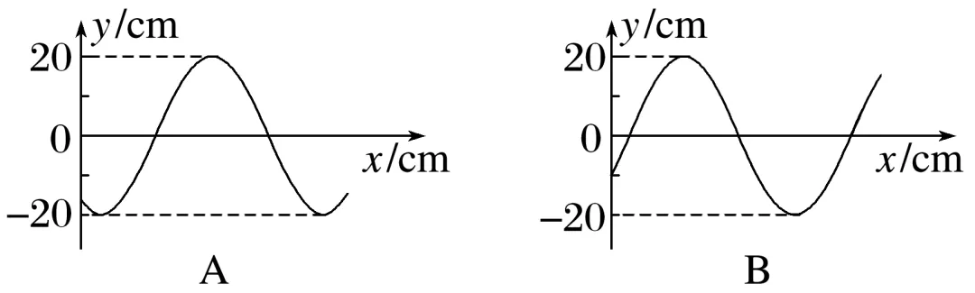
(多选)(2022·浙江6月选考)位于x=0.25 m的波源P从t=0时刻开始振动,形成的简谐横波沿x轴正负方向传播,在t=2.0 s时波源停止振动,t=2.1 s时的部分波形如图所示,其中质点a的平衡位置xa=1.75 m,质点b的平衡位置xb=-0.5 m。下列说法正确的是( )

A.沿x轴正负方向传播的波发生干涉
B.t=0.42 s时,波源的位移为正
C.t=2.25 s时,质点a沿y轴负方向振动
D.在收卷(二)
(时间:75分钟 满分:100分)
一、单项选择题(本题共7小题,每小题4分,共28分。在每小题给出的四个选项中,只有一项是符合题目要求的。)
1.关于做简谐运动物体的位移、速度、加速度的关系,下列说法中正确的是( )
A.位移减小时,速度增大,加速度也增大
B.位移方向总跟加速度方向相反,但跟速度方向相同
C.物体远离平衡位置运动时,速度方向跟位移方向相同
D.物体通过平衡位置时,回复力为零,故处于平衡状态
答案 C
解析 位移减小时,速度增大,加速度减小,故A错误;位移方向总跟加速度方向相反;当物体远离平衡位置时,位移方向与速度方向相同,当物体靠近平衡位置时,位移方向与速度方向相反,故B错误,C正确;物体通过平衡位置时,回复力为零,但合外力不一定为零,所以不一定处于平衡状态,故D错误。
2.一个弹簧振子在M、N之间做简谐运动。O为平衡位置,P、Q是振动过程中关于O对称的两个位置,下列说法正确的是( )

A.振子在从M点向N点运动的过程中,动能先减小后增大
B.振子在O、P间与O、Q间的运动时间相等
C.振子运动到P、Q两点时,位移相同
D.振子在从M点向N点运动的过程中,加速度先增大后减小
答案 B
解析 振子在从M点向N点运动的过程中,动能先增大后减小,A错误;由对称性可知,振子在O、P间与O、Q间的运动时间相等,B正确;由对称性可知,振子运动到P、Q两点时,位移等大反向,C错误;振子在从M点向N点运动的过程中,加速度先减小后增大,D错误。
3.做简谐运动的单摆,其摆长不变,若摆球的质量增加为原来的94倍,摆球经过平衡位置的速度减小为原来的23,则单摆振动的( )
A.周期不变,振幅不变 B.周期不变,振幅变小
C.周期改变,振幅不变 D.周期改变,振幅变大
答案 B
解析 由单摆的周期公式T=2πlg)可知,单摆摆长不变,则周期不变;摆球经过平衡位置的速度减小而摆动周期不变,则一个周期内通过的路程变小,即振幅变小,故B正确。
4.如图所示,光滑直杆上弹簧连接的小球以O点为平衡位置,在A、B两点之间做简谐运动。以O点为原点,选择由O指向B为正方向,建立Ox坐标轴。小球经过B点时开始计时,经过0.5 s首次到达A点。则小球在第一个周期内的振动图像为 ( )


答案 A
解析 小球经过B点时开始计时,即t=0时小球的位移为正向最大,经过0.5 s首次到达A点,位移为负向最大,且周期为T=1 s。故A项图像正确。
5.一竖直悬挂的弹簧振子,下端装有一记录笔,在竖直面内放置有一记录纸,当振子上下振动时,以速率v水平向左匀速拉动记录纸,记录笔在纸上留下如图所示的图像。记录笔与记录纸之间的摩擦和空气阻力都可忽略不计。y1、y2、x0、2x0为纸上印迹的已知位置坐标,则以下说法正确的是( )

