分析轴向拉压变形的基础是胡克定律。在此基础上建立的几何法、叠加法与能量法,是分析变形的重要方法。
1、轴向变形
由材料的拉伸试验,在线弹性阶段,有σ=Eε;
得:

其中,EA表征杆件抵抗变形的能力。
2、横向变形
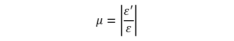
横向变形:Δb=b1-b;横向应变:ε΄=Δb/b=(b1-b)/b;
当应力不超过比例极限时,有:
μ称为横向变形系数或泊松比。
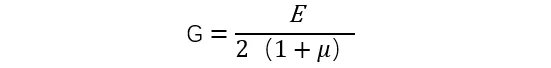
理论与试验均表明,对于各向同性材料,弹性模量E、 剪切模量G、μ存在如下关系:
叠加原理:几个载荷同时作用产生的效果,等于各载荷单独作用产生的效果的总和(仅适用于线弹性范围)。由能量守恒定律得:Vε = W ,其中:W 为外力所做功之和(缓慢加载,忽略动能与热能的损失)。拉压应变能计算:
图(a)所示杆,承受轴向载荷作用。载荷f由零逐渐增加,最后达到最大值F;载荷f作用点的相应位移δ也随之增长,最后达到最大值。在线弹性范围内,载荷f与位移δ成正比,其关系如图(b)所示。
在加载过程中,当载荷f增加微量df时,位移δ相应增长dδ,如图(a),这时,载荷f所作之功为fdδ。因此,在整个加载过程中,载荷所作之总功为:
由图(b )可以看出,微功 fdδ代表夹长阴影区域的面积,因此载荷所作之总功,数值上即等于图示三角形OAB 的面积,于是得:W=FΔ/2。
即载荷所作之总功,等于载荷F与相应位移的乘积之半。
对于等截面与轴力沿杆轴为常值的杆件,其轴向变形为:
综上,得杆件的轴向拉压应变能为: