

章末测评验2 波的描述
[学习目标] 1.理解波的图像的物理意义,能用描点法作横波的图像,能从图像中读取各物理量信息(重点)。2.掌握波长、频率和波速的关系,知道三者的决定因素(重点)。3.会根据波的图像判定波的传播方向和质点的振动方向(重难点)。
一、波的图像
1.波的图像的画法
(1)建立坐标系,描点
用横坐标x表示在波的传播方向上各质点的平衡位置,纵坐标y表示某一时刻各质点偏离平衡位置的位移。得到一系列坐标为(x1,y1),(x2,y2),(x3,y3),…的点。
(2)连线
用一条平滑的曲线把各点连接起来就是这一时刻波的图像,有时也称波形图。
2.简谐波(正弦波)
(1)如果波的图像是正弦曲线,这样的波叫作正弦波,也叫简谐波。
(2)简谐波中各质点的振动是简谐运动,各质点振动的振幅均相同。
3.波形图与振动图像
(1)简谐波的波形图与质点的振动图像都是正弦曲线。
(2)波形图表示介质中的“各个质点”在“某一时刻”的位移。
(3)振动图像表示介质中“某一质点”在“各个时刻”的位移。

如图所示,观察图像思考:

(1)图中M、P、Q三个点坐标的意义分别是什么?
(2)P点的振幅是多少?
答案 (1)图中M、P、Q三个点的坐标分别表示x=1 m,x=2 m,x=4 m处三个质点此时的位移为10 cm,0,0
(2)P点的振幅为10 cm
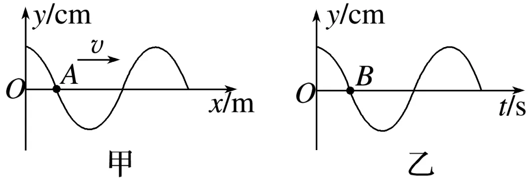
(多选)根据图甲、乙所示,判断下列说法正确的是( )

A.甲是振动图像,乙是波的图像
B.甲是波的图像,乙是振动图像
C.甲中A质点向下振动,乙中B时刻质点向下振动
D.甲中A质点向上振动,乙中B时刻质点向下振动
答案 BD
解析 波的图像的横坐标表示波的传播方向上各质点的平衡位置,振动图像的横坐标为时间,故A错,B对;题图甲中A质点被其左侧的质点带动向上振动,题图乙中B时刻后质点的位移由零变为负值,故向下振动,故C错,D对。
二、波长、频率和波速
1.波长λ
(1)定义:在波的传播方向上,振动相位总是相同的两个相邻质点间的距离。
(2)特征
①在横波中,两个相邻波峰或两个相邻波谷之间的距离等于波长。
②在纵波中,两个相邻密部或两个相邻疏部之间的距离等于波长。
2.周期T、频率f
(1)周期(频率):在波动中,各个质点的振动周期(或频率)叫作波的周期(或频率)。
(2)周期T和频率f的关系:f=1T。
(3)决定因素:由波源决定。
(4)波长与周期的关系:经过一个周期T,振动在介质中传播的距离等于一个波长λ。
3.波速
(1)定义:机械波在介质中的传播速度。
(2)决定因素:由介质本身的性质决定,在不同的介质中,波速是不同(选填“相同”或“不同”)的。
(3)波长、周期、频率和波速的关系:v=λT=λf。

声波由空气传入水中,波的频率和波长怎样变化?
答案 波在不同介质中传播时,其频率总与波源振动频率相同,故频率保持不变,因v=fλ,λ=vf,v变大,则λ变大。
(2023·深圳市高二期末)一列简谐横波在某时刻的波形图如图所示,已知图中质点b的起振时刻比质点a延迟了0.5 s,b和c之间的距离是5 m,以下说法正确的是( )

