大家好,我是小郝,本期来和大家简单聊一聊直升机CFD中应用的高精度格式。本篇文章的内容大部分来自他人的论文,本人也只是个搬运工,文章中如有错误和论述不当之处,请批评指正!
该文旨在对直升机CFD中高分辨率、低耗散空间离散格式的研究与应用进行系统性综述。首先,阐述了直升机流场模拟对低耗散格式的迫切需求及核心挑战;其次,分类介绍了主流的高精度、低耗散格式的基本原理与特性;最后,结合典型案例,分析了这些格式在模拟旋翼孤立流场和旋翼/机身干扰流场中的优势。
(投稿作者简介:小郝,南京某大学在读研究生)
2. 研究背景
2.1 直升机旋翼流场的复杂性与多尺度特征
直升机旋翼流场本质上是非定常、可压缩、三维粘性的复杂流动系统。其复杂性主要体现在动态失速与激波并存,即在前飞状态下,前行桨叶桨尖区域易出现跨声速流动,可能伴随激波产生,后行桨叶由于有效来流速度低,为保持升力,桨叶迎角增大,容易诱发动态失速,产生大尺度分离涡。另外,由于每个桨叶周期性地产生高强度桨尖涡,这些涡的相互缠绕会形成一个非定常、高度非线性的复杂涡系。桨尖涡的强度和空间位置直接影响后续桨叶的载荷(桨-涡干扰),是振动和噪声的主要来源。
2.2 数值耗散对模拟精度的影响
数值耗散主要来源于空间离散格式中对流通量的近似处理。传统二阶格式(如JST格式)虽然鲁棒性好,但为了抑制数值振荡引入的耗散项过大。在旋翼流场模拟中,过大的数值耗散会导致桨尖涡过早的消失,降低了对旋翼涡流场中桨尖涡等流动细节的捕捉能力。其次,严重的数值耗散也会导致干扰现象模拟的失真,即在旋翼/机身干扰计算中,耗散过大的尾迹无法准确冲击机身表面,导致干扰压力和噪声预测不可靠。最后,若数值耗散与物理耗散相当甚至更大,其会导致高精度湍流模拟失效,在进行大涡模拟(LES)或分离涡模拟(DES)等高保真度湍流模拟时,将严重污染湍流尺度的分辨,使高精度模型失去意义。
因此,发展并应用低耗散、高分辨率的空间离散格式是突破直升机高精度CFD模拟瓶颈的关键技术路径之一。
3. 高分辨率、低耗散空间离散格式的分类与原理
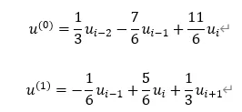
应用于直升机CFD的空间离散格式主要基于有限体积法。其核心在于如何从单元平均量重构出单元界面处的变量值(左右状态),并选用适当的黎曼求解器(如Roe格式、HLLC格式)计算界面通量。低耗散格式的改进主要体现在更高阶、更智慧的重构策略上。
3.1 MUSCL类格式及其改进
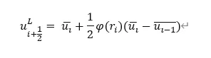
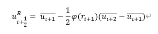
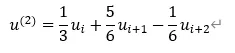
MUSCL(Monotonic Upstream-centered Scheme for Conservation Laws)格式通过分段线性(或多项式)重构,将空间精度从一阶提升至二阶或三阶。它结合斜率限制器(如minmod限制器、van Albada限制器)来抑制间断处的数值振荡,在激波捕捉和低耗散之间取得平衡。具体实现过程如下——以一个一维网格单元i为例,其左右界面分别为i-1/2和i+1/2,单元平均值为
。
第一步,重构出单元界面处更精确的函数值,其通用重构公式为:


其中
分别是界面处的左、右状态值。
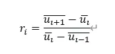
是斜率限制器函数,
是光滑度监测器,定义为相邻梯度之比:

当
时,表明流场在单元i附近近似线性变化(光滑);当
时,表明流场在单元i处存在极值或间断。
限制器决定了格式在单调性保持(无振荡)与精度之间的权衡,以minmod 限制器为例,
,当流场在单元i附近存在间断时,
,此时
,MUSCL格式变为一阶迎风格式;而在van Albada限制器中
,该限制器避免了分母为零的现象,在减少了数值振荡的同时又保证了一定的计算精度。
第二步,与通量计算器进行耦合重构得到界面左右状态
后,将其输入黎曼求解器计算数值通量 

