当前位置:首页>学习笔记>Camizestrant学习笔记(含乳腺领域的研究设计、结果和布局)

Camizestrant学习笔记(含乳腺领域的研究设计、结果和布局)

  • 2026-03-25 07:05:08
Camizestrant学习笔记(含乳腺领域的研究设计、结果和布局)
工作了这么多年,感觉最大的收获就是认识了一群优秀的同事,因为共事过的愉快经历,现在在各个会场见到都还是能八卦半天。女孩子见面就更开心,叽叽喳喳的聊个不停。去年10月份见到M,刚刚好两个我的会议冲突了。

我:亲爱的,你给我帮个忙……(略去有商业机密的67个字)M:行我:谢谢亲爱的,你最好!M:只有谢谢吗?我:恩……以身相许可以吗?

M眨了眨美丽的大眼睛,想了想说:不要,你给cami写个小传吧?整理下产品数据

看,这就是现代工作女性对自己事业的热爱,我拖了小半年,要是再不写,cami出了更多的数据,我就吃亏大了。

Camizestrant(AZD9833)的完整临床研究布局,涵盖从早期到晚期的全阶段开发策略:


基本信息

Camizestrant是阿斯利康(AstraZeneca)研发的下一代口服选择性雌激素受体降解剂(SERD)和完全ER拮抗剂,旨在克服传统内分泌治疗耐药问题,特别是针对ESR1突变驱动的耐药机制。


研究阶段
研究名称
研究设计
关键信息
当前状态
Phase ISERENA-1
剂量递增+扩展队列,评估Camizestrant单药及联合三种CDK4/6抑制剂(哌柏西利、瑞波西利、阿贝西利)在ER+/HER2-晚期乳腺癌患者中的安全性、耐受性和初步疗效
入组191例患者(53例+阿贝西利,78例+哌柏西利,60例+瑞波西利);75mg剂量确定为III期推荐剂量;中位PFS达7.4个月,CBR24为49.5%
已完成
Phase IISERENA-2
随机、开放标签、多中心研究,比较Camizestrant(75mg和150mg)vs 氟维司群在ER+/HER2-晚期乳腺癌(既往接受内分泌治疗)中的疗效
240例患者入组,无论ESR1突变状态或既往CDK4/6抑制剂治疗史,均显示PFS获益;安全性良好,无新的安全信号
已完成
Phase IISERENA-3新辅助治疗研究
,随机、开放标签、平行组、多中心试验,评估Camizestrant vs 阿那曲唑在早期ER+乳腺癌中的疗效,主要终点为治疗前后肿瘤活检中ER表达的变化
入组84例患者;探索新辅助设置下Camizestrant对ER通路的调节作用及生物标志物变化;数据已于2023年上半年读出
已完成
Phase IIISERENA-4
一线治疗,Camizestrant+哌柏西利 vs 阿那曲唑+哌柏西利,用于HR+/HER2-晚期乳腺癌(所有患者,不限制ESR1突变状态
入组1342例患者;评估Camizestrant在更广泛一线人群中的获益;预计2023年后获得数据
进行中
Phase IIISERENA-6
双盲随机研究,针对一线AI+CDK4/6抑制剂治疗期间出现ESR1突变的患者,切换至Camizestrant+CDK4/6抑制剂 vs 继续AI+CDK4/6抑制剂
315例患者入组,中位PFS 16.0个月 vs 9.2个月(HR=0.44,P<0.00001),疾病进展或死亡风险降低56%;生活质量维持时间23.0个月 vs 6.4个月
2025年ASCO公布阳性结果
Phase IIICAMBRIA-1
辅助治疗研究,评估Camizestrant vs 标准辅助内分泌治疗(AI或他莫昔芬)用于早期乳腺癌中高危复发风险患者
治愈性意图设置,旨在预防复发
进行中
Phase IIICAMBRIA-2
辅助治疗研究,评估Camizestrant vs 标准辅助内分泌治疗用于早期乳腺癌中高危复发风险患者
与CAMBRIA-1共同构成早期乳腺癌辅助治疗的全面评估
进行中

SERENA-1

该试验是一项评估新一代口服选择性雌激素受体降解剂(SERD)camizestrant 在雌激素受体阳性(ER+)、人表皮生长因子受体2阴性(HER2-)晚期乳腺癌患者中应用的I期研究。

  1. 研究背景与药物机制

疾病背景:ER+/HER2-乳腺癌是最常见的亚型。内分泌治疗是基础,但耐药(尤其是ESR1基因突变)是重大临床挑战。

试验药物:Camizestrant (AZD9833) 是一种新一代口服SERD和完全雌激素受体拮抗剂,旨在比现有疗法(如氟维司群)更有效地降解和拮抗ER。

试验设计:SERENA-1是一项多部分、开放标签的I期试验,旨在评估camizestrant单药及与不同靶向药物联合应用的安全性、耐受性、药代动力学和初步疗效。

SERENA-1试验评估了camizestrant的三种应用场景,结果均支持其进一步开发:

A. Camizestrant 单药治疗(2024年发表)

关键发现:

安全性:在≤150 mg剂量下耐受性良好。最常见治疗相关不良事件为视觉效应、心动过缓和疲劳,主要为1-2级。在≤150 mg剂量下未发生3级及以上治疗相关不良事件或导致停药的事件。

药代动力学:支持每日一次给药,半衰期估计为20-23小时。

疗效:在包括既往接受过CDK4/6抑制剂、氟维司群治疗以及携带ESR1突变在内的经治患者中均观察到抗肿瘤活性。

剂量选择:确定了75 mg、150 mg和300 mg每日一次作为II期试验的推荐剂量。

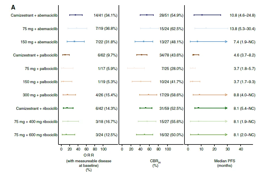
B. Camizestrant 联合三种CDK4/6抑制剂(2025年发表)

联合方案:分别与abemaciclib、palbociclib、ribociclib联合。关键发现:安全性:联合治疗耐受性良好,未观察到具有临床意义的药物相互作用。最常见的不良事件与各CDK4/6抑制剂的已知安全性特征一致。药代动力学:联合用药不影响camizestrant的药代动力学特征。疗效:在这个多线经治(83%患者既往接受过CDK4/6抑制剂,59%既往接受过氟维司群)的人群中,24周临床获益率为49.5%,中位无进展生存期为7.4个月,在所有联合方案中均观察到抗肿瘤活性。结论:结果支持在III期试验中评估camizestrant 75 mg每日一次联合标准剂量CDK4/6抑制剂。

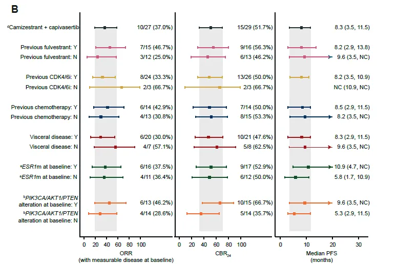
C. Camizestrant 联合AKT抑制剂Captivasertib(2026年发表)

