当前位置:首页>学习笔记>学习笔记:2024 BFS实践指南:子宫内膜异位症患者辅助生育的循证管理

学习笔记:2024 BFS实践指南:子宫内膜异位症患者辅助生育的循证管理

  • 2026-04-17 19:22:28
学习笔记:2024 BFS实践指南:子宫内膜异位症患者辅助生育的循证管理
2024 BFS实践指南:子宫内膜异位症患者辅助生育的循证管理
子宫内膜异位症是育龄期女性高发的慢性炎症性疾病,以子宫外出现异位子宫内膜组织为核心特征,全球约10%的育龄女性受其影响。该疾病不仅引发盆腔疼痛、痛经、排便困难等一系列生理症状,更与不孕症密切关联——据统计,高达50%的不孕女性合并子宫内膜异位症,其每月自然受孕率仅为2%-10%,远低于正常育龄女性的20%。子宫内膜异位症相关不孕症具有多因素性质,会从卵巢储备、卵母细胞获取、子宫内膜容受性、受精过程等多个环节,全面影响自然生殖生理及辅助生殖技术(ART)的周期过程与最终结局。
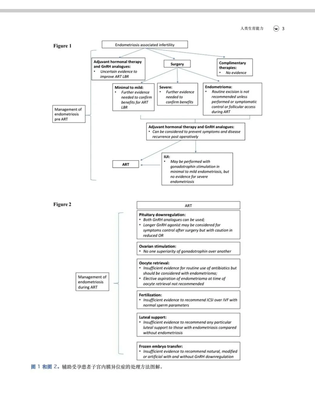
2024年英国生育协会(BFS)发布的《辅助受孕子宫内膜异位症患者的循证管理》实践指南,基于MEDLINE、EMBASE、CINAHL等数据库2022年3月前的全部相关研究,采用GRADE分级方法制定建议,系统梳理了盆腔子宫内膜异位症对ART结果的影响,为子宫内膜异位症患者ART前、ART期间的规范化管理提供了权威循证参考,核心目标在于优化辅助生育的临床疗效,本文学习并记录供大家参考。

一、子宫内膜异位症影响ART的病理机制与临床特征

子宫内膜异位症主要分为腹膜型、深部浸润型和卵巢型三大亚型,三者均会通过不同路径对ART产生负面影响,且卵巢子宫内膜异位症在近50%的病例中普遍存在,是影响生殖结局的重要亚型。其核心影响机制与临床表现主要体现在以下四方面:
  1. 卵巢储备功能不可逆受损:卵巢子宫内膜异位症会直接造成卵巢蒂损害,引发卵巢皮质受侵、纤维化及血管网络不规则,最终导致血清抗苗勒氏管激素(AMH)水平降低、超声下前卵泡数量减少,卵巢储备功能显著下降,且该损伤较其他良性卵巢囊肿更为严重。而卵巢子宫内膜异位囊肿的手术切除会进一步加重卵巢功能衰退,研究显示囊肿切除术后AMH水平最多可下降38%,双侧病变、囊肿复发后的重复手术,会因卵巢剥离时健康组织误切、血管/热损伤及局部炎症,导致卵巢储备功能损害加剧。
  2. 卵巢刺激反应显著减弱:合并子宫内膜异位症的患者行ART控制性卵巢刺激时,需使用更高剂量的促性腺激素,且取回的卵母细胞数量明显减少,这一现象在卵巢子宫内膜异位症患者中尤为突出。现有研究证实,卵巢子宫内膜异位囊肿直径是影响卵巢反应的关键因素,直径≥3cm的卵巢子宫内膜异位囊肿会对卵泡和卵母细胞总数产生负面影响,而直径≥4cm的内膜瘤会显著降低卵泡招募数量;但值得注意的是,子宫内膜异位症患者的卵母细胞成熟度并未受影响,胚胎总数、优质胚胎数与无子宫内膜异位症患者无显著差异。
  3. ART妊娠结局的证据争议:早期系统综述和荟萃分析认为,中重度子宫内膜异位症与ART取卵数少、着床率差、活产率低相关;但大样本高质量研究推翻了这一结论——辅助生殖技术协会(SART)347185个ART周期的分析、历时16年的27294个ART周期回顾性研究均证实,单纯子宫内膜异位症患者的活产率与其他原因不孕者相似,仅合并多种不孕因素时妊娠结局变差。针对卵巢子宫内膜异位症的8项研究系统综述也显示,尽管患者成熟卵母细胞获取数减少,但胚胎质量、植入率、临床妊娠率和活产率与对照组无显著差异。
  4. 子宫内膜容受性与黄体功能存在缺陷:子宫内膜异位症患者存在子宫内膜接受能力受损的潜在问题,且通过子宫内膜活检和孕酮测量已证实其存在黄体期缺陷病理生理机制包括垂体-卵巢功能失调、类固醇生成减少、黄体细胞功能障碍和高催乳素症等,但目前该缺陷对ART结局的具体影响仍无明确统一结论。

二、ART前的子宫内膜异位症管理:以保护卵巢功能为核心,避免过度干预

ART前对子宫内膜异位症的干预,核心需平衡“疾病控制”与“卵巢功能保护”,现有循证证据暂未发现任何单一干预手段能显著提升ART活产率,临床需结合患者疾病亚型、严重程度、卵巢储备功能制定个体化方案,指南明确反对无指征的常规干预。