总而言之,MUSCL格式的公式体系通过一个简单的比值
感知流场,再通过一个非线性的函数
智能地调节格式的耗散水平,最终在激波处的稳定性和光滑区的高精度之间达成自适应平衡。然而,传统MUSCL格式的精度和分辨率对于需要长期保持涡结构的精细模拟而言仍显不足,这推动了更高阶格式的应用。
3.2 加权本质无振荡(WENO)格式
WENO格式是当前直升机高精度CFD模拟中应用最广泛、最具代表性的低耗散格式。其核心思想是通过一组候选模板的凸组合来进行非线性重构。每个模板对应一个低阶多项式,例如,对于5阶WENO格式(WENO5,r=3)而言,有3个候选模板,每个包含3个点,如下图所示


图1 计算
时的模板示意图
然后计算各模板的重构值(三阶精度):


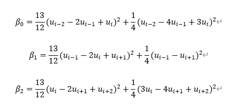
之后,计算光滑度指标
,其中

解越光滑,
越小;越不平滑(如有间断穿过),
越大。之后,设置理想线性权重
:
,它们的和为1,且线性组合
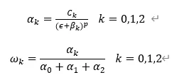
会制造出一个五阶精度的线性迎风近似。之后计算非线性权重

其中
是一个很小的正数(如
),防止分母为零,p是一个正整数(通常取2或4),用于放大不同模板间光滑度指标的差异。p 越大,权重对
越敏感。
假设某个模板 Sk包含间断,其
会非常大,导致
和
变得非常小。反之,对于最光滑的模板,其权重会接近于1。这样,在间断附近,格式就自动“退化”为使用最光滑的那个低阶模板(类似于ENO的单选);在完全光滑的区域,所有
几乎相等,
,格式恢复为高阶线性格式。
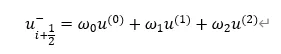
最后,用计算出的非线性权重对各个模板的重构值进行加权平均,得到最终的界面值或通量:

而对于
的求解,通常以i+1为中心,将 ui+1/2+看作是从右侧单元(i+1)向左重构得到的值,即相当于在界面 i+1/2处,从右向左重构多项式。最终,我们可以使用以下模板,如下图所示


图2 计算
时的模板示意图
之后,和以上步骤一样,计算各模板的重构值,计算光滑度指标βk,然后计算非线性权重
,用计算出的非线性权重对各个模板的重构值进行加权平均,得到左右界面值
和
后,通常结合黎曼求解器(如Roe格式,Lax-Friedrichs,HLLC等)来计算最终的数值通量

在传统的WENO格式的基础上,Jiang和Shu[1]提出了经典WENO-JS格式,奠定了WENO的基本框架;Borges等人[2]通过引入全局高阶光滑度量指标,对权重进行了优化,提出了WENO-Z格式,该格式旨在解决经典WENO-JS格式在光滑流场区域存在的数值耗散偏大和在极值点处精度下降的问题。WENO-Z格式通过一个更优的权重设计,在保持激波捕捉鲁棒性的同时,显著提升了格式的分辨率和计算精度,在捕捉涡等光滑但剧烈变化的流动特征时更具优势。
4.高精度格式在典型直升机流场模拟中的应用与验证
4.1孤立旋翼悬停与前飞流场模拟
旋翼流场环境复杂,为准确模拟旋翼涡流场,不仅需要对前行侧桨叶激波/附面层干扰诱导的气流分离进行有效捕捉,还需要准确模拟旋翼桨尖涡等流动细节和涡干扰作用,而孤立旋翼流场是验证格式性能的基准算例。张居晖[3]将7阶Roe-WENO高精度格式应用于Caradonna&Tung旋翼悬停流场的数值模拟和Helishape 7A 旋翼悬停流场数值模拟,结果表明利用其发展的7阶WENO格式计算出的桨叶表面压力系数与实验值吻合良好,此外,从模拟效果可以看出,与JST格式相比,WENO-分段线性格式对桨尖涡的捕捉和涡强度的计算能力更好,如下图所示。