关键发现:安全性:联合治疗耐受性良好,安全性特征与两种药物单药治疗时一致。最常见不良事件是腹泻和恶心。药代动力学:未观察到具有临床意义的药物相互作用。疗效:在经治人群(89.7%既往接受过CDK4/6抑制剂,55.2%既往接受过氟维司群)中显示出令人鼓舞的临床活性:客观缓解率为37.0%,24周临床获益率为51.7%,中位无进展生存期为8.3个月。在基线检测到ESR1突变的患者中,92%的患者其突变等位基因频率在治疗后可降低≥50%。

总体结论SERENA-1 I期试验系列结果表明:

  1. 1. Camizestrant 作为一种新型口服SERD,无论是单药还是与CDK4/6抑制剂或AKT抑制剂(captivasertib)联合,在ER+/HER2-晚期乳腺癌患者中均表现出可管理的安全性和耐受性特征。
  2. 2. 在所有治疗方案中,包括在既往接受过多线治疗(包括CDK4/6抑制剂和氟维司群)以及携带ESR1突变的患者中,均观察到了有临床意义的抗肿瘤活性。
  3. 3. 这些数据为camizestrant(尤其是75 mg每日一次剂量)进入后续关键的II/III期临床试验(如SERENA-2, SERENA-4, SERENA-6, CAMBRIA系列)提供了坚实的依据,以进一步评估其在晚期和早期乳腺癌治疗中的价值。

SERENA-2

发表在《Lancet Oncology》上的二期临床试验

  1. 1. 研究背景与目的背景:氟维司群是首个获批用于治疗激素受体阳性(HR+)转移性乳腺癌的选择性雌激素受体降解剂(SERD),但需肌肉注射,且对部分耐药(尤其是ESR1突变)患者疗效有限。Camizestrant (AZD9833) 是一种新一代口服SERD和完全雌激素受体拮抗剂。

目的:SERENA-2试验旨在头对头比较不同剂量的口服camizestrant与标准治疗氟维司群,在绝经后ER阳性、HER2阴性晚期乳腺癌患者中的疗效和安全性。

  1. 2. 研究设计

设计:开放标签、随机、多剂量、二期试验。患者:入组了240名至少接受过一线内分泌治疗后疾病进展的ER+/HER2-晚期乳腺癌绝经后女性。患者既往接受过不超过一种晚期疾病阶段的化疗或内分泌治疗,且未接受过氟维司群或其他SERD治疗。分组:患者按1:1:1:1随机分入camizestrant 75 mg、150 mg、300 mg(该组提前关闭入组)每日一次口服组,或氟维司群500 mg(按说明书)肌肉注射组。随机分组按是否既往使用CDK4/6抑制剂以及是否存在肝/肺转移进行分层。

  1. 3. 主要结果主要终点(无进展生存期 PFS):中位随访约16个月后,camizestrant 75 mg组和150 mg组的中位PFS均显著优于氟维司群组。

Camizestrant 75 mg: 中位PFS 7.2个月 vs. 氟维司群 3.7个月(风险比 HR=0.59, p=0.017)。

Camizestrant 150 mg: 中位PFS 7.7个月 vs. 氟维司群 3.7个月(HR=0.64, p=0.0090)。

• 关键亚组分析:在既往接受过CDK4/6抑制剂治疗的患者、存在肝/肺转移的患者,以及基线检测到ESR1突变(循环肿瘤DNA)的患者亚组中,camizestrant(75 mg和150 mg)均显示出PFS获益。

• 安全性:

Camizestrant最常见的不良反应是视觉效应(如闪光感)和心动过缓,大多数为1-2级,未导致治疗中断。

治疗相关不良事件发生率在camizestrant 75 mg组为53%,150 mg组为67%,氟维司群组为18%。

未发生治疗相关死亡。camizestrant 75 mg组的安全性特征与剂量更高组相比更具优势。

  1. 4. 结论

Camizestrant(75 mg和150 mg每日一次)作为单药治疗,在ER+/HER2-晚期乳腺癌患者中,其无进展生存期显著优于标准治疗氟维司群。综合疗效和安全性数据,75 mg被确定为后续临床开发(包括三期试验)的推荐剂量。该研究结果支持camizestrant成为治疗ER+/HER2-乳腺癌(无论是否存在ESR1突变)的一种潜在重要新型内分泌治疗选择。目前多项三期试验(如SERENA-4, SERENA-6, CAMBRIA-1, CAMBRIA-2)正在晚期和早期疾病环境中进行。

SERENA-6

发表于《NEJM》的三期临床研究

1. 研究背景与核心问题

临床现状:芳香化酶抑制剂联合CDK4/6抑制剂是ER阳性、HER2阴性晚期乳腺癌的一线标准治疗。然而,在治疗过程中,约40%的患者会出现ESR1基因突变,这是导致对芳香化酶抑制剂耐药的主要机制。

关键发现:在疾病出现影像学进展前约6个月,即可在循环肿瘤DNA中检测到新发的ESR1突变。这为“在疾病进展前进行干预”提供了时间窗口。

研究假设:此前PADA-1试验表明,在检测到ESR1突变时,将芳香化酶抑制剂换为注射型SERD氟维司群可延长无进展生存期。本研究旨在验证,换用新一代口服SERD Camizestrant(在二期试验中已显示优于氟维司群)是否能有更好疗效。

2. 研究设计:创新的“监测-干预”模式

设计:全球多中心、随机、双盲、三期试验。

入组患者:接受一线芳香化酶抑制剂+CDK4/6抑制剂治疗至少6个月且有效的ER+/HER2-晚期乳腺癌患者。

独特流程:

  1. 1. 监测期:每2-3个月通过ctDNA监测ESR1突变。
  2. 2. 干预期:一旦检测到ESR1突变但尚未出现影像学进展,患者被随机分组(1:1):

试验组:将芳香化酶抑制剂换为Camizestrant(75 mg,每日一次口服),继续原CDK4/6抑制剂。

对照组:继续原方案(芳香化酶抑制剂+CDK4/6抑制剂)。

主要终点:研究者评估的无进展生存期。

3. 主要研究结果

疗效(无进展生存期 PFS):在中位随访12.6个月时,Camizestrant组的中位PFS为16.0个月,显著优于对照组的9.2个月。疾病进展或死亡风险降低了56%(风险比 HR=0.44, 95% CI 0.31-0.60, P<0.0001)。

患者报告的生活质量:Camizestrant组患者全球健康状态/生活质量恶化时间中位数为21.0个月,远长于对照组的6.4个月(HR=0.54)。这表明提前换药不仅延缓疾病进展,也显著延长了患者维持良好生活状态的时间。

安全性:最常见的不良事件是中性粒细胞减少(试验组54.8%,对照组44.5%),这主要与CDK4/6抑制剂有关。

Camizestrant特有的不良反应主要是视觉效应(如闪光感,20.0%,多为1级)和心动过缓(5.2%),程度轻微,未导致治疗中断。

因不良事件停药率极低(Camizestrant组1.3%,对照组1.9%)。

4. 结论与意义

该研究证实,对于一线治疗有效的ER+/HER2-晚期乳腺癌患者,通过ctDNA监测发现新发ESR1突变后,在疾病影像学进展前主动将治疗方案从“芳香化酶抑制剂+CDK4/6抑制剂”换为“Camizestrant + CDK4/6抑制剂”,可:

