● ● ●
第三章 能源资源环境分析
本章重点:“碳排放分析及其计算” “生态足迹法”“层次分析法”
▶能耗双控与碳排放双控从能耗双控转向碳排放双控,更强调减碳导向,既可以兼容能耗双控要求,又与碳达峰、碳中和目标的关联更为直接,是经济发展与能源安全和应对气候变化等多项目标的有机统一。通过准确识别碳排放的来源、结构和强度,有助于提高社会能效和碳效,促进能源结构优化,促进经济社会全面绿色低碳转型。
(不建议背,建议多读几遍,可提高开放式题目的语感,后面大段话的同理)
▶其政策内涵核心体现在以下几个方面:
(1)重点控制化石能源消费。
(2)鼓励发展可再生能源。
(3)推动生产和消费全面绿色低碳转型。
(4)倒逼企业把握低碳转型发展契机。
(5)促进区域协调发展。
▶能耗双控项目对所在地能源消费增量控制目标的影响分析,可通过定量计算项目年能源消费增量占所在地能源消费增量控制目标的比重,定性分析其影响程度;项目对所在地能源消费强度降低目标的影响分析,可通过定量计算项目增加值能耗影响所在地单位GDP 能耗的比例,定性分析其影响程度。
项目年能源消费增量与所在地能源消费增量控制目标的对比分析(m%) | 项目增加值能耗与所在地能源消费强度降低目标的对比分析(n%) | 影响程度 |
m≤1 1<m≤3 3<m≤10 10<m≤20 m>20 | n≤0.1 0.1<n≤0.3 0.3<n≤1 1<n≤3.5 n>3.5 | 影响较小 一定影响 较大影响 重大影响 决定性影响 |
▶两个公式:
m=ip×100/is
n=[(a+d)/(b+e)-c]×100/c
(理解背后逻辑关系)① 项目对所在地完成碳排放增量控制目标的影响分析,即碳排放总量分析;
② 项目对所在地完成碳排放强度降低目标的影响分析,即碳排放强度分析。
项目碳排放总量计算E总=E燃烧燃料+E工业生产过程+E电和热
▶燃料燃烧的碳排放量

▶净购入电力和热力的碳排放量
E电和热=D电力×EF电力+D热力× EF热力
碳排放通过α值与β值来分析,公式参考能耗。
资源环境承载力是一个多要素集合的概念,既涉及水、土地、矿产、能源等各类支撑性要素,又涉及水环境容量、大气环境容量、生态容量等各类生态环境约束性要素,同时还涉及人口、经济社会发展等给自然资源和生态环境造成压力的要素。
这三类要素通过相互作用、相互约束,最终可以形成以资源为支撑,以生态环境为约束,以社会经济正常运行和可持续发展为目标的资源环境承载力分析体系。资源环境承载力具有区域性、客观性、层次性、有限性、动态性、可控性等特征。
① 资源环境要素基础评价;
② 区域资源环境承载力综合评价;
③ 制定差别化的资源环境政策;
④ 提出空间开发适宜方向和最终规划方案。
▶分析方法选用

生态生产性土地分为六类:化石能源地、可耕地、牧草地、森林、海洋(水域)、建筑用地。
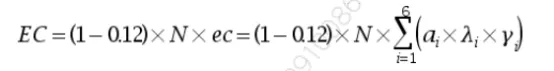
最终生态承载力应该在均衡生态承载力的基础上扣除12%用以保护生物多样性
①生态足迹(EF)

②生态承载力(EC)

(上面2个公式不求背诵,要理解逻辑关系即可)
重点:灵活应用,扣除12%!!!只有“生态承载力EC”考虑γi产量因子。
③生态盈亏ED=EC-EF
生态盈亏是指生态承载力与生态足迹的差值,该值表明某区域的生态状况。正值表明生态承载力大于生态足迹,称为生态盈余。负值表明生态足迹大于生态承载力,称为生态赤字。
▶生态足迹基本模型的特点
①是一种综合影响分析;
②采用单一时间尺度,即“快拍”式截面;
③所使用的产量因子是全球平均产量;
④在固定生产与消费条件下的确定性研究;
⑤反映的是区域生产与消费的综合信息;
⑥使用六类土地利用空间;
⑦引入当量因子进行综合。
▶生态足迹方法的不足之处
①指标表征单一、过分简化,只衡量了生态的可持续程度,强调的是人类发展对环境系统的影响
及其可持续性,而没有考虑人类对现有消费模式的满意程度;
② 难以反映人类活动的方式、管理水平的提高和技术的进步等因素的影响;
③ 基于现状静态数据的分析方法,难以进行动态模拟与预测。
▶层次分析法(分层加权计算)


生态系统弹性度指标反映生态系统的自我抵抗能力和生态系统受干扰后的自我恢复与更新能力,分值越高,表示生态系统的承载稳定性越高。
资源环境承载力指标反映资源与环境的承载能力,指标分值越大,表示现实承载力越高。
压力度指标反映生态系统的压力大小,指标分值越高,表示系统所受压力越大。
可持续的生态系统承载需满足三个条件:压力作用不超过生态系统的弹性度、资源供给能力大于需求量、环境对污染物的消化容纳能力大于排放量。
(以上内容综合自官方教材、林轩老师讲义
如有侵权,联系删除)


,销售勿扰。