图3 悬停流场中Caradonna&Tung旋翼的涡量捕捉效果对比

图4 悬停流场中Caradonna&Tung旋翼0°(上)和90°(下)方位角截面尾迹涡量比较

图5 悬停流场中Helishape 7A 旋翼的涡量捕捉效果对比


图6 悬停流场中Helishape 7A 旋翼0°方位角截面尾迹涡量比较
张昆[4]针对X2高速直升机的共轴双旋翼,采用了基于运动嵌套网格技术和低耗散Roe-MUSCL格式的CFD方法,对悬停状态共轴刚性双旋翼的气动特性进行了模拟,得到如下结论:1)在悬停状态下,与单旋翼的桨叶剖面升力系数不随方位角变化不同,共轴刚性双旋翼的桨叶剖面升力系数是非定常变化的(如图7所示),这是因为共轴双旋翼的上下旋翼桨叶相互干扰所致。2)此外,根据图 8 可知在不同方位角下,下旋翼的拉力系数都比上旋翼的小,且上下旋翼在一个计算周期内均出现了4个波峰,波峰位置分别位于90°、180°、270°、360°方位角,而且在出现波峰的位置振幅较大,这表明高速旋转的上下旋翼桨叶在彼此相遇时产生了强烈的气动干扰。
图7 悬停状态下不同位置处共轴刚性双旋翼的桨叶剖面升力系数随方位角的变化

图8 悬停状态下共轴刚性双旋翼的拉力系数历程
相比于悬停状态,直升机前飞时的流场更为复杂,涉及周期变距、动态失速和尾迹的斜向拖出。Li[5]在前飞旋翼的高阶方法研究中,采用移动重叠网格技术结合五阶WENO-Z格式,成功模拟了前飞状态下旋翼的非定常气动载荷和复杂的尾迹涡系结构(如下图所示),计算结果与实验数据吻合良好。这证明了高阶低耗散格式在复杂运动和非定常流动中的适用性。计算结果还表明,其引入的移动重叠网格技术和第五阶WENO-Z 方案在高分辨率捕捉涡尾方面具有很强的能力(相较于MUSCL格式和WENO-JS格式)。

图9 非可变桨距旋翼在与前飞方向垂直的不同切平面上的涡度轮廓

图10 在非变距桨叶上与前进飞行方向垂直的不同截面平面上的涡度等值线,由MUSCL、WENO-JS和WENO-Z方案计算得出
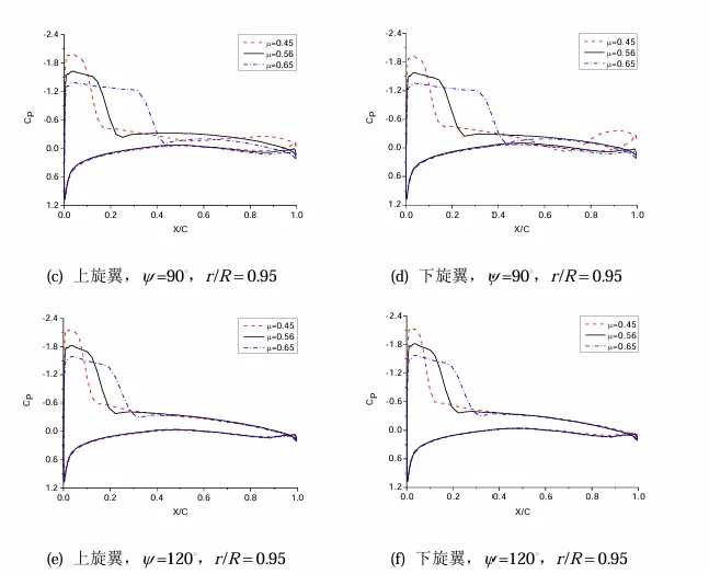
张昆[4]在对高前进比前飞状态下高速直升机共轴刚性双旋翼的气动特性进行分析时,研究了前进比变化对共轴刚性双旋翼气动特性的影响,发现上下旋翼的拉力系数随前进比的增加而增大,且趋于相等,并且它们的功率系数随前进比的增加亦增大;根据前行侧不同方位角处的桨叶表面压强系数沿展向的分布情况(如图11所示),发现上下旋翼的桨叶尖部在60°~120°方位角处均产生了较强的激波,这表明上下旋翼的桨盘前行侧大部分区域都会出现较强的激波,且随着前进比增加,激波位置向桨叶后缘移动,该结论与物理实际相符合。