A.此列波的波长为2.5 m
B.此列波的频率为2 Hz
C.此列波的波速为2.5 m/s
D.此列波的传播方向为沿x轴正方向传播
答案 D
解析 由题图可知,b和c之间的距离等于波长,则λ=5 m,故A错误;由于质点b的起振时刻比质点a延迟了0.5 s,则波沿x轴正方向传播,而a、b之间的距离等于半个波长,所以振动周期是T=1 s,频率f=1 Hz,故B错误,D正确;波速为v=λf=5 m/s,故C错误。
(2023·徐州市高二期中)如图所示,海洋生态自动监测浮标,可用于监测水质和气象等参数。一列水波(视为横波)沿海面传播,在波的传播方向上相距4.5 m的两处分别有A、B两浮标,两浮标随波上下运动,每分钟上下浮动20次。当A运动到波峰时,浮标B恰好运动到波谷,求:

(1)这列水波的传播周期是多少;
(2)若此时A、B之间还有一个波峰,这列水波的传播速度是多少。
答案 (1)3 s (2)1 m/s
解析 (1)由题意知,浮标每分钟上下浮动20次,则可求其每秒振动n=2060=13次,故可得波的频率为f=13 Hz,这列水波的传播周期是T=1f=3 s。
(2)如图所示,据题意可知,A、B两浮标之间的距离为1.5个波长,且1.5λ=4.5 m,解得λ=3 m,这列水波的传播速度是v=λf=3×13 m/s=1 m/s。

三、质点振动方向和波传播方向的关系
1.带动法:后面质点依次重复前面质点的振动。
2.同侧法:在水平传播的波的图像上的某一点,沿竖直方向画出一个箭头表示质点振动方向,并设想在同一点沿水平方向画一个箭头表示波的传播方向,那么这两个箭头总是在曲线的同侧,如图所示

3.上下坡法:如图所示,沿波的传播方向,“上坡”的质点向下振动,如D、E、F;“下坡”的质点向上振动,如A、B、C。

4.微平移法:如图所示,实线为t时刻的波形图,作出微小时间Δt(Δt<T4)后的波形如虚线所示,由图可知t时刻的质点P1(P2)经Δt后运动到P1′(P2′)处,这样就可以判断质点的运动方向了。

简谐横波某时刻的波形如图所示,P为介质中的一个质点,波沿x轴的正方向传播。

(1)此时刻,质点P的速度方向和加速度方向各是怎样的?
(2)画出此时刻经过T4时的波形图,并判断T4时质点P的速度方向和加速度方向又是怎样的?
(3)此时刻经过T4的时间内,质点P通过的路程为A0,你认为这种说法对吗?
答案 见解析
解析 (1)波沿x轴的正方向传播,由同侧法可知,此时P点的速度方向向上,P点位移沿y轴正方向,则加速度方向向下。
(2)T4时的图像如图虚线所示,由同侧法可知,此时P点速度方向向下,加速度方向向下。

(3)在T4时间内,质点P向最大位移处运动后返回,平均速度相比平衡位置附近小,通过的路程小于一个振幅A0,故这种说法错误。
课时对点练

1~7题每题7分,共49分
考点一 波的图像
1.(多选)关于波的图像,下列说法正确的是( )
A.波的图像反映的是介质中某一质点在某一时刻的位移
B.若已知某一质点在某时刻的振动方向,则可以由波的图像判断出波的传播方向
C.从波的图像中能读出质点的振幅和周期
D.在不同时刻波的图像有可能完全相同
答案 BD
解析 波的图像表示某一时刻介质中各质点的位移,A错误;波动是振动的传播,质点的振动方向和波的传播方向可以进行互判,B正确;从波的图像中可以读出振幅和波长,但是不能读出周期,C错误;波的图像随时间一直在变化,连续波每隔一个周期波形完全相同,D正确。
2.(2023·宿迁市期中)如图所示是某向右传播的简谐横波在t=0时刻的图像,由该图像可知( )

A.振幅是6 cm
B.波长是8 m
C.周期是8 s
D.此时质点A向下振动
答案 B
解析 振幅是3 cm,A错误;波长是8 m,B正确;波的传播速度v未知,则不能求解周期,C错误;根据“同侧法”可知,此时质点A向上振动,D错误。
3.如图所示是一列简谐横波在某时刻的波形图。已知波沿着x轴的正方向传播,关于波上的三个质点K、L、M,下列说法正确的是( )