  1. 1. 显著延长无进展生存期(中位PFS增加6.8个月)。
  2. 2. 显著延迟生活质量的恶化。
  3. 3. 安全性良好,未带来新的安全顾虑。

SERENA-4

2021年(SABCS)上展示的临床试验的设计

1. 研究背景与目的

背景:雌激素受体阳性/人表皮生长因子受体2阴性(ER+/HER2-)乳腺癌是最常见的亚型。一线标准治疗是内分泌治疗(如芳香化酶抑制剂)联合细胞周期蛋白依赖性激酶4/6(CDK4/6)抑制剂。

试验药物:Camizestrant(AZD9833)是一种新型、口服、高效力的下一代选择性雌激素受体降解剂(SERD)和纯雌激素受体拮抗剂。

研究目的:SERENA-4试验旨在评估,对于未曾接受过晚期疾病全身治疗的ER+/HER2-晚期乳腺癌患者,camizestrant联合CDK4/6抑制剂palbociclib,是否优于当前标准方案(芳香化酶抑制剂anastrozole联合palbociclib)。

2. 试验设计

设计:全球多中心、随机、双盲、安慰剂对照的三期临床试验。

计划入组:1342名成年患者。

治疗方案:

试验组:Camizestrant + palbociclib + anastrozole的安慰剂。对照组:Anastrozole + palbociclib + camizestrant的安慰剂。

• 关键入组标准:

组织学确诊的ER+(>10%染色)/HER2-晚期乳腺癌。可以是新发(de novo)IV期疾病,或早期乳腺癌完成标准辅助内分泌治疗后复发。

• 关键排除标准:

有症状、危及生命的内脏转移。已知的活动性或症状性中枢神经系统转移。既往在(新)辅助治疗阶段使用过芳香化酶抑制剂联合CDK4/6抑制剂,并在治疗期间或结束后12个月内复发。

3. 研究终点

• 主要终点:研究者评估的无进展生存期。

• 次要终点:包括总生存期、第二次无进展生存期、客观缓解率、24周临床获益率、至化疗时间、健康相关生活质量(患者报告结局)以及camizestrant与palbociclib联合使用的稳态药代动力学。

• 安全性终点:不良事件、生命体征、实验室检查等。

4. 总结

这份海报概述了SERENA-4试验的设计方案。该试验旨在直接比较新一代口服SERD camizestrant 与传统芳香化酶抑制剂 anastrozole,在各自联合CDK4/6抑制剂 palbociclib 时,用于ER+/HER2-晚期乳腺癌一线治疗的疗效与安全性。其目标是验证camizestrant能否为此类患者提供更优的临床获益。试验结果将决定camizestrant联合方案是否有潜力成为新的标准一线治疗选择。

SERENA-3

2026年1月发表在《JCO》评估新一代口服选择性雌激素受体降解剂(SERD)camizestrant 在早期乳腺癌患者中药效学作用的术前窗口期试验。

1. 研究背景与目的

背景:窗口期研究有助于确认新药的作用机制并为剂量选择提供依据。Camizestrant是一种新型口服SERD,已在晚期乳腺癌的I/II期试验中显示出疗效。

目的:SERENA-3研究旨在探索camizestrant在不同剂量和治疗时长下,对新诊断的、未经治疗的ER阳性、HER2阴性早期乳腺癌绝经后妇女的药效学影响。

2. 研究设计

设计:多阶段、随机、开放标签、平行组的术前研究。

患者:入组了135名计划进行手术的新诊断ER+/HER2-早期乳腺癌绝经后女性。

治疗:患者被随机分配,接受camizestrant 75 mg、150 mg或300 mg每日一次口服,治疗5-7天或12-15天(仅75mg和150mg组),随后进行手术。

主要终点:通过免疫组化分析,比较治疗前后肿瘤样本中雌激素受体(ER)H-score的变化。

3. 核心研究结果

• 对ER表达的影响:所有剂量的camizestrant在治疗5-7天后,均能将ER表达降低约65%,且延长治疗时间(12-15天)未进一步增加降低幅度。这表明ER降解在治疗第一周内即达到最大效应。

• 对肿瘤增殖的影响(Ki67指标):治疗5-7天时,75 mg剂量的抗增殖效果(Ki67降低40.3%)低于150 mg和300 mg(分别降低79.4%和78.2%)。

当治疗时间延长至12-15天时,75 mg剂量达到了与150 mg剂量相似的强大抗增殖效果(Ki67分别降低73.0%和77.5%)。这表明75 mg剂量需要更长时间来达到最大的抗增殖效应。

• 对孕激素受体(PgR)和ER通路活性的影响:PgR表达和ER活性基因特征均出现下降,与ER抑制的结果一致。

• 安全性:治疗耐受性良好,无严重不良事件报告。最常见的不良反应是视觉障碍(如闪光感)、头痛和恶心,绝大多数为1级。在75 mg每日一次剂量组中,90%-100%的患者在所有首选术语中未报告治疗中出现的不良事件。

4. 结论与意义

  1. 1. 剂量选择:研究证实,camizestrant 75 mg 每日一次的剂量足以在早期乳腺癌中实现ER的最大降解和强效的抗增殖作用。结合其优异的安全性,该剂量被确定为后续三期临床试验(如辅助治疗研究CAMBRIA-1和CAMBRIA-2)的推荐剂量。
  2. 2. 药效动力学时间曲线:本研究的一个重要发现是,不同药效学指标达到最大效应的时间不同。ER降解发生较早(5-7天内),而最大抗增殖效应(Ki67降低)需要更长时间(12-15天)才能完全显现。 这对未来窗口期研究的设计具有重要启示。
  3. 3. 研究价值:SERENA-3通过创新的自适应设计,成功展示了窗口期研究如何为一种新内分泌疗法的临床开发提供关键的药效学依据和剂量选择指导。

CAMBRIA-1 & CAMBRIA-2

两项评估新型口服选择性雌激素受体降解剂(SERD)camizestrant 在早期乳腺癌中应用的三期研究。

1. 研究背景与目的

• 临床需求:相当一部分雌激素受体阳性(ER+)/人表皮生长因子受体2阴性(HER2-)的早期乳腺癌患者,在接受标准辅助内分泌治疗(如芳香化酶抑制剂或他莫昔芬)后,仍面临中等到高度的复发风险。癌症复发和死亡的风险在诊断后可能持续数十年,因此亟需更有效的治疗选择。

• 试验药物:Camizestrant是一种新一代口服SERD和完全雌激素受体拮抗剂。前期研究(SERENA系列试验)已证明其在晚期乳腺癌中具有良好耐受性和令人鼓舞的疗效,且75 mg每日一次被确定为最优剂量。

• 研究目的:CAMBRIA-1和CAMBRIA-2试验旨在评估,与标准内分泌治疗相比,camizestrant能否降低ER+/HER2-早期乳腺癌患者的复发风险。

  1. 2. 试验设计概览

两项试验均为三期、随机、开放标签的全球性研究,但针对不同治疗阶段的患者群体:

• CAMBRIA-1

目标人群:已完成局部根治性治疗,并已接受2-5年标准辅助内分泌治疗(可联合或不联合CDK4/6抑制剂)且未出现复发的、中高危ER+/HER2-早期乳腺癌患者。

治疗方案:患者按1:1随机分组,接受为期5年的:

试验组:Camizestrant(75 mg,每日一次)

对照组:继续标准内分泌治疗(研究者选择芳香化酶抑制剂或他莫昔芬)

核心问题:对于已完成部分标准治疗的患者,换用camizestrant进行“延长辅助治疗”是否优于继续原方案。

• CAMBRIA-2

目标人群:已完成局部根治性治疗,未接受或仅接受过短期(≤12周)内分泌治疗的、中高危及高危ER+/HER2-早期乳腺癌患者。

治疗方案:患者按1:1随机分组,接受为期7年的:

试验组:Camizestrant(75 mg,每日一次)± abemaciclib(前2年,根据当地实践)

对照组:标准内分泌治疗(研究者选择)± abemaciclib(前2年,根据当地实践)

核心问题:从一开始就将camizestrant作为“初始辅助治疗”是否优于标准内分泌治疗。

3. 主要特点

  1. 1. 互补的设计:两项试验分别针对“延长辅助”和“初始辅助”两个关键治疗时机,旨在全面评估camizestrant在早期乳腺癌全程管理中的作用。
  2. 2. 统一的剂量:均使用75 mg 每日一次作为camizestrant的剂量,该剂量基于前期药效学和疗效数据确定。
  3. 3. 允许联合治疗:CAMBRIA-2中,根据临床实践,两组患者在前2年均允许联合使用CDK4/6抑制剂abemaciclib,这使得试验设计更贴合现实治疗。
  4. 4. 主要终点:两项试验的主要终点均为无创乳腺癌生存期,其定义遵循STEEP 2.0标准。关键次要终点包括无浸润性疾病生存期、无远处复发生存期和总生存期。

4. 计划规模与状态

• 计划样本量:CAMBRIA-1约4300人,CAMBRIA-2约5500人,总计近万人。

• 全球范围:分别在39个国家的682个中心和43个国家的700个中心进行。

CAMBRIA-1和CAMBRIA-2是两项大规模、全球性的三期临床试验,旨在评估新一代口服SERD camizestrant versus 标准内分泌治疗,用于中高危ER+/HER2-早期乳腺癌辅助治疗的疗效和安全性。它们分别聚焦于“延长辅助”和“初始辅助”治疗场景,其成果有望为早期乳腺癌患者的长期治愈带来新的突破。

《Open-Label Study Assessing Relative and Absolute Bioavailability of Oral Camizestrant Formulations a.pdf》2026年发表在《Clinical and Translational Science.》杂志上,旨在评估新一代口服选择性雌激素受体降解剂(SERD)Camizestrant 在健康绝经后女性中的药代动力学特性,特别是其制剂的生物利用度以及食物效应。

1. 研究背景与目的

• 背景:Camizestrant是一种正在三期临床试验中用于治疗激素受体阳性乳腺癌的新一代口服SERD。在其关键三期研究期间,由于需要加速推进项目和引入创新制造技术,计划变更其片剂的制造工艺和生产场地。

• 目的:本研究旨在评估这些制造工艺变更是否会影响Camizestrant的药代动力学(PK),从而为三期研究中不同片剂配方的桥接提供依据。同时,也评估了高脂饮食对药物暴露量的影响,并测定了其绝对口服生物利用度。

2. 研究设计

• 设计:开放标签、随机、单剂量、交叉研究。

• 受试者:32名健康绝经后女性。

• 治疗方案:受试者被分配至不同队列,在空腹或高脂餐后状态下,单次服用不同制剂和剂量的Camizestrant:

比较用于早期临床研究的一期片剂、为后期开发设计的原型三期片剂以及一种口服溶液在空腹状态下的相对生物利用度(75mg和300mg)。

评估高脂餐对原型三期片剂(75mg和300mg)PK的影响。

通过共同服用放射性标记的[14C] camizestrant静脉微剂量,测定原型三期片剂(75mg和300mg)在空腹状态下的绝对口服生物利用度。

3. 核心研究结果

• 制剂桥接(相对生物利用度):

在75mg和300mg剂量下,一期片剂、原型三期片剂和口服溶液(75mg)的血浆暴露量(Cmax和AUC)均相似。所有几何平均比值的90%置信区间都包含100%。

结论:制造工艺的变更没有影响Camizestrant的血浆暴露量,支持在三期研究中进行片剂配方的变更。

• 食物效应:

与空腹状态相比,高脂餐后服用原型三期片剂,其血浆暴露量仅有轻微且无临床意义的增加(Cmax和AUC的几何平均比值在94.3%到128.7%之间)。

结论:Camizestrant的PK不受进食状态影响,支持患者在服药时无需考虑是否进食,这为患者提供了便利,也便于与其他可能有食物限制的药物联用。

• 绝对口服生物利用度:

Camizestrant在空腹状态下具有中等程度的绝对口服生物利用度,在75mg剂量下为42.5%,在300mg剂量下为55.1%。300mg剂量下生物利用度更高,可能与首过代谢趋于饱和有关。

• 安全性:

所有制剂和剂量的Camizestrant耐受性良好。

大多数不良事件为轻度,最常见的是视觉效应(如闪光感)、潮热和头痛,这与SERENA-1和SERENA-2临床试验中观察到的安全性特征一致。

没有出现导致停药的治疗相关不良事件,也未发现新的安全性问题。

4. 结论与意义

本研究证实,Camizestrant片剂配方的制造变更是可行的,不会影响其生物利用度。同时,该药不存在具有临床意义的食物效应,服用方便。这些药代动力学数据为Camizestrant在三期临床试验(如SERENA-4, SERENA-6, CAMBRIA-1, CAMBRIA-2)中的进一步开发和应用提供了关键依据。

