学习12.12章内容
12.12节的内容是DRIFT AND DEFORMATION位移和变形,本节旨在通过控制结构自身的变形过大、控制结构之间的碰撞、控制跨结构受力构件的位移来防止结构出现破坏。
12.12.1控制自身变形,规范在12.8.6、12.9.1和12.9.2都提及了如何计算结构的层间位移,所有的计算值都不允许超过Table12.12-1的限值。
|
12.12.1.1中提及,SDC-D~F的纯框架结构,△≤△a/ρ,这一条限制了高抗震设防的纯框架结构要有更严格的变形能力,防止倒塌。
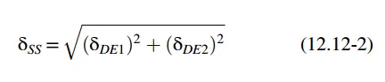
12.12.2控制结构之间的间距structural separation,由这个允许地震设计位移δDE控制,通过12.8.6节,那么建筑之间的间距就是通过SRSS(平方和开放)两个建筑的最大地震位移来确定:
|
|
12.12.3控制跨不同结构的重力连接或支撑构件的位移,gravity connections or supports for members spanning between structures or seismically separate portions of structures,其实就是举例连廊,悬挑的构件,它的设计要求是要考虑两个结构单元朝着相反运动方向(最不利情况),使用最大考虑地震位移,并且通过绝对值相加,来确定相对位移限值。

12.12.4是抗震设防等级SDC-D~F的变形协调要求,其实就是非地震力抵抗体系的受力构件也要有足够的强度能够抵抗重力和地震力(由设计地震引起的δDE)协调作用从而产生的变形引起的附加内力。

同时exceptions提到对于混凝土框架结构的非抗震抵抗体系的要求,这里不做展开。

本期完~本期较短嘻嘻
有需要加群一起交流的可以关注公众号并私信,获取群二维码
AISC 360的解读点击合集:AISC 360-22钢结构设计笔记