(一)激素疗法:以症状控制和防复发为主要目标,暂不推荐作为常规预处理

激素疗法是子宫内膜异位症的经典治疗手段,但现有证据显示,其无法作为ART前的常规预处理方案提升生育结局,仅可在特定场景下使用。
  1. GnRH激动剂:此前有假说认为,ART前3-6个月使用GnRH激动剂抑制卵巢,可改善子宫内膜异位症对卵母细胞质量和子宫内膜容受性的负面影响,但Cochrane综述(纳入8项RCT、640例患者)证实,长期GnRH激动剂预处理与无预处理相比,对临床妊娠率、流产率、活产率均无明确获益,还可能因垂体过度抑制导致卵巢反应不良、黄体功能不全。仅子宫内膜异位症手术后等待ART的无症状患者,可考虑使用GnRH激动剂,其能最大限度降低疾病复发和卵巢子宫内膜异位囊肿形成的风险,这也是目前激素疗法在ART前的主要适用场景。
  2. GnRH拮抗剂:第二代口服GnRH拮抗剂Elagolix可有效改善子宫内膜异位症相关的痛经、非经期盆腔疼痛,且能立即抑制垂体促性腺激素,避免GnRH激动剂的初期爆发效应,但其对ART妊娠结局的影响仍在随机双盲临床试验中,目前无充分证据推荐作为ART前预处理。
  3. 其他激素与辅助药物:口服联合避孕药、不同类型孕激素等激素疗法,对ART前妊娠结局的影响证据有限且质量不高;芳香化酶抑制剂(如来曲唑)联合GnRH激动剂的低质量回顾性研究显示,或可改善IVF结果,但尚无足够证据形成推荐意见;甲状腺酶抑制剂也暂不推荐作为ART前预处理。
  4. 指南核心建议:无充分证据支持ART前常规使用GnRH激动剂、孕激素、芳香化酶抑制剂等激素疗法提升活产率;子宫内膜异位症手术后,等待ART期间可酌情采用抑制性激素疗法,预防疾病复发和相关症状加重。

(二)手术治疗:严格把控指征,避免常规卵巢子宫内膜异位囊肿切除

手术是子宫内膜异位症的重要干预手段,但因存在卵巢储备功能损伤风险,且对ART结局的获益证据不足,指南强烈建议ART前不常规行子宫内膜异位症手术,尤其是卵巢子宫内膜异位症的囊肿切除术
  1. 轻微子宫内膜异位症(I期):唯一一项回顾性队列研究显示,与仅接受腹腔镜诊断相比,行疾病完全手术切除的患者,ART植入率、妊娠率、活产率更高,累积妊娠率提升且首次妊娠时间缩短。指南建议可考虑将手术作为ART前干预选择,但需更多设计完善的高质量研究证实其获益
  2. 深部浸润型子宫内膜异位症:荟萃分析显示,手术组患者活产率较未手术组提高2.2倍(95% CI 1.42-3.46),即使是不完全手术,也能提高ART妊娠率(OR 1.63;95% CI 1.16-2.28)。但该类手术范围大、并发症风险高,尤其肠道受累时,需由多学科团队(微创外科医生+生殖科医生)制定个体化方案,且手术目的不应仅为改善ART结局。
  3. 重度子宫内膜异位症(IV期):因治疗所需手术范围广、并发症风险高,仅在非以改善ART结局为唯一目的时考虑手术,需多学科评估后谨慎决策。
  4. 卵巢子宫内膜异位症:两项系统综述和荟萃分析均证实,ART前卵巢子宫内膜异位囊肿手术切除与无手术干预相比,活产率、妊娠率无显著差异,且手术会增加ART周期因卵巢反应差、取卵失败导致的取消风险(13.7% vs 0%)。仅在需要控制严重临床症状,或改善卵母细胞取卵过程中卵泡的可及性时,可考虑切除或消融卵巢子宫内膜异位囊肿,且目前无明确的囊肿大小阈值作为手术指征。
  5. 手术替代方案:硬化剂治疗是卵巢子宫内膜异位囊肿的微创替代方案,研究显示其与腹腔镜囊肿切除术相比,ART期间取回的卵母细胞数量更多,临床妊娠率相似,但子宫内膜异位症复发率更高,可作为手术不耐受患者的选择。

(三)辅助疗法、生活方式与补充剂:暂无线索支持,需进一步研究

尽管针灸、瑜伽、电疗、运动等综合疗法和生活方式干预,已被证实对子宫内膜异位症相关疼痛有益,但无任何证据显示其能改善子宫内膜异位症相关不孕症的结局。氧化应激虽被证实参与子宫内膜异位症相关不孕症的病理过程,但抗氧化剂的治疗获益尚未被高质量研究证实;中药对该类不孕症的疗效也无循证证据支持,因此指南暂不推荐ART前常规使用上述辅助疗法和补充剂,其疗效仍需后续大样本研究探索。

三、ART期间的子宫内膜异位症精细化管理:分层干预,兼顾疗效与安全

ART期间的子宫内膜异位症管理,需根据宫腔内人工授精(IUI)、体外受精/卵胞浆内单精子注射(IVF/ICSI)不同技术特点,结合子宫内膜异位症的严重程度进行分层干预,核心原则为**“按需干预、避免不必要操作、保护生殖功能”**,指南对各关键环节均给出了明确的循证建议。

(一)宫腔内人工授精(IUI):仅推荐用于轻微/轻度子宫内膜异位症患者,中重度建议直接行IVF

评估子宫内膜异位症患者IUI疗效的研究有限,且证据质量参差不齐,指南根据疾病严重程度给出了明确的分层建议,核心为IUI仅适用于输卵管通畅、精液参数正常的轻微/轻度患者
  1.  轻微/轻度子宫内膜异位症(I/II期):针对输卵管通畅、使用伴侣精子的不孕患者,IUI联合促性腺激素促排卵有明确获益——临床试验显示,治疗组活产率较期待疗法提高5.6倍(95% CI 1.18-17.4),且低质量研究证实,控制性卵巢刺激联合IUI的妊娠率显著高于单纯IUI。指南弱建议,此类患者尤其是手术治疗后,可将IUI联合促性腺激素刺激作为一线辅助生育方案。
  2. 中重度子宫内膜异位症(III/IV期):IUI的疗效和安全性证据均为低质量,回顾性研究显示,即使IUI联合卵巢刺激,其持续妊娠率也仅为40%,且与IVF相比存在显著差距——研究证实,中重度患者中IVF的妊娠率(47%)显著高于刺激性IUI(11%),尤其是年龄>38岁的患者,IVF的获益更为明显。指南明确,中重度子宫内膜异位症患者若存在其他高危因素(如高龄),不推荐首选IUI,建议直接行IVF/ICSI。