https://clinicaltrials.gov/上Camizestrant的临床研究

NCT编号
研究标题
研究状态
适应症
干预措施
申办方
研究类型
NCT07195227
Camizestrant联合Ribociclib治疗乳腺癌患者的疗效和安全性
尚未招募
激素受体阳性乳腺癌|乳腺癌
药物:Camizestrant|药物:Ribociclib
MedSIR
干预性
NCT07427394
评估Camizestrant联合Atirmociclib在晚期乳腺癌女性患者中的安全性和耐受性研究
尚未招募
晚期乳腺癌
药物:Camizestrant|药物:Atirmociclib
阿斯利康
干预性
NCT05774951
Camizestrant用于ER+/HER2-早期乳腺癌患者在至少2年标准辅助内分泌治疗后的研究
招募中
乳腺癌, 早期乳腺癌
药物:Camizestrant|药物:他莫昔芬|药物:阿那曲唑|药物:来曲唑|药物:依西美坦
阿斯利康
干预性
NCT05952557
Camizestrant(AZD9833)用于ER+/HER2-早期乳腺癌的辅助内分泌治疗研究(CAMBRIA-2)
招募中
乳腺癌, 早期乳腺癌
药物:Camizestrant|药物:他莫昔芬|药物:阿那曲唑|药物:来曲唑|药物:依西美坦|药物:阿贝西利
阿斯利康
干预性
NCT05551897
评估Camizestrant(AZD9833)单独给药及与伊曲康唑联合给药时的药代动力学研究
已完成
健康受试者
药物:Camizestrant|药物:伊曲康唑
阿斯利康
干预性
NCT06380751
Saruparib(AZD5305)联合Camizestrant对比CDK4/6抑制剂联合内分泌治疗或联合Camizestrant用于HR阳性、HER2阴性(IHC 0, 1+, 2+/ISH非扩增)、BRCA1、BRCA2或PALB2突变晚期乳腺癌
招募中
晚期乳腺癌
药物:Saruparib(AZD5305)|药物:Camizestrant|药物:阿贝西利|药物:Ribociclib|药物:Palbociclib|药物:氟维司群|药物:来曲唑|药物:阿那曲唑|药物:依西美坦
阿斯利康
干预性
NCT06547164
研究重复给予Camizestrant(AZD9833)后咪达唑仑的药代动力学及Camizestrant单独给药和与卡马西平联合给药时的药代动力学研究
已完成
健康受试者
药物:咪达唑仑|药物:Camizestrant|药物:卡马西平
阿斯利康
干预性
NCT06188520
评估AZD8421单独或联合用药在特定晚期或转移性实体瘤参与者中的安全性、耐受性的首次人体剂量递增和扩展研究
招募中
ER+ HER2-晚期乳腺癌|高级别浆液性卵巢癌(HGSOC)
药物:AZD8421|药物:Camizestrant|药物:Ribociclib|药物:Palbociclib|药物:阿贝西利
阿斯利康
干预性
NCT04214288
口服AZD9833对比肌注氟维司群在至少18岁绝经后晚期ER阳性HER2阴性乳腺癌女性患者中的疗效和安全性研究
活跃,不招募
晚期ER阳性HER2阴性乳腺癌
药物:AZD9833|药物:氟维司群
阿斯利康
干预性
NCT04644068
AZD5305单药及联合抗癌药物治疗晚期实体恶性肿瘤患者研究
活跃,不招募
卵巢癌|乳腺癌|胰腺癌|前列腺癌|其他适应症见模块4和5|非小细胞肺癌|结直肠癌|膀胱癌|胃癌|胆道癌|宫颈癌|子宫内膜癌|仅模块5的小细胞肺癌
药物:AZD5305|药物:紫杉醇|药物:卡铂|药物:T-DXd|药物:Dato-DXd|药物:Camizestrant
阿斯利康
干预性
NCT04711252
AZD9833联合Palbociclib对比阿那曲唑联合Palbociclib在未接受过晚期疾病系统治疗的ER阳性HER2阴性乳腺癌患者中的比较研究
活跃,不招募
ER阳性HER2阴性乳腺癌
药物:AZD9833|药物:阿那曲唑|药物:阿那曲唑安慰剂|药物:AZD9833安慰剂|药物:Palbociclib|药物:促黄体生成素释放激素(LHRH)激动剂
阿斯利康
干预性
NCT03616587
AZD9833单独或联合用药治疗晚期乳腺癌女性患者研究
活跃,不招募
ER+ HER2-晚期乳腺癌
药物:AZD9833|药物:AZD9833|药物:AZD9833联合Palbociclib|药物:AZD9833联合Palbociclib|药物:AZD9833联合依维莫司|药物:AZD9833联合依维莫司|药物:AZD9833联合阿贝西利|药物:AZD9833联合阿贝西利|药物:AZD9833联合Capivasertib|药物:AZD9833联合Capivasertib|药物:AZD9833联合Ribociclib|药物:AZD9833联合Ribociclib|药物:AZD9833联合阿那曲唑|药物:AZD9833联合阿那曲唑
阿斯利康
干预性
NCT07395336
Elacestrant和依西美坦用于预治疗的HR+/HER2-转移性乳腺癌和[18F]FES阳性病变患者(COMBINE)
尚未招募
乳腺癌
药物:Elacestrant和依西美坦
欧洲肿瘤研究所
干预性
NCT04964934
评估AZD9833+CDK4/6抑制剂在进展前可检测到ESR1突变的HR+/HER2-转移性乳腺癌中的III期研究(SERENA-6)
活跃,不招募
ER阳性HER2阴性乳腺癌
药物:AZD9833|药物:AZD9833安慰剂|药物:阿那曲唑|药物:阿那曲唑安慰剂|药物:来曲唑|药物:来曲唑安慰剂|药物:Palbociclib|药物:阿贝西利|药物:促黄体生成素释放激素(LHRH)激动剂|药物:Ribociclib
阿斯利康
干预性
内容来源:PubMed

