书接上回,怎么计算基底力的准备工作都做完了,下面就是如何垂直分配算出的水平地震力了,把力传递给各个楼层,和各个抗侧力构件,这是两个方向的传递,12.8.3是竖向传递,传递给水平的各个diaphragm:
|
|
K=1;周期较小,结构很刚,荷载分布呈现倒三角 K=2;周期很大,结构很柔,应该也是高层,会出现“鞭鞘效应”,分布呈抛物线 |
12.8.3将荷载分配给不同的楼层,12.8.4讲的是同层内,如何水平分配给所有的抗侧力构件,所需要注意的就是两种扭转效应(12.8.4.1~2)。
| |
固有扭转12.8.4.1:
质心和刚心不重合产生Mt 刚性楼板:会根据刚度分配水平力,但必须考虑此条; 柔性楼板:不考虑扭转效应,按质量形心分配荷载 | 偶然扭转12.8.4.2:
两种情况需要考虑这个偶然扭转: 1、SDC-B:有水平不规则1同时扭转位移比>1.4 2、SDC-C~F:只要存在水平不规则1 |
简单来说就是非柔性楼板要考虑固有扭转,扭转力就是剪力和偏心的乘积;存在不同程度水平不规则1不同程度的结构要考虑偶然扭转,扭转力应该是固有扭转和偶然扭转的合力。偶然扭转则是用来模拟因质量分布不均匀导致的意外偏心,取5%结构尺寸作为位移大小,方向是垂直于地震力方向。但是需要注意的是,双向地震力存在的情况下,不用两个方向都考虑偏心存在,取不利位置考虑即可。
|
12.8.4.3引入了一个放大系数Ax,看到这里我的第一反应是,为什么这个系数不放在12.8.4.2讲,那就说明他们的触发原则不一样,应该是更严格或者其中某一种情况触发,事实也是如此,当扭转位移比TIR>1.2的情况才触发这个放大系数。水平不规则1是两条满足一条即为:
|
举例也就是说如果只是满足第一条,但是TIR<1.2的SDC-C~F不用考虑放大偶然扭转,这个逻辑挺绕的。
|
|
|
关于这个放大系数的计算,我想回顾一下之前一个公式,乍一看很像,但是一个是最大的层间位移,一个最大的楼层位移,层间位移是这一层的相对位移,而楼层位移则是一个累计到某一层的总侧移。放大系数被限制在[1,3]区间内,放大系数的工作原理就是,你这个结构对扭转越敏感,我就越要放大,是非线性的平方增长。但是它不是放大你地震力,是放大你的扭转力,是你这个附加的扭矩,这也要注意。
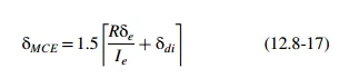
12.8.5是一个过度节,倾覆力要根据12.8.3节的地震力来计算。12.8.6节又是一大坨,但是还是美标的行文逻辑,12.8.4告诉你了要放大,放大系数怎么算,但是放大系数里的位移值怎么算,就教给了12.8.6来明确具体的位移、层间位移角、P-Detla。
12.8.6.1首先明确进行位移计算的荷载组合,不同于强度计算的LRFD or ASD,重力荷载取1.0D+0.5L,地震荷载的荷载组合系数取1.0,变形验算关注正常使用极限状态1.0D+0.5L+1.0Eh。

12.8.6.2计算设计地震位移的时候用的周期T可以不考虑CuTa这个强制上限,而使用计算周期computed fundamental period,不同于12.8.2限制了周期的上限,避免地震力较小,而这里计算位移,使用计算的周期值,就不会出现低估位移的情况,更能真实反映结构的状态。

设计地震位移和最大考虑地震位移,对应的就是design earthquake和maximum design earthquake,感觉是不是可以对等国标的中震和大震,设计地震位移公式是12.8-16;猛地这一看,其实最大位移是设计位移的1.5倍关系,但是仔细看系数有着较大的区别,设计位移用的Cd,位移放大系数;最大位移用的是R地震力修正系数,R一般是≥Cd(TABLE 12.2-1可以看出),所以最大位移>1.5×设计位移。那么这两个位移的应用场景分别是什么呢?
| |
| Cd:位移放大系数 |
| R:地震反应修正系数,R≥Cd |
设计地震位移被用来计算层间位移角12.8.6.5,而最大地震位移更多的是用来决定结构与结构之间的安全,如确定抗震缝宽度等(详见12.12节)。
12.8.6.5中楼层位移△其实就是扭转位移比计算中的△的分子分母来源,本小节计算的是mass center处的层间位移(通过top和bottom的差值),而12.3-2中的则是楼层边缘处最大层间位移,同时本节也提及,对于存在水平不规则1(SDC-C~F)的结构,要求使用边缘处的top&bottom位移差来计算层间位移。
| 1、注意如何计算△ 2、注意不同情况取不同位置的差值 |
|
12.8.7终于看到了12.8的最后一段,P-Delta,这玩意大家应该都很熟了,其实就是防止重力荷载在侧移后产生的附加弯矩导致结构失稳,你本来就是个歪脖子,一压,更歪了,最后直接歪倒了,这是绝对不能出现的情况。
|
|
|
那么美标这里的控制逻辑是什么样的呢?我简单给大家罗列一下是怎么个流程复核:
1、计算稳定性系数θ | |
2、θ<0.10 →不用考虑P-Delta | |
3、θ>0.10→复核12.8-19, θ<θmax | 1、手算考虑P-Delta,位移和内力放大1/(1-θ)进行计算; 2、电算模型算已经考虑P-Delta,不用放大荷载,软件会自己算,但是仍需要复核θ<θmax |
4、θ>θmax | 结构不稳定,重新设计 |
12.8节是最基础的ELF,内容从地震力的分配到结构的变形验算到稳定性验算,通过本节可以输出内力、位移角、P-Delta放大系数,也为后面节的变形验算提供基准值。
本期到此结束~
有需要加群一起交流的可以公众号私信,获取群二维码
AISC 360的解读点击合集:AISC 360-22钢结构设计笔记