(二)IVF/ICSI:各关键环节的循证干预要点

IVF/ICSI是中重度子宫内膜异位症患者的主要辅助生育方式,指南对垂体下调、卵巢刺激、取卵、受精、胚胎移植、黄体支持等核心环节均制定了详细的管理建议,核心为无特殊优选方案,需结合卵巢储备和疾病情况个体化选择。

1. 垂体下调方案:GnRH激动剂与拮抗剂均可使用,超长方案可酌情选择

垂体下调是IVF控制性卵巢刺激的重要环节,指南对子宫内膜异位症患者的方案选择给出了明确的核心推荐,同时兼顾个体化需求:
  • 核心推荐:子宫内膜异位症患者行IVF时,GnRH激动剂与GnRH拮抗剂方案的临床妊娠率、活产率无显著差异,均可使用(强烈建议);且目前无足够数据支持,某一方案对特定阶段的子宫内膜异位症患者更具优势(强烈建议)。
  • GnRH激动剂的个体化选择:荟萃分析证实,对于中重度子宫内膜异位症患者,较长的GnRH激动剂方案(如超长方案,3个月降调节)较常规长方案,能显著提高临床妊娠率(CI 1.11-1.55),且不会增加卵巢过度刺激综合征(OHSS)的发生率。指南建议,若使用GnRH激动剂,可考虑更长的方案,尤其是子宫内膜异位症手术后无症状的患者,但其对卵巢储备功能减退者需谨慎使用(良好实践点)。
  • 口服孕激素作为替代选择:口服孕激素可替代GnRH类似物,防止控制性卵巢刺激过程中过早的LH激增,且具有口服给药、成本低的优势,但会导致子宫内膜失去反应性,因此必须冷冻所有胚胎并在后续周期行胚胎移植。目前无RCT研究比较其与GnRH类似物的疗效,仅低质量研究显示其与GnRH激动剂的妊娠结局无差异,指南弱推荐其作为垂体抑制的替代选择。

2. 卵巢刺激:无优选促性腺激素,中重度患者需增加剂量

子宫内膜异位症患者卵巢刺激的核心问题为卵巢反应减弱,指南针对促性腺激素选择、剂量调整、其他刺激方案给出了明确建议:
  • 促性腺激素选择:重组FSH、尿FSH(纯化/高度纯化)、人类促性腺激素等各类制剂,在子宫内膜异位症患者中无优劣之分,选择取决于临床医生的经验和患者的个人偏好(良好实践点)。
  • 剂量调整:III-IV期子宫内膜异位症患者及卵巢子宫内膜异位症患者,卵巢对促性腺激素的反应显著减弱,需使用更高剂量的促性腺激素才能达到充分的刺激效果(强烈建议),且这种剂量需求在后续ART周期中会持续存在。
  • 其他刺激方案来曲唑联合促性腺激素的低质量研究显示或可改善妊娠结局,但尚无足够数据形成推荐意见;枸橼酸氯米芬联合促性腺激素的获益未被任何研究证实;自然周期、改良自然周期对子宫内膜异位症患者的疗效也无明确证据,因此上述方案均暂不推荐(良好实践点)。

3. 取卵环节:谨慎使用预防性抗生素,严禁选择性抽吸卵巢子宫内膜异位囊肿

取卵是IVF的关键操作,子宫内膜异位症患者因存在卵巢子宫内膜异位囊肿,需重点防范盆腔感染、脓肿形成等并发症,指南对该环节的管理制定了严格的操作建议:
  • 预防性抗生素的使用:经阴道取卵后盆腔炎的总体发生率极低(0.12%),无充分证据推荐常规使用预防性抗生素,但子宫内膜异位症患者存在潜在的盆腔感染风险,可酌情考虑使用(良好实践点);目前无任何证据支持某一特定的阴道灌洗技术能降低感染风险,临床可根据常规操作执行(良好实践点)。
  • 严禁在取卵时选择性抽吸卵巢子宫内膜异位症,仅在为获取卵泡时可偶然操作(良好实践点);若取卵过程中不慎穿刺卵巢子宫内膜异位囊肿,需及时延长抗生素疗程,预防感染(良好实践点)。
  • 术后监测:需明确指导子宫内膜异位症患者,在经阴道取卵后及时报告发热、下腹痛等感染症状,做到早发现、早处理(良好实践点)。

4. 受精方式:精子参数正常时,无需常规选择ICSI

子宫内膜异位症患者是否存在受精障碍一直存在争议,部分研究认为中重度患者受精率降低,可能与卵母细胞质量受损、腹腔液改变抑制精子-透明带结合相关,但高质量研究已明确其受精方式的选择原则:
对于精液参数正常的子宫内膜异位症夫妇,常规IVF与ICSI的受精率、胚胎发育率、植入率、临床妊娠率、活产率均无显著差异,且ICSI并不会降低流产率,因此无需常规选择ICSI(良好实践点);仅在存在明确的受精障碍、男性因素不孕等指征时,才考虑使用ICSI。