No Job too Tough for Britain’s Women

最新文章

随机文章

基本 文件 流程 错误 SQL 调试
  1. 请求信息 : 2026-03-26 22:10:40 HTTP/2.0 GET : https://67808.cn/a/474671.html
  2. 运行时间 : 0.091271s [ 吞吐率:10.96req/s ] 内存消耗:4,746.70kb 文件加载:140
  3. 缓存信息 : 0 reads,0 writes
  4. 会话信息 : SESSION_ID=71e9df2f2eadf98d6d3f1c445fd1d99e
  1. /yingpanguazai/ssd/ssd1/www/no.67808.cn/public/index.php ( 0.79 KB )
  2. /yingpanguazai/ssd/ssd1/www/no.67808.cn/vendor/autoload.php ( 0.17 KB )
  3. /yingpanguazai/ssd/ssd1/www/no.67808.cn/vendor/composer/autoload_real.php ( 2.49 KB )
  4. /yingpanguazai/ssd/ssd1/www/no.67808.cn/vendor/composer/platform_check.php ( 0.90 KB )
  5. /yingpanguazai/ssd/ssd1/www/no.67808.cn/vendor/composer/ClassLoader.php ( 14.03 KB )
  6. /yingpanguazai/ssd/ssd1/www/no.67808.cn/vendor/composer/autoload_static.php ( 4.90 KB )
  7. /yingpanguazai/ssd/ssd1/www/no.67808.cn/vendor/topthink/think-helper/src/helper.php ( 8.34 KB )
  8. /yingpanguazai/ssd/ssd1/www/no.67808.cn/vendor/topthink/think-validate/src/helper.php ( 2.19 KB )
  9. /yingpanguazai/ssd/ssd1/www/no.67808.cn/vendor/topthink/think-orm/src/helper.php ( 1.47 KB )
  10. /yingpanguazai/ssd/ssd1/www/no.67808.cn/vendor/topthink/think-orm/stubs/load_stubs.php ( 0.16 KB )
  11. /yingpanguazai/ssd/ssd1/www/no.67808.cn/vendor/topthink/framework/src/think/Exception.php ( 1.69 KB )
  12. /yingpanguazai/ssd/ssd1/www/no.67808.cn/vendor/topthink/think-container/src/Facade.php ( 2.71 KB )
  13. /yingpanguazai/ssd/ssd1/www/no.67808.cn/vendor/symfony/deprecation-contracts/function.php ( 0.99 KB )
  14. /yingpanguazai/ssd/ssd1/www/no.67808.cn/vendor/symfony/polyfill-mbstring/bootstrap.php ( 8.26 KB )
  15. /yingpanguazai/ssd/ssd1/www/no.67808.cn/vendor/symfony/polyfill-mbstring/bootstrap80.php ( 9.78 KB )
  16. /yingpanguazai/ssd/ssd1/www/no.67808.cn/vendor/symfony/var-dumper/Resources/functions/dump.php ( 1.49 KB )
  17. /yingpanguazai/ssd/ssd1/www/no.67808.cn/vendor/topthink/think-dumper/src/helper.php ( 0.18 KB )
  18. /yingpanguazai/ssd/ssd1/www/no.67808.cn/vendor/symfony/var-dumper/VarDumper.php ( 4.30 KB )
  19. /yingpanguazai/ssd/ssd1/www/no.67808.cn/vendor/topthink/framework/src/think/App.php ( 15.30 KB )
  20. /yingpanguazai/ssd/ssd1/www/no.67808.cn/vendor/topthink/think-container/src/Container.php ( 15.76 KB )
  21. /yingpanguazai/ssd/ssd1/www/no.67808.cn/vendor/psr/container/src/ContainerInterface.php ( 1.02 KB )
  22. /yingpanguazai/ssd/ssd1/www/no.67808.cn/app/provider.php ( 0.19 KB )
  23. /yingpanguazai/ssd/ssd1/www/no.67808.cn/vendor/topthink/framework/src/think/Http.php ( 6.04 KB )
  24. /yingpanguazai/ssd/ssd1/www/no.67808.cn/vendor/topthink/think-helper/src/helper/Str.php ( 7.29 KB )
  25. /yingpanguazai/ssd/ssd1/www/no.67808.cn/vendor/topthink/framework/src/think/Env.php ( 4.68 KB )
  26. /yingpanguazai/ssd/ssd1/www/no.67808.cn/app/common.php ( 0.03 KB )
  27. /yingpanguazai/ssd/ssd1/www/no.67808.cn/vendor/topthink/framework/src/helper.php ( 18.78 KB )
  28. /yingpanguazai/ssd/ssd1/www/no.67808.cn/vendor/topthink/framework/src/think/Config.php ( 5.54 KB )
  29. /yingpanguazai/ssd/ssd1/www/no.67808.cn/config/app.php ( 0.95 KB )
  30. /yingpanguazai/ssd/ssd1/www/no.67808.cn/config/cache.php ( 0.78 KB )
  31. /yingpanguazai/ssd/ssd1/www/no.67808.cn/config/console.php ( 0.23 KB )
  32. /yingpanguazai/ssd/ssd1/www/no.67808.cn/config/cookie.php ( 0.56 KB )
  33. /yingpanguazai/ssd/ssd1/www/no.67808.cn/config/database.php ( 2.48 KB )
  34. /yingpanguazai/ssd/ssd1/www/no.67808.cn/vendor/topthink/framework/src/think/facade/Env.php ( 1.67 KB )
  35. /yingpanguazai/ssd/ssd1/www/no.67808.cn/config/filesystem.php ( 0.61 KB )
  36. /yingpanguazai/ssd/ssd1/www/no.67808.cn/config/lang.php ( 0.91 KB )
  37. /yingpanguazai/ssd/ssd1/www/no.67808.cn/config/log.php ( 1.35 KB )
  38. /yingpanguazai/ssd/ssd1/www/no.67808.cn/config/middleware.php ( 0.19 KB )
  39. /yingpanguazai/ssd/ssd1/www/no.67808.cn/config/route.php ( 1.89 KB )
  40. /yingpanguazai/ssd/ssd1/www/no.67808.cn/config/session.php ( 0.57 KB )
  41. /yingpanguazai/ssd/ssd1/www/no.67808.cn/config/trace.php ( 0.34 KB )
  42. /yingpanguazai/ssd/ssd1/www/no.67808.cn/config/view.php ( 0.82 KB )
  43. /yingpanguazai/ssd/ssd1/www/no.67808.cn/app/event.php ( 0.25 KB )
  44. /yingpanguazai/ssd/ssd1/www/no.67808.cn/vendor/topthink/framework/src/think/Event.php ( 7.67 KB )
  45. /yingpanguazai/ssd/ssd1/www/no.67808.cn/app/service.php ( 0.13 KB )
  46. /yingpanguazai/ssd/ssd1/www/no.67808.cn/app/AppService.php ( 0.26 KB )
  47. /yingpanguazai/ssd/ssd1/www/no.67808.cn/vendor/topthink/framework/src/think/Service.php ( 1.64 KB )
  48. /yingpanguazai/ssd/ssd1/www/no.67808.cn/vendor/topthink/framework/src/think/Lang.php ( 7.35 KB )
  49. /yingpanguazai/ssd/ssd1/www/no.67808.cn/vendor/topthink/framework/src/lang/zh-cn.php ( 13.70 KB )
  50. /yingpanguazai/ssd/ssd1/www/no.67808.cn/vendor/topthink/framework/src/think/initializer/Error.php ( 3.31 KB )
  51. /yingpanguazai/ssd/ssd1/www/no.67808.cn/vendor/topthink/framework/src/think/initializer/RegisterService.php ( 1.33 KB )
  52. /yingpanguazai/ssd/ssd1/www/no.67808.cn/vendor/services.php ( 0.14 KB )
  53. /yingpanguazai/ssd/ssd1/www/no.67808.cn/vendor/topthink/framework/src/think/service/PaginatorService.php ( 1.52 KB )
  54. /yingpanguazai/ssd/ssd1/www/no.67808.cn/vendor/topthink/framework/src/think/service/ValidateService.php ( 0.99 KB )