图11 共轴刚性双旋翼前行侧不同方位角处的桨叶剖面压强系数分布
4.2 旋翼/机身干扰流场模拟
旋翼与机身的气动干扰是直升机特有的、极具挑战性的问题。低耗散格式对于准确模拟下洗尾迹撞击机身的过程至关重要。樊枫[6]等人基于混合网格,采用二阶MUSCL格式与Roe格式结合进行空间离散,成功模拟了Georgia Tech和Robin旋翼/机身模型的干扰流场(如下图所示),结果显示机身表面压力的非定常变化与试验结果具有良好相关性。这表明,即使采用经过优化的二阶格式,也能在一定程度上满足工程分析的需求。然而,对于干扰机理的深入研究(如机身表面高频压力脉动对噪声的贡献),可能需要WENO类更高阶格式来更精确地分辨尾迹涡结构与机身作用的瞬态细节。

图12 机身干扰状态下Georgia旋翼桨尖涡的运动轨迹

图13Robin旋翼/机身干扰流场图

图14不同前进比时Georgia机身顶端平均压力系数
计算值与试验值的对比结果

图15Robin机身顶端非定常压力计算值与试验值的对比
张居晖[3]将基于格心格式的高精度CFD数值计算方法拓展应用到双推进螺旋桨构型(X3构型)复合式高速直升机的全机流场计算中,对悬停状态的双推进螺旋桨复合式高速直升机全机流场进行了深入分析和计算(如下图所示),结果表明,在全机状态下,旋翼下洗流和左右两侧螺旋桨滑流之间会互相干扰而产生偏折,在右侧螺旋桨附近螺旋桨向前的滑流使得旋翼下洗流产生了向前的偏折,但是由于旋翼下洗流速度要比螺旋桨滑流大很多,旋翼下洗流使得螺旋桨滑流产生了大幅度的向下偏折;在左侧螺旋桨附近螺旋桨向后的滑流使得旋翼下洗流产生了向后的偏折,但是由于旋翼下洗流速度要比螺旋桨滑流大很多,旋翼下洗流使得螺旋桨滑流产生了大幅度的向下偏折。

图16X3构型复合式高速直升机悬停状态流场中全机状态等值涡量图

图17X3构型复合式高速直升机悬停状态流场中旋翼中心横向截面处涡量云图

图18X3构型复合式高速直升机右侧螺旋桨桨盘中心截面

图19X3构型复合式高速直升机左侧螺旋桨桨盘中心截面
本篇文章简要论述了高分辨率、低耗散空间离散格式在直升机CFD领域中的应用。从二阶MUSCL格式到高阶WENO格式,这些技术的发展显著提升了旋翼尾迹、桨-涡干扰、旋翼/机身干扰等关键气动问题的模拟保真度,使CFD成为支撑新一代直升机气动设计、性能优化及机理研究的可靠工具。
以上便是本期的全部内容,下期见!
参考文献
[1]Jiang G S, Shu C W. Efficient implementation of weighted ENO schemes[J]. Journal of computational physics, 1996, 126(1): 202-228.
[2]Borges R, Carmona M, Costa B, et al. An improved weighted essentially non-oscillatory scheme for hyperbolic conservation laws[J]. Journal of computational physics, 2008, 227(6): 3191-3211.
[3]张居晖. 基于高精度格式的直升机流场模拟[D]. 南京航空航天大学, 2020.
[4]张昆. 基于CFD方法的高速直升机共轴刚性双旋翼的气动特性研究[D]. 江苏:南京航空航天大学,2012.
[5]Xu L, Weng P. High order accurate and low dissipation method for unsteady compressible viscous flow computation on helicopter rotor in forward flight[J]. Journal of Computational Physics, 2014, 258: 470-488.
[6]樊枫, 林永峰, 黄水林. 基于混合网格的直升机旋翼/机身非定常干扰流场数值模拟方法研究[J]. 南京航空航天大学学报, 2015, 42(2): 180.

【免责声明】本文中的部分图片和文字信息来自该文献,版权归原作者所有。本文内容旨在传播学术研究信息,仅供参考与学习交流之用。本文中所有插图、图表及封面图片均来源于上述提及的原始研究论文。我们对文章内容的准确性、完整性或时效性不作任何明示或默示的保证,任何与原文内容存在的差异,均应以原始论文为准。邮箱jisuanlixueqianyan@yeah.net