5. 胚胎移植:冷冻与新鲜移植无明确优劣,无需特殊选择移植方案

胚胎移植的方式(新鲜/冷冻)、子宫内膜制备方案,是影响IVF结局的重要因素,指南针对子宫内膜异位症患者的核心建议为无优选方案,按需选择
  • 冷冻胚胎移植(FET)与新鲜胚胎移植:尽管部分回顾性研究显示,晚期子宫内膜异位症患者FET的植入率、临床妊娠率高于新鲜胚胎移植,且全胚胎冷冻后的活产率有提升趋势,但荟萃分析证实,FET的活产率与新鲜胚胎移植无显著差异,因此无充分证据推荐子宫内膜异位症患者首选FET(良好实践点)。
  • 子宫内膜制备方案:自然周期、改良自然周期、人工周期的子宫内膜制备方案,对子宫内膜异位症患者FET的着床率、临床妊娠率、活产率均无显著差异,无需特殊选择(良好实践点);来曲唑、阿托西班等辅助用药提升FET结局的获益,仅被低质量研究证实,暂不推荐常规使用(良好实践点)。
  • 全胚胎冷冻的适用场景:鉴于子宫内膜异位症对性激素的依赖性,ART相关的卵巢过度刺激可能加重病情、影响子宫内膜容受性,可考虑将“全胚胎冷冻”作为晚期子宫内膜异位症、卵巢反应亢进患者的个体化选择,但并非常规方案。

6. 黄体期支持:与非子宫内膜异位症患者无差异,无需特殊调整

尽管子宫内膜异位症患者存在黄体期缺陷,但指南明确,其黄体期支持方案与非子宫内膜异位症患者无任何差异,无需特殊调整(良好实践点)。低质量研究显示,使用黄体酮阴道插入物(100mg,每天2-3次)或黄体酮阴道凝胶(8%,每天1次)进行黄体支持,患者的持续妊娠率、生化妊娠率均无显著差异,临床可根据常规方案选择黄体支持的药物和剂量。

四、指南的核心总结与临床启示

2024年BFS发布的该指南,核心结论可归纳为**“保护卵巢功能、避免过度干预、分层个体化管理”**,为临床诊疗提供了重要的方向指引,同时也指出了目前研究的不足与未来探索方向。

(一)核心总结

  1. ART前干预:无任何单一手段(激素、手术、辅助疗法)被证实能显著提升ART活产率,核心目标为症状控制和疾病复发预防,而非盲目改善ART结局;卵巢子宫内膜异位症的常规手术切除被明确反对,轻微子宫内膜异位症可考虑手术,中重度/深部浸润型需多学科个体化评估。
  2. ART期间干预:IUI仅适用于输卵管通畅、精液正常的轻微/轻度患者,中重度患者建议直接行IVF/ICSI;IVF各核心环节无特殊优选方案,GnRH激动剂与拮抗剂均可使用,促性腺激素需根据疾病严重程度调整剂量,精子正常时无需常规ICSI,冷冻与新鲜胚胎移植无显著差异。
  3. 全程核心原则:始终将卵巢功能保护放在首位,避免任何无指征的干预操作;所有管理方案均需结合患者的疾病亚型、严重程度、卵巢储备功能、生育需求制定,实现个体化诊疗。

(二)未来研究方向

指南也明确指出,目前子宫内膜异位症患者辅助生育管理仍存在诸多证据空白,未来需重点开展以下研究:
  1. 探索卵巢子宫内膜异位症手术指征的明确囊肿大小阈值;
  2. 开展高质量RCT研究,验证GnRH拮抗剂、芳香化酶抑制剂等新型药物对ART结局的影响;
  3. 评估辅助疗法、生活方式干预对子宫内膜异位症相关不孕症的实际获益;
  4. 探索子宫内膜异位症患者FET的最优子宫内膜制备方案和辅助用药。
总之,子宫内膜异位症患者的辅助生育管理,需以循证证据为基础,以卵巢功能保护为核心,以个体化分层干预为手段,兼顾疾病控制与生育结局,最终实现辅助生育疗效的最大化。
参考文献:Skorupskaite K, Hardy M, Bhandari H, et al. Evidence-based management of women with endometriosis undergoing assisted conception: British Fertility Society policy and practice recommendations[J]. Human Fertility, 2024, 27(1):1-20.

Dr.TaLa简介:华中科技大学硕士研究生,主任医师,深耕妇产科/生殖科临床一线,专注复发性流产、多囊卵巢综合征、卵巢早衰治疗,擅长试管保胎、早孕门诊诊疗及更年期保健。秉持专业科普破误区、温暖诊疗守初心的理念,结合临床经验与最新专家共识,拆解晦涩医学知识,输出易懂实用的生殖健康科普,为女性备孕、早孕、多囊卵巢综合征及更年期等全周期生殖健康保驾护航,做你身边靠谱的生殖健康守护者。