  55. /yingpanguazai/ssd/ssd1/www/no.67808.cn/vendor/topthink/framework/src/think/service/ModelService.php ( 2.04 KB )
  56. /yingpanguazai/ssd/ssd1/www/no.67808.cn/vendor/topthink/think-trace/src/Service.php ( 0.77 KB )
  57. /yingpanguazai/ssd/ssd1/www/no.67808.cn/vendor/topthink/framework/src/think/Middleware.php ( 6.72 KB )
  58. /yingpanguazai/ssd/ssd1/www/no.67808.cn/vendor/topthink/framework/src/think/initializer/BootService.php ( 0.77 KB )
  59. /yingpanguazai/ssd/ssd1/www/no.67808.cn/vendor/topthink/think-orm/src/Paginator.php ( 11.86 KB )
  60. /yingpanguazai/ssd/ssd1/www/no.67808.cn/vendor/topthink/think-validate/src/Validate.php ( 63.20 KB )
  61. /yingpanguazai/ssd/ssd1/www/no.67808.cn/vendor/topthink/think-orm/src/Model.php ( 23.55 KB )
  62. /yingpanguazai/ssd/ssd1/www/no.67808.cn/vendor/topthink/think-orm/src/model/concern/Attribute.php ( 21.05 KB )
  63. /yingpanguazai/ssd/ssd1/www/no.67808.cn/vendor/topthink/think-orm/src/model/concern/AutoWriteData.php ( 4.21 KB )
  64. /yingpanguazai/ssd/ssd1/www/no.67808.cn/vendor/topthink/think-orm/src/model/concern/Conversion.php ( 6.44 KB )
  65. /yingpanguazai/ssd/ssd1/www/no.67808.cn/vendor/topthink/think-orm/src/model/concern/DbConnect.php ( 5.16 KB )
  66. /yingpanguazai/ssd/ssd1/www/no.67808.cn/vendor/topthink/think-orm/src/model/concern/ModelEvent.php ( 2.33 KB )
  67. /yingpanguazai/ssd/ssd1/www/no.67808.cn/vendor/topthink/think-orm/src/model/concern/RelationShip.php ( 28.29 KB )
  68. /yingpanguazai/ssd/ssd1/www/no.67808.cn/vendor/topthink/think-helper/src/contract/Arrayable.php ( 0.09 KB )
  69. /yingpanguazai/ssd/ssd1/www/no.67808.cn/vendor/topthink/think-helper/src/contract/Jsonable.php ( 0.13 KB )
  70. /yingpanguazai/ssd/ssd1/www/no.67808.cn/vendor/topthink/think-orm/src/model/contract/Modelable.php ( 0.09 KB )
  71. /yingpanguazai/ssd/ssd1/www/no.67808.cn/vendor/topthink/framework/src/think/Db.php ( 2.88 KB )
  72. /yingpanguazai/ssd/ssd1/www/no.67808.cn/vendor/topthink/think-orm/src/DbManager.php ( 8.52 KB )
  73. /yingpanguazai/ssd/ssd1/www/no.67808.cn/vendor/topthink/framework/src/think/Log.php ( 6.28 KB )
  74. /yingpanguazai/ssd/ssd1/www/no.67808.cn/vendor/topthink/framework/src/think/Manager.php ( 3.92 KB )
  75. /yingpanguazai/ssd/ssd1/www/no.67808.cn/vendor/psr/log/src/LoggerTrait.php ( 2.69 KB )
  76. /yingpanguazai/ssd/ssd1/www/no.67808.cn/vendor/psr/log/src/LoggerInterface.php ( 2.71 KB )
  77. /yingpanguazai/ssd/ssd1/www/no.67808.cn/vendor/topthink/framework/src/think/Cache.php ( 4.92 KB )
  78. /yingpanguazai/ssd/ssd1/www/no.67808.cn/vendor/psr/simple-cache/src/CacheInterface.php ( 4.71 KB )
  79. /yingpanguazai/ssd/ssd1/www/no.67808.cn/vendor/topthink/think-helper/src/helper/Arr.php ( 16.63 KB )
  80. /yingpanguazai/ssd/ssd1/www/no.67808.cn/vendor/topthink/framework/src/think/cache/driver/File.php ( 7.84 KB )
  81. /yingpanguazai/ssd/ssd1/www/no.67808.cn/vendor/topthink/framework/src/think/cache/Driver.php ( 9.03 KB )
  82. /yingpanguazai/ssd/ssd1/www/no.67808.cn/vendor/topthink/framework/src/think/contract/CacheHandlerInterface.php ( 1.99 KB )
  83. /yingpanguazai/ssd/ssd1/www/no.67808.cn/app/Request.php ( 0.09 KB )
  84. /yingpanguazai/ssd/ssd1/www/no.67808.cn/vendor/topthink/framework/src/think/Request.php ( 55.78 KB )
  85. /yingpanguazai/ssd/ssd1/www/no.67808.cn/app/middleware.php ( 0.25 KB )
  86. /yingpanguazai/ssd/ssd1/www/no.67808.cn/vendor/topthink/framework/src/think/Pipeline.php ( 2.61 KB )
  87. /yingpanguazai/ssd/ssd1/www/no.67808.cn/vendor/topthink/think-trace/src/TraceDebug.php ( 3.40 KB )
  88. /yingpanguazai/ssd/ssd1/www/no.67808.cn/vendor/topthink/framework/src/think/middleware/SessionInit.php ( 1.94 KB )
  89. /yingpanguazai/ssd/ssd1/www/no.67808.cn/vendor/topthink/framework/src/think/Session.php ( 1.80 KB )
  90. /yingpanguazai/ssd/ssd1/www/no.67808.cn/vendor/topthink/framework/src/think/session/driver/File.php ( 6.27 KB )
  91. /yingpanguazai/ssd/ssd1/www/no.67808.cn/vendor/topthink/framework/src/think/contract/SessionHandlerInterface.php ( 0.87 KB )
  92. /yingpanguazai/ssd/ssd1/www/no.67808.cn/vendor/topthink/framework/src/think/session/Store.php ( 7.12 KB )
  93. /yingpanguazai/ssd/ssd1/www/no.67808.cn/vendor/topthink/framework/src/think/Route.php ( 23.73 KB )
  94. /yingpanguazai/ssd/ssd1/www/no.67808.cn/vendor/topthink/framework/src/think/route/RuleName.php ( 5.75 KB )
  95. /yingpanguazai/ssd/ssd1/www/no.67808.cn/vendor/topthink/framework/src/think/route/Domain.php ( 2.53 KB )
  96. /yingpanguazai/ssd/ssd1/www/no.67808.cn/vendor/topthink/framework/src/think/route/RuleGroup.php ( 22.43 KB )
  97. /yingpanguazai/ssd/ssd1/www/no.67808.cn/vendor/topthink/framework/src/think/route/Rule.php ( 26.95 KB )
  98. /yingpanguazai/ssd/ssd1/www/no.67808.cn/vendor/topthink/framework/src/think/route/RuleItem.php ( 9.78 KB )
  99. /yingpanguazai/ssd/ssd1/www/no.67808.cn/route/app.php ( 1.72 KB )
  100. /yingpanguazai/ssd/ssd1/www/no.67808.cn/vendor/topthink/framework/src/think/facade/Route.php ( 4.70 KB )
  101. /yingpanguazai/ssd/ssd1/www/no.67808.cn/vendor/topthink/framework/src/think/route/dispatch/Controller.php ( 4.74 KB )
  102. /yingpanguazai/ssd/ssd1/www/no.67808.cn/vendor/topthink/framework/src/think/route/Dispatch.php ( 10.44 KB )
  103. /yingpanguazai/ssd/ssd1/www/no.67808.cn/app/controller/Index.php ( 4.81 KB )