A.振子平衡位置的纵坐标是y=y1-y22
B.该弹簧振子的振动周期为x0v
C.振子在坐标\rc\)(\a\vs4\al\co1(x0,y2)位置时加速度最大
D.匀速拉动纸带的速率增大为原来的2倍,振子振动的周期变为原来的12
答案 C
解析 根据简谐振动对称性可知,平衡位置纵坐标为y=y1+y22,故A错误;由图像可知,振子在一个周期内沿x轴负方向的位移大小为2x0,水平速度大小为v,则振子的周期T=2x0v,故B错误;由图可知,振子在坐标\rc\)(\a\vs4\al\co1(x0,y2)位置时处于最大位移处,则回复力最大,由牛顿第二定律知加速度最大,故C正确;弹簧振子的周期只与弹簧振子本身有关,匀速拉动纸带的速率增大为原来的2倍,则一个周期内纸带沿x轴负方向运动的位移增大为原来的2倍,弹簧振子的周期不变,故D错误。
6.甲、乙两个单摆的振动图像如图所示,根据振动图像可以断定( )

A.甲、乙两单摆振动的周期之比是3∶2
B.甲、乙两单摆振动的频率之比是2∶3
C.若甲、乙两单摆在同一地点摆动,则甲、乙两单摆摆长之比是9∶4
D.若甲、乙两单摆摆长相同,在不同地点摆动,则甲、乙两单摆所在地的重力加速度之比为9∶4
答案 D
解析 根据图像可知,甲和乙的周期之比为T甲∶T乙=2∶3,故A错误;因为f=1T,所以甲、乙的频率之比为f甲∶f乙=3∶2,故B错误;根据单摆的周期公式可知T=2πlg),同一地点,重力加速度相同,则甲、乙的摆长之比和周期的平方成正比,即为4∶9,故C错误;摆长相同,重力加速度和周期的平方成反比,即甲、乙两单摆所在地的重力加速度之比为9∶4,故D正确。
7.如图甲所示,金属小球用轻弹簧连接在固定的光滑斜面顶端。小球在斜面上做简谐运动,到达最高点时,弹簧处于原长。取沿斜面向上为正方向,小球的振动图像如图乙所示。则( )

A.弹簧的最大伸长量为4 m
B.t=0.2 s时,弹簧的弹性势能最大
C.t=0.2 s到t=0.6 s内,小球的重力势能逐渐减小
D.t=0到t=0.4 s内,回复力的冲量为零
答案 C
解析 小球的振幅等于振子位移的最大值,由图乙读出,振幅为A=2 cm,由于当振子到达最高点时,弹簧处于原长,所以弹簧的最大伸长量为2A=4 cm,A错误;t=0.2 s时,弹簧处于原长,弹簧的弹性势能最小,为零,B错误;t=0.2 s到t=0.6 s内,小球由最高点向最低点运动,小球的重力势能逐渐减小,C正确;t=0时小球经过平衡位置沿斜面向上运动,t=0.4 s时小球经过平衡位置沿斜面向下运动,回复力方向都为斜向下,根据动量定理可知回复力的冲量不为零,D错误。
二、多项选择题(本题共3小题,每小题6分,共18分。在每小题给出的四个选项中,有多项符合题目要求。全部选对的得6分,选对但不全的得3分,有选错的得0分。)
8.弹簧振子做简谐运动,若从平衡位置O开始计时,经过4 s振子第一次经过P点,又经过了1 s,振子第二次经过P点,则该简谐运动的周期为( )
A.5 s B.6 s
C.14 s D.18 s
答案 BD
解析 如图,假设弹簧振子在水平方向B、C之间振动,

若振子计时开始先向右振动,振子的振动周期为T=4×(4+12) s=18 s
若振子计时开始先向左振动,设振子的振动周期为T′,则T′2+(T′4-12)=4 s
解得T′=6 s,故B、D正确。
9.(2023·湘鄂冀三省七校联考)如图所示为一单摆做简谐运动时的速度随时间变化的图像,不考虑空气阻力的影响,下列说法正确的是( )

A.此单摆的摆长约为1 m
B.t=1 s时单摆的回复力为零
C.若减小释放单摆时的摆角,单摆的周期变小
D.将此单摆从赤道移至北极,单摆的周期变小
答案 AD
解析 此单摆的周期为T=2 s,则根据T=2πlg),可得摆长l=gT24π2=9.8×224×3.142 m≈1 m,选项A正确;t=1 s时单摆的速度为零,此时单摆的回复力最大,选项B错误;单摆的周期与摆角无关,选项C错误;将此单摆从赤道移至北极,则重力加速度变大,根据T=2πlg),单摆的周期变小,选项D正确。
10.将一个力传感器接到计算机上,就可以测量快速变化的力,用这种方法测得的某单摆振动时悬线上拉力的大小随时间变化的曲线如图所示。某同学由此图像提供的信息作出下列判断,其中正确的是( )


通过网盘分享的文件:【淘宝店:品优教学】赠送等3个文件
链接: https://pan.baidu.com/s/1W_-FY-AxO_3dspNZY2P-vQ?pwd=4321 提取码: 4321
--来自百度网盘超级会员v8的分享