希望这篇内容能为你解答疑惑、带来实用的参考~ 觉得有帮助的话,别忘了点赞+收藏,也欢迎转发给身边有需要的朋友,让更多人了解科学的生殖健康知识,一起守护女性健康✨

最新文章

随机文章

基本 文件 流程 错误 SQL 调试
  1. 请求信息 : 2026-04-18 00:43:08 HTTP/2.0 GET : https://67808.cn/a/481303.html
  2. 运行时间 : 0.091373s [ 吞吐率:10.94req/s ] 内存消耗:4,663.57kb 文件加载:140
  3. 缓存信息 : 0 reads,0 writes
  4. 会话信息 : SESSION_ID=4f2c22d39eafb5b9382d4bd568cb5cb2
  1. /yingpanguazai/ssd/ssd1/www/no.67808.cn/public/index.php ( 0.79 KB )
  2. /yingpanguazai/ssd/ssd1/www/no.67808.cn/vendor/autoload.php ( 0.17 KB )
  3. /yingpanguazai/ssd/ssd1/www/no.67808.cn/vendor/composer/autoload_real.php ( 2.49 KB )
  4. /yingpanguazai/ssd/ssd1/www/no.67808.cn/vendor/composer/platform_check.php ( 0.90 KB )
  5. /yingpanguazai/ssd/ssd1/www/no.67808.cn/vendor/composer/ClassLoader.php ( 14.03 KB )
  6. /yingpanguazai/ssd/ssd1/www/no.67808.cn/vendor/composer/autoload_static.php ( 4.90 KB )
  7. /yingpanguazai/ssd/ssd1/www/no.67808.cn/vendor/topthink/think-helper/src/helper.php ( 8.34 KB )
  8. /yingpanguazai/ssd/ssd1/www/no.67808.cn/vendor/topthink/think-validate/src/helper.php ( 2.19 KB )
  9. /yingpanguazai/ssd/ssd1/www/no.67808.cn/vendor/topthink/think-orm/src/helper.php ( 1.47 KB )
  10. /yingpanguazai/ssd/ssd1/www/no.67808.cn/vendor/topthink/think-orm/stubs/load_stubs.php ( 0.16 KB )
  11. /yingpanguazai/ssd/ssd1/www/no.67808.cn/vendor/topthink/framework/src/think/Exception.php ( 1.69 KB )
  12. /yingpanguazai/ssd/ssd1/www/no.67808.cn/vendor/topthink/think-container/src/Facade.php ( 2.71 KB )
  13. /yingpanguazai/ssd/ssd1/www/no.67808.cn/vendor/symfony/deprecation-contracts/function.php ( 0.99 KB )
  14. /yingpanguazai/ssd/ssd1/www/no.67808.cn/vendor/symfony/polyfill-mbstring/bootstrap.php ( 8.26 KB )
  15. /yingpanguazai/ssd/ssd1/www/no.67808.cn/vendor/symfony/polyfill-mbstring/bootstrap80.php ( 9.78 KB )
  16. /yingpanguazai/ssd/ssd1/www/no.67808.cn/vendor/symfony/var-dumper/Resources/functions/dump.php ( 1.49 KB )
  17. /yingpanguazai/ssd/ssd1/www/no.67808.cn/vendor/topthink/think-dumper/src/helper.php ( 0.18 KB )
  18. /yingpanguazai/ssd/ssd1/www/no.67808.cn/vendor/symfony/var-dumper/VarDumper.php ( 4.30 KB )
  19. /yingpanguazai/ssd/ssd1/www/no.67808.cn/vendor/topthink/framework/src/think/App.php ( 15.30 KB )
  20. /yingpanguazai/ssd/ssd1/www/no.67808.cn/vendor/topthink/think-container/src/Container.php ( 15.76 KB )
  21. /yingpanguazai/ssd/ssd1/www/no.67808.cn/vendor/psr/container/src/ContainerInterface.php ( 1.02 KB )
  22. /yingpanguazai/ssd/ssd1/www/no.67808.cn/app/provider.php ( 0.19 KB )
  23. /yingpanguazai/ssd/ssd1/www/no.67808.cn/vendor/topthink/framework/src/think/Http.php ( 6.04 KB )
  24. /yingpanguazai/ssd/ssd1/www/no.67808.cn/vendor/topthink/think-helper/src/helper/Str.php ( 7.29 KB )
  25. /yingpanguazai/ssd/ssd1/www/no.67808.cn/vendor/topthink/framework/src/think/Env.php ( 4.68 KB )
  26. /yingpanguazai/ssd/ssd1/www/no.67808.cn/app/common.php ( 0.03 KB )
  27. /yingpanguazai/ssd/ssd1/www/no.67808.cn/vendor/topthink/framework/src/helper.php ( 18.78 KB )
  28. /yingpanguazai/ssd/ssd1/www/no.67808.cn/vendor/topthink/framework/src/think/Config.php ( 5.54 KB )
  29. /yingpanguazai/ssd/ssd1/www/no.67808.cn/config/app.php ( 0.95 KB )
  30. /yingpanguazai/ssd/ssd1/www/no.67808.cn/config/cache.php ( 0.78 KB )
  31. /yingpanguazai/ssd/ssd1/www/no.67808.cn/config/console.php ( 0.23 KB )
  32. /yingpanguazai/ssd/ssd1/www/no.67808.cn/config/cookie.php ( 0.56 KB )
  33. /yingpanguazai/ssd/ssd1/www/no.67808.cn/config/database.php ( 2.48 KB )
  34. /yingpanguazai/ssd/ssd1/www/no.67808.cn/vendor/topthink/framework/src/think/facade/Env.php ( 1.67 KB )
  35. /yingpanguazai/ssd/ssd1/www/no.67808.cn/config/filesystem.php ( 0.61 KB )
  36. /yingpanguazai/ssd/ssd1/www/no.67808.cn/config/lang.php ( 0.91 KB )
  37. /yingpanguazai/ssd/ssd1/www/no.67808.cn/config/log.php ( 1.35 KB )
  38. /yingpanguazai/ssd/ssd1/www/no.67808.cn/config/middleware.php ( 0.19 KB )
  39. /yingpanguazai/ssd/ssd1/www/no.67808.cn/config/route.php ( 1.89 KB )
  40. /yingpanguazai/ssd/ssd1/www/no.67808.cn/config/session.php ( 0.57 KB )