  104. /yingpanguazai/ssd/ssd1/www/no.67808.cn/app/BaseController.php ( 2.05 KB )
  105. /yingpanguazai/ssd/ssd1/www/no.67808.cn/vendor/topthink/think-orm/src/facade/Db.php ( 0.93 KB )
  106. /yingpanguazai/ssd/ssd1/www/no.67808.cn/vendor/topthink/think-orm/src/db/connector/Mysql.php ( 5.44 KB )
  107. /yingpanguazai/ssd/ssd1/www/no.67808.cn/vendor/topthink/think-orm/src/db/PDOConnection.php ( 52.47 KB )
  108. /yingpanguazai/ssd/ssd1/www/no.67808.cn/vendor/topthink/think-orm/src/db/Connection.php ( 8.39 KB )
  109. /yingpanguazai/ssd/ssd1/www/no.67808.cn/vendor/topthink/think-orm/src/db/ConnectionInterface.php ( 4.57 KB )
  110. /yingpanguazai/ssd/ssd1/www/no.67808.cn/vendor/topthink/think-orm/src/db/builder/Mysql.php ( 16.58 KB )
  111. /yingpanguazai/ssd/ssd1/www/no.67808.cn/vendor/topthink/think-orm/src/db/Builder.php ( 24.06 KB )
  112. /yingpanguazai/ssd/ssd1/www/no.67808.cn/vendor/topthink/think-orm/src/db/BaseBuilder.php ( 27.50 KB )
  113. /yingpanguazai/ssd/ssd1/www/no.67808.cn/vendor/topthink/think-orm/src/db/Query.php ( 15.71 KB )
  114. /yingpanguazai/ssd/ssd1/www/no.67808.cn/vendor/topthink/think-orm/src/db/BaseQuery.php ( 45.13 KB )
  115. /yingpanguazai/ssd/ssd1/www/no.67808.cn/vendor/topthink/think-orm/src/db/concern/TimeFieldQuery.php ( 7.43 KB )
  116. /yingpanguazai/ssd/ssd1/www/no.67808.cn/vendor/topthink/think-orm/src/db/concern/AggregateQuery.php ( 3.26 KB )
  117. /yingpanguazai/ssd/ssd1/www/no.67808.cn/vendor/topthink/think-orm/src/db/concern/ModelRelationQuery.php ( 20.07 KB )
  118. /yingpanguazai/ssd/ssd1/www/no.67808.cn/vendor/topthink/think-orm/src/db/concern/ParamsBind.php ( 3.66 KB )
  119. /yingpanguazai/ssd/ssd1/www/no.67808.cn/vendor/topthink/think-orm/src/db/concern/ResultOperation.php ( 7.01 KB )
  120. /yingpanguazai/ssd/ssd1/www/no.67808.cn/vendor/topthink/think-orm/src/db/concern/WhereQuery.php ( 19.37 KB )
  121. /yingpanguazai/ssd/ssd1/www/no.67808.cn/vendor/topthink/think-orm/src/db/concern/JoinAndViewQuery.php ( 7.11 KB )
  122. /yingpanguazai/ssd/ssd1/www/no.67808.cn/vendor/topthink/think-orm/src/db/concern/TableFieldInfo.php ( 2.63 KB )
  123. /yingpanguazai/ssd/ssd1/www/no.67808.cn/vendor/topthink/think-orm/src/db/concern/Transaction.php ( 2.77 KB )
  124. /yingpanguazai/ssd/ssd1/www/no.67808.cn/vendor/topthink/framework/src/think/log/driver/File.php ( 5.96 KB )
  125. /yingpanguazai/ssd/ssd1/www/no.67808.cn/vendor/topthink/framework/src/think/contract/LogHandlerInterface.php ( 0.86 KB )
  126. /yingpanguazai/ssd/ssd1/www/no.67808.cn/vendor/topthink/framework/src/think/log/Channel.php ( 3.89 KB )
  127. /yingpanguazai/ssd/ssd1/www/no.67808.cn/vendor/topthink/framework/src/think/event/LogRecord.php ( 1.02 KB )
  128. /yingpanguazai/ssd/ssd1/www/no.67808.cn/vendor/topthink/think-helper/src/Collection.php ( 16.47 KB )
  129. /yingpanguazai/ssd/ssd1/www/no.67808.cn/vendor/topthink/framework/src/think/facade/View.php ( 1.70 KB )
  130. /yingpanguazai/ssd/ssd1/www/no.67808.cn/vendor/topthink/framework/src/think/View.php ( 4.39 KB )
  131. /yingpanguazai/ssd/ssd1/www/no.67808.cn/vendor/topthink/framework/src/think/Response.php ( 8.81 KB )
  132. /yingpanguazai/ssd/ssd1/www/no.67808.cn/vendor/topthink/framework/src/think/response/View.php ( 3.29 KB )
  133. /yingpanguazai/ssd/ssd1/www/no.67808.cn/vendor/topthink/framework/src/think/Cookie.php ( 6.06 KB )
  134. /yingpanguazai/ssd/ssd1/www/no.67808.cn/vendor/topthink/think-view/src/Think.php ( 8.38 KB )
  135. /yingpanguazai/ssd/ssd1/www/no.67808.cn/vendor/topthink/framework/src/think/contract/TemplateHandlerInterface.php ( 1.60 KB )
  136. /yingpanguazai/ssd/ssd1/www/no.67808.cn/vendor/topthink/think-template/src/Template.php ( 46.61 KB )
  137. /yingpanguazai/ssd/ssd1/www/no.67808.cn/vendor/topthink/think-template/src/template/driver/File.php ( 2.41 KB )
  138. /yingpanguazai/ssd/ssd1/www/no.67808.cn/vendor/topthink/think-template/src/template/contract/DriverInterface.php ( 0.86 KB )
  139. /yingpanguazai/ssd/ssd1/www/no.67808.cn/runtime/temp/6df755f970a38e704c5414acbc6e8bcd.php ( 12.06 KB )
  140. /yingpanguazai/ssd/ssd1/www/no.67808.cn/vendor/topthink/think-trace/src/Html.php ( 4.42 KB )
  1. CONNECT:[ UseTime:0.000374s ] mysql:host=127.0.0.1;port=3306;dbname=no_67808;charset=utf8mb4
  2. SHOW FULL COLUMNS FROM `fenlei` [ RunTime:0.000739s ]
  3. SELECT * FROM `fenlei` WHERE `fid` = 0 [ RunTime:0.000291s ]
  4. SELECT * FROM `fenlei` WHERE `fid` = 63 [ RunTime:0.000254s ]
  5. SHOW FULL COLUMNS FROM `set` [ RunTime:0.000535s ]
  6. SELECT * FROM `set` [ RunTime:0.000202s ]
  7. SHOW FULL COLUMNS FROM `article` [ RunTime:0.000547s ]
  8. SELECT * FROM `article` WHERE `id` = 474671 LIMIT 1 [ RunTime:0.001730s ]
  9. UPDATE `article` SET `lasttime` = 1774534240 WHERE `id` = 474671 [ RunTime:0.008571s ]
  10. SELECT * FROM `fenlei` WHERE `id` = 65 LIMIT 1 [ RunTime:0.005046s ]
  11. SELECT * FROM `article` WHERE `id` < 474671 ORDER BY `id` DESC LIMIT 1 [ RunTime:0.001372s ]
  12. SELECT * FROM `article` WHERE `id` > 474671 ORDER BY `id` ASC LIMIT 1 [ RunTime:0.000523s ]
  13. SELECT * FROM `article` WHERE `id` < 474671 ORDER BY `id` DESC LIMIT 10 [ RunTime:0.001704s ]
  14. SELECT * FROM `article` WHERE `id` < 474671 ORDER BY `id` DESC LIMIT 10,10 [ RunTime:0.001037s ]
  15. SELECT * FROM `article` WHERE `id` < 474671 ORDER BY `id` DESC LIMIT 20,10 [ RunTime:0.003647s ]
0.092705s