A.此时质点K和M的运动方向相同
B.此时质点K和M的回复力方向相同
C.此时质点L的速收卷(二)
(时间:75分钟 满分:100分)
一、单项选择题(本题共7小题,每小题4分,共28分。在每小题给出的四个选项中,只有一项是符合题目要求的。)
1.关于做简谐运动物体的位移、速度、加速度的关系,下列说法中正确的是( )
A.位移减小时,速度增大,加速度也增大
B.位移方向总跟加速度方向相反,但跟速度方向相同
C.物体远离平衡位置运动时,速度方向跟位移方向相同
D.物体通过平衡位置时,回复力为零,故处于平衡状态
答案 C
解析 位移减小时,速度增大,加速度减小,故A错误;位移方向总跟加速度方向相反;当物体远离平衡位置时,位移方向与速度方向相同,当物体靠近平衡位置时,位移方向与速度方向相反,故B错误,C正确;物体通过平衡位置时,回复力为零,但合外力不一定为零,所以不一定处于平衡状态,故D错误。
2.一个弹簧振子在M、N之间做简谐运动。O为平衡位置,P、Q是振动过程中关于O对称的两个位置,下列说法正确的是( )

A.振子在从M点向N点运动的过程中,动能先减小后增大
B.振子在O、P间与O、Q间的运动时间相等
C.振子运动到P、Q两点时,位移相同
D.振子在从M点向N点运动的过程中,加速度先增大后减小
答案 B
解析 振子在从M点向N点运动的过程中,动能先增大后减小,A错误;由对称性可知,振子在O、P间与O、Q间的运动时间相等,B正确;由对称性可知,振子运动到P、Q两点时,位移等大反向,C错误;振子在从M点向N点运动的过程中,加速度先减小后增大,D错误。
3.做简谐运动的单摆,其摆长不变,若摆球的质量增加为原来的94倍,摆球经过平衡位置的速度减小为原来的23,则单摆振动的( )
A.周期不变,振幅不变 B.周期不变,振幅变小
C.周期改变,振幅不变 D.周期改变,振幅变大
答案 B
解析 由单摆的周期公式T=2πlg)可知,单摆摆长不变,则周期不变;摆球经过平衡位置的速度减小而摆动周期不变,则一个周期内通过的路程变小,即振幅变小,故B正确。
4.如图所示,光滑直杆上弹簧连接的小球以O点为平衡位置,在A、B两点之间做简谐运动。以O点为原点,选择由O指向B为正方向,建立Ox坐标轴。小球经过B点时开始计时,经过0.5 s首次到达A点。则小球在第一个周期内的振动图像为 ( )


答案 A
解析 小球经过B点时开始计时,即t=0时小球的位移为正向最大,经过0.5 s首次到达A点,位移为负向最大,且周期为T=1 s。故A项图像正确。
5.一竖直悬挂的弹簧振子,下端装有一记录笔,在竖直面内放置有一记录纸,当振子上下振动时,以速率v水平向左匀速拉动记录纸,记录笔在纸上留下如图所示的图像。记录笔与记录纸之间的摩擦和空气阻力都可忽略不计。y1、y2、x0、2x0为纸上印迹的已知位置坐标,则以下说法正确的是( )

A.振子平衡位置的纵坐标是y=y1-y22
B.该弹簧振子的振动周期为x0v
C.振子在坐标\rc\)(\a\vs4\al\co1(x0,y2)位置时加速度最大
D.匀速拉动纸带的速率增大为原来的2倍,振子振动的周期变为原来的12
答案 C
解析 根据简谐振动对称性可知,平衡位置纵坐标为y=y1+y22,故A错误;由图像可知,振子在一个周期内沿x轴负方向的位移大小为2x0,水平速度大小为v,则振子的周期T=2x0v,故B错误;由图可知,振子在坐标\rc\)(\a\vs4\al\co1(x0,y2)位置时处于最大位移处,则回复力最大,由牛顿第二定律知加速度最大,故C正确;弹簧振子的周期只与弹簧振子本身有关,匀速拉动纸带的速率增大为原来的2倍,则一个周期内纸带沿x轴负方向运动的位移增大为原来的2倍,弹簧振子的周期不变,故D错误。
6.甲、乙两个单摆的振动图像如图所示,根据振动图像可以断定( )