  41. /yingpanguazai/ssd/ssd1/www/no.67808.cn/config/trace.php ( 0.34 KB )
  42. /yingpanguazai/ssd/ssd1/www/no.67808.cn/config/view.php ( 0.82 KB )
  43. /yingpanguazai/ssd/ssd1/www/no.67808.cn/app/event.php ( 0.25 KB )
  44. /yingpanguazai/ssd/ssd1/www/no.67808.cn/vendor/topthink/framework/src/think/Event.php ( 7.67 KB )
  45. /yingpanguazai/ssd/ssd1/www/no.67808.cn/app/service.php ( 0.13 KB )
  46. /yingpanguazai/ssd/ssd1/www/no.67808.cn/app/AppService.php ( 0.26 KB )
  47. /yingpanguazai/ssd/ssd1/www/no.67808.cn/vendor/topthink/framework/src/think/Service.php ( 1.64 KB )
  48. /yingpanguazai/ssd/ssd1/www/no.67808.cn/vendor/topthink/framework/src/think/Lang.php ( 7.35 KB )
  49. /yingpanguazai/ssd/ssd1/www/no.67808.cn/vendor/topthink/framework/src/lang/zh-cn.php ( 13.70 KB )
  50. /yingpanguazai/ssd/ssd1/www/no.67808.cn/vendor/topthink/framework/src/think/initializer/Error.php ( 3.31 KB )
  51. /yingpanguazai/ssd/ssd1/www/no.67808.cn/vendor/topthink/framework/src/think/initializer/RegisterService.php ( 1.33 KB )
  52. /yingpanguazai/ssd/ssd1/www/no.67808.cn/vendor/services.php ( 0.14 KB )
  53. /yingpanguazai/ssd/ssd1/www/no.67808.cn/vendor/topthink/framework/src/think/service/PaginatorService.php ( 1.52 KB )
  54. /yingpanguazai/ssd/ssd1/www/no.67808.cn/vendor/topthink/framework/src/think/service/ValidateService.php ( 0.99 KB )
  55. /yingpanguazai/ssd/ssd1/www/no.67808.cn/vendor/topthink/framework/src/think/service/ModelService.php ( 2.04 KB )
  56. /yingpanguazai/ssd/ssd1/www/no.67808.cn/vendor/topthink/think-trace/src/Service.php ( 0.77 KB )
  57. /yingpanguazai/ssd/ssd1/www/no.67808.cn/vendor/topthink/framework/src/think/Middleware.php ( 6.72 KB )
  58. /yingpanguazai/ssd/ssd1/www/no.67808.cn/vendor/topthink/framework/src/think/initializer/BootService.php ( 0.77 KB )
  59. /yingpanguazai/ssd/ssd1/www/no.67808.cn/vendor/topthink/think-orm/src/Paginator.php ( 11.86 KB )
  60. /yingpanguazai/ssd/ssd1/www/no.67808.cn/vendor/topthink/think-validate/src/Validate.php ( 63.20 KB )
  61. /yingpanguazai/ssd/ssd1/www/no.67808.cn/vendor/topthink/think-orm/src/Model.php ( 23.55 KB )
  62. /yingpanguazai/ssd/ssd1/www/no.67808.cn/vendor/topthink/think-orm/src/model/concern/Attribute.php ( 21.05 KB )
  63. /yingpanguazai/ssd/ssd1/www/no.67808.cn/vendor/topthink/think-orm/src/model/concern/AutoWriteData.php ( 4.21 KB )
  64. /yingpanguazai/ssd/ssd1/www/no.67808.cn/vendor/topthink/think-orm/src/model/concern/Conversion.php ( 6.44 KB )
  65. /yingpanguazai/ssd/ssd1/www/no.67808.cn/vendor/topthink/think-orm/src/model/concern/DbConnect.php ( 5.16 KB )
  66. /yingpanguazai/ssd/ssd1/www/no.67808.cn/vendor/topthink/think-orm/src/model/concern/ModelEvent.php ( 2.33 KB )
  67. /yingpanguazai/ssd/ssd1/www/no.67808.cn/vendor/topthink/think-orm/src/model/concern/RelationShip.php ( 28.29 KB )
  68. /yingpanguazai/ssd/ssd1/www/no.67808.cn/vendor/topthink/think-helper/src/contract/Arrayable.php ( 0.09 KB )
  69. /yingpanguazai/ssd/ssd1/www/no.67808.cn/vendor/topthink/think-helper/src/contract/Jsonable.php ( 0.13 KB )
  70. /yingpanguazai/ssd/ssd1/www/no.67808.cn/vendor/topthink/think-orm/src/model/contract/Modelable.php ( 0.09 KB )
  71. /yingpanguazai/ssd/ssd1/www/no.67808.cn/vendor/topthink/framework/src/think/Db.php ( 2.88 KB )
  72. /yingpanguazai/ssd/ssd1/www/no.67808.cn/vendor/topthink/think-orm/src/DbManager.php ( 8.52 KB )
  73. /yingpanguazai/ssd/ssd1/www/no.67808.cn/vendor/topthink/framework/src/think/Log.php ( 6.28 KB )
  74. /yingpanguazai/ssd/ssd1/www/no.67808.cn/vendor/topthink/framework/src/think/Manager.php ( 3.92 KB )
  75. /yingpanguazai/ssd/ssd1/www/no.67808.cn/vendor/psr/log/src/LoggerTrait.php ( 2.69 KB )
  76. /yingpanguazai/ssd/ssd1/www/no.67808.cn/vendor/psr/log/src/LoggerInterface.php ( 2.71 KB )
  77. /yingpanguazai/ssd/ssd1/www/no.67808.cn/vendor/topthink/framework/src/think/Cache.php ( 4.92 KB )
  78. /yingpanguazai/ssd/ssd1/www/no.67808.cn/vendor/psr/simple-cache/src/CacheInterface.php ( 4.71 KB )
  79. /yingpanguazai/ssd/ssd1/www/no.67808.cn/vendor/topthink/think-helper/src/helper/Arr.php ( 16.63 KB )
  80. /yingpanguazai/ssd/ssd1/www/no.67808.cn/vendor/topthink/framework/src/think/cache/driver/File.php ( 7.84 KB )
  81. /yingpanguazai/ssd/ssd1/www/no.67808.cn/vendor/topthink/framework/src/think/cache/Driver.php ( 9.03 KB )
  82. /yingpanguazai/ssd/ssd1/www/no.67808.cn/vendor/topthink/framework/src/think/contract/CacheHandlerInterface.php ( 1.99 KB )
  83. /yingpanguazai/ssd/ssd1/www/no.67808.cn/app/Request.php ( 0.09 KB )
  84. /yingpanguazai/ssd/ssd1/www/no.67808.cn/vendor/topthink/framework/src/think/Request.php ( 55.78 KB )
  85. /yingpanguazai/ssd/ssd1/www/no.67808.cn/app/middleware.php ( 0.25 KB )
  86. /yingpanguazai/ssd/ssd1/www/no.67808.cn/vendor/topthink/framework/src/think/Pipeline.php ( 2.61 KB )
  87. /yingpanguazai/ssd/ssd1/www/no.67808.cn/vendor/topthink/think-trace/src/TraceDebug.php ( 3.40 KB )
  88. /yingpanguazai/ssd/ssd1/www/no.67808.cn/vendor/topthink/framework/src/think/middleware/SessionInit.php ( 1.94 KB )
  89. /yingpanguazai/ssd/ssd1/www/no.67808.cn/vendor/topthink/framework/src/think/Session.php ( 1.80 KB )
  90. /yingpanguazai/ssd/ssd1/www/no.67808.cn/vendor/topthink/framework/src/think/session/driver/File.php ( 6.27 KB )
  91. /yingpanguazai/ssd/ssd1/www/no.67808.cn/vendor/topthink/framework/src/think/contract/SessionHandlerInterface.php ( 0.87 KB )
  92. /yingpanguazai/ssd/ssd1/www/no.67808.cn/vendor/topthink/framework/src/think/session/Store.php ( 7.12 KB )
  93. /yingpanguazai/ssd/ssd1/www/no.67808.cn/vendor/topthink/framework/src/think/Route.php ( 23.73 KB )
  94. /yingpanguazai/ssd/ssd1/www/no.67808.cn/vendor/topthink/framework/src/think/route/RuleName.php ( 5.75 KB )
  95. /yingpanguazai/ssd/ssd1/www/no.67808.cn/vendor/topthink/framework/src/think/route/Domain.php ( 2.53 KB )
  96. /yingpanguazai/ssd/ssd1/www/no.67808.cn/vendor/topthink/framework/src/think/route/RuleGroup.php ( 22.43 KB )
  97. /yingpanguazai/ssd/ssd1/www/no.67808.cn/vendor/topthink/framework/src/think/route/Rule.php ( 26.95 KB )
  98. /yingpanguazai/ssd/ssd1/www/no.67808.cn/vendor/topthink/framework/src/think/route/RuleItem.php ( 9.78 KB )
  99. /yingpanguazai/ssd/ssd1/www/no.67808.cn/route/app.php ( 1.72 KB )
  100. /yingpanguazai/ssd/ssd1/www/no.67808.cn/vendor/topthink/framework/src/think/facade/Route.php ( 4.70 KB )
  101. /yingpanguazai/ssd/ssd1/www/no.67808.cn/vendor/topthink/framework/src/think/route/dispatch/Controller.php ( 4.74 KB )
  102. /yingpanguazai/ssd/ssd1/www/no.67808.cn/vendor/topthink/framework/src/think/route/Dispatch.php ( 10.44 KB )
  103. /yingpanguazai/ssd/ssd1/www/no.67808.cn/app/controller/Index.php ( 4.81 KB )
  104. /yingpanguazai/ssd/ssd1/www/no.67808.cn/app/BaseController.php ( 2.05 KB )
  105. /yingpanguazai/ssd/ssd1/www/no.67808.cn/vendor/topthink/think-orm/src/facade/Db.php ( 0.93 KB )
  106. /yingpanguazai/ssd/ssd1/www/no.67808.cn/vendor/topthink/think-orm/src/db/connector/Mysql.php ( 5.44 KB )
  107. /yingpanguazai/ssd/ssd1/www/no.67808.cn/vendor/topthink/think-orm/src/db/PDOConnection.php ( 52.47 KB )
  108. /yingpanguazai/ssd/ssd1/www/no.67808.cn/vendor/topthink/think-orm/src/db/Connection.php ( 8.39 KB )
  109. /yingpanguazai/ssd/ssd1/www/no.67808.cn/vendor/topthink/think-orm/src/db/ConnectionInterface.php ( 4.57 KB )
  110. /yingpanguazai/ssd/ssd1/www/no.67808.cn/vendor/topthink/think-orm/src/db/builder/Mysql.php ( 16.58 KB )
  111. /yingpanguazai/ssd/ssd1/www/no.67808.cn/vendor/topthink/think-orm/src/db/Builder.php ( 24.06 KB )
  112. /yingpanguazai/ssd/ssd1/www/no.67808.cn/vendor/topthink/think-orm/src/db/BaseBuilder.php ( 27.50 KB )
  113. /yingpanguazai/ssd/ssd1/www/no.67808.cn/vendor/topthink/think-orm/src/db/Query.php ( 15.71 KB )
  114. /yingpanguazai/ssd/ssd1/www/no.67808.cn/vendor/topthink/think-orm/src/db/BaseQuery.php ( 45.13 KB )
  115. /yingpanguazai/ssd/ssd1/www/no.67808.cn/vendor/topthink/think-orm/src/db/concern/TimeFieldQuery.php ( 7.43 KB )
  116. /yingpanguazai/ssd/ssd1/www/no.67808.cn/vendor/topthink/think-orm/src/db/concern/AggregateQuery.php ( 3.26 KB )