A.甲、乙两单摆振动的周期之比是3∶2
B.甲、乙两单摆振动的频率之比是2∶3
C.若甲、乙两单摆在同一地点摆动,则甲、乙两单摆摆长之比是9∶4
D.若甲、乙两单摆摆长相同,在不同地点摆动,则甲、乙两单摆所在地的重力加速度之比为9∶4
答案 D
解析 根据图像可知,甲和乙的周期之比为T甲∶T乙=2∶3,故A错误;因为f=1T,所以甲、乙的频率之比为f甲∶f乙=3∶2,故B错误;根据单摆的周期公式可知T=2πlg),同一地点,重力加速度相同,则甲、乙的摆长之比和周期的平方成正比,即为4∶9,故C错误;摆长相同,重力加速度和周期的平方成反比,即甲、乙两单摆所在地的重力加速度之比为9∶4,故D正确。
7.如图甲所示,金属小球用轻弹簧连接在固定的光滑斜面顶端。小球在斜面上做简谐运动,到达最高点时,弹簧处于原长。取沿斜面向上为正方向,小球的振动图像如图乙所示。则( )

A.弹簧的最大伸长量为4 m
B.t=0.2 s时,弹簧的弹性势能最大
C.t=0.2 s到t=0.6 s内,小球的重力势能逐渐减小
D.t=0到t=0.4 s内,回复力的冲量为零
答案 C
解析 小球的振幅等于振子位移的最大值,由图乙读出,振幅为A=2 cm,由于当振子到达最高点时,弹簧处于原长,所以弹簧的最大伸长量为2A=4 cm,A错误;t=0.2 s时,弹簧处于原长,弹簧的弹性势能最小,为零,B错误;t=0.2 s到t=0.6 s内,小球由最高点向最低点运动,小球的重力势能逐渐减小,C正确;t=0时小球经过平衡位置沿斜面向上运动,t=0.4 s时小球经过平衡位置沿斜面向下运动,回复力方向都为斜向下,根据动量定理可知回复力的冲量不为零,D错误。
二、多项选择题(本题共3小题,每小题6分,共18分。在每小题给出的四个选项中,有多项符合题目要求。全部选对的得6分,选对但不全的得3分,有选错的得0分。)
8.弹簧振子做简谐运动,若从平衡位置O开始计时,经过4 s振子第一次经过P点,又经过了1 s,振子第二次经过P点,则该简谐运动的周期为( )
A.5 s B.6 s
C.14 s D.18 s
答案 BD
解析 如图,假设弹簧振子在水平方向B、C之间振动,

若振子计时开始先向右振动,振子的振动周期为T=4×(4+12) s=18 s
若振子计时开始先向左振动,设振子的振动周期为T′,则T′2+(T′4-12)=4 s
解得T′=6 s,故B、D正确。
9.(2023·湘鄂冀三省七校联考)如图所示为一单摆做简谐运动时的速度随时间变化的图像,不考虑空气阻力的影响,下列说法正确的是( )

A.此单摆的摆长约为1 m
B.t=1 s时单摆的回复力为零
C.若减小释放单摆时的摆角,单摆的周期变小
D.将此单摆从赤道移至北极,单摆的周期变小
答案 AD
解析 此单摆的周期为T=2 s,则根据T=2πlg),可得摆长l=gT24π2=9.8×224×3.142 m≈1 m,选项A正确;t=1 s时单摆的速度为零,此时单摆的回复力最大,选项B错误;单摆的周期与摆角无关,选项C错误;将此单摆从赤道移至北极,则重力加速度变大,根据T=2πlg),单摆的周期变小,选项D正确。
10.将一个力传感器接到计算机上,就可以测量快速变化的力,用这种方法测得的某单摆振动时悬线上拉力的大小随时间变化的曲线如图所示。某同学由此图像提供的信息作出下列判断,其中正确的是( )


通过网盘分享的文件:【淘宝店:品优教学】赠送等3个文件
链接: https://pan.baidu.com/s/1W_-FY-AxO_3dspNZY2P-vQ?pwd=4321 提取码: 4321
--来自百度网盘超级会员v8的分享