  117. /yingpanguazai/ssd/ssd1/www/no.67808.cn/vendor/topthink/think-orm/src/db/concern/ModelRelationQuery.php ( 20.07 KB )
  118. /yingpanguazai/ssd/ssd1/www/no.67808.cn/vendor/topthink/think-orm/src/db/concern/ParamsBind.php ( 3.66 KB )
  119. /yingpanguazai/ssd/ssd1/www/no.67808.cn/vendor/topthink/think-orm/src/db/concern/ResultOperation.php ( 7.01 KB )
  120. /yingpanguazai/ssd/ssd1/www/no.67808.cn/vendor/topthink/think-orm/src/db/concern/WhereQuery.php ( 19.37 KB )
  121. /yingpanguazai/ssd/ssd1/www/no.67808.cn/vendor/topthink/think-orm/src/db/concern/JoinAndViewQuery.php ( 7.11 KB )
  122. /yingpanguazai/ssd/ssd1/www/no.67808.cn/vendor/topthink/think-orm/src/db/concern/TableFieldInfo.php ( 2.63 KB )
  123. /yingpanguazai/ssd/ssd1/www/no.67808.cn/vendor/topthink/think-orm/src/db/concern/Transaction.php ( 2.77 KB )
  124. /yingpanguazai/ssd/ssd1/www/no.67808.cn/vendor/topthink/framework/src/think/log/driver/File.php ( 5.96 KB )
  125. /yingpanguazai/ssd/ssd1/www/no.67808.cn/vendor/topthink/framework/src/think/contract/LogHandlerInterface.php ( 0.86 KB )
  126. /yingpanguazai/ssd/ssd1/www/no.67808.cn/vendor/topthink/framework/src/think/log/Channel.php ( 3.89 KB )
  127. /yingpanguazai/ssd/ssd1/www/no.67808.cn/vendor/topthink/framework/src/think/event/LogRecord.php ( 1.02 KB )
  128. /yingpanguazai/ssd/ssd1/www/no.67808.cn/vendor/topthink/think-helper/src/Collection.php ( 16.47 KB )
  129. /yingpanguazai/ssd/ssd1/www/no.67808.cn/vendor/topthink/framework/src/think/facade/View.php ( 1.70 KB )
  130. /yingpanguazai/ssd/ssd1/www/no.67808.cn/vendor/topthink/framework/src/think/View.php ( 4.39 KB )
  131. /yingpanguazai/ssd/ssd1/www/no.67808.cn/vendor/topthink/framework/src/think/Response.php ( 8.81 KB )
  132. /yingpanguazai/ssd/ssd1/www/no.67808.cn/vendor/topthink/framework/src/think/response/View.php ( 3.29 KB )
  133. /yingpanguazai/ssd/ssd1/www/no.67808.cn/vendor/topthink/framework/src/think/Cookie.php ( 6.06 KB )
  134. /yingpanguazai/ssd/ssd1/www/no.67808.cn/vendor/topthink/think-view/src/Think.php ( 8.38 KB )
  135. /yingpanguazai/ssd/ssd1/www/no.67808.cn/vendor/topthink/framework/src/think/contract/TemplateHandlerInterface.php ( 1.60 KB )
  136. /yingpanguazai/ssd/ssd1/www/no.67808.cn/vendor/topthink/think-template/src/Template.php ( 46.61 KB )
  137. /yingpanguazai/ssd/ssd1/www/no.67808.cn/vendor/topthink/think-template/src/template/driver/File.php ( 2.41 KB )
  138. /yingpanguazai/ssd/ssd1/www/no.67808.cn/vendor/topthink/think-template/src/template/contract/DriverInterface.php ( 0.86 KB )
  139. /yingpanguazai/ssd/ssd1/www/no.67808.cn/runtime/temp/6df755f970a38e704c5414acbc6e8bcd.php ( 12.06 KB )
  140. /yingpanguazai/ssd/ssd1/www/no.67808.cn/vendor/topthink/think-trace/src/Html.php ( 4.42 KB )
  1. CONNECT:[ UseTime:0.000594s ] mysql:host=127.0.0.1;port=3306;dbname=no_67808;charset=utf8mb4
  2. SHOW FULL COLUMNS FROM `fenlei` [ RunTime:0.000740s ]
  3. SELECT * FROM `fenlei` WHERE `fid` = 0 [ RunTime:0.000360s ]
  4. SELECT * FROM `fenlei` WHERE `fid` = 63 [ RunTime:0.000264s ]
  5. SHOW FULL COLUMNS FROM `set` [ RunTime:0.000505s ]
  6. SELECT * FROM `set` [ RunTime:0.000217s ]
  7. SHOW FULL COLUMNS FROM `article` [ RunTime:0.000566s ]
  8. SELECT * FROM `article` WHERE `id` = 481303 LIMIT 1 [ RunTime:0.000529s ]
  9. UPDATE `article` SET `lasttime` = 1776444188 WHERE `id` = 481303 [ RunTime:0.005243s ]
  10. SELECT * FROM `fenlei` WHERE `id` = 65 LIMIT 1 [ RunTime:0.000231s ]
  11. SELECT * FROM `article` WHERE `id` < 481303 ORDER BY `id` DESC LIMIT 1 [ RunTime:0.000469s ]
  12. SELECT * FROM `article` WHERE `id` > 481303 ORDER BY `id` ASC LIMIT 1 [ RunTime:0.000445s ]
  13. SELECT * FROM `article` WHERE `id` < 481303 ORDER BY `id` DESC LIMIT 10 [ RunTime:0.002864s ]
  14. SELECT * FROM `article` WHERE `id` < 481303 ORDER BY `id` DESC LIMIT 10,10 [ RunTime:0.000775s ]
  15. SELECT * FROM `article` WHERE `id` < 481303 ORDER BY `id` DESC LIMIT 20,10 [ RunTime:0.006409s ]
0.093037s