公众号对话框回复“资料分析思维导图”可获取清晰版PDF思维导图和svg矢量图。

资料分析学习笔记
一、整体作答思路:
1、圈时间→防止掉坑
2、圈主体“萝卜”→找数据
3、圈考点→列式计算
二、材料阅读与数据查找:
1、文字材料:时间、每段首句
2、表格材料:标题、横标目、纵标目、单位
3、图形材料:
①条形图折线图等非饼图:标题、横轴、纵轴、图例、单位
②饼图:标题、单位、类别名称(12点顺时针方向依次对应)
三、基本概念公式

1、增长率(增速、增长速度、增幅、增长幅度)
增长率=增长量÷基期量=(现期量-基期量)÷基期量
2、现期量、基期量
现期量=基期量×(1+增长率)
基期量=现期量÷(1+增长率)
3、增长量
增长量=现期量-基期量=现期量-现期量/(1+增长率)=现期量/(1+增长率)×增长率

4、比重:部分占整体的比例
比重=部分÷整体
5、倍数、比值
倍数:A是/为B的多少倍;A÷B
比值:A与B的比值;A:B即A÷B
6、平均数
“平均”、“每”、“单位”
“后”÷“前”(本质:多少÷每)
7、同比、环比(易错!)
同比:与上年同期相比。如2025年1月与2024年1月,2025年第一季度与2024年第一季度等。
环比:与上个统计周期相比,“月”就和上个“月”比,“季度”就和上个“季度”比。如2025年1月与2024年12月,2025年第一季度与2024年第四季度等。
8、百分数、百分点(易错!)
百分数:结尾为%的数值,如45%、56.3%。
百分点:百分数加减运算的单位,单位为“个百分点”。见到百分点加减法反向计算。
9、成数、翻番
成数:一成相当于10%。
翻番:翻一番为原来的2倍,翻两番为原来的4倍,翻三番为原来的8倍……翻n番位原来的2n倍。
10、贸易顺差、贸易逆差
出口额大于进口额,顺差;反之,逆差。
11、五年规划
十一五规划:2006-2010年
十二五规划:2011-2015年
十三五规划:2016-2020年
四、速算技巧
(一)直除法

1、适用类型:A/B
2、应用步骤:
①观察选项:首位,首位相同时看第二位;
②截位:当选项首位互不相同时四舍五入取两位;当选项首位存在相同时四舍五入取三位;
③做除法,需要几位算几位。
3、特殊情况:
①分子分母多位数加减法:对齐后从高位计算;
②选项为比值时,看成小数计算;
③选项之间出现10倍、100倍等关系时,需要判断量级;
④判断量级使用划线法:保留所有单位,数据取相同位数划线:分子位数多时,补0;分母位数多时,多2位看成%,多3位看成‰。
(二)特殊分数化简

1、特殊分数数值
50%=1/233.3%=1/325%=1/4
20%=1/516.7%=1/614.3%=1/7
12.5%=1/811.1%=1/910%=1/10
9.1%=1/118.33%=1/127.7%=1/13
7.1%=1/146.7%=1/15
6.25%=1/165.9%=1/175.6%=1/18
5.3%=1/195%=1/2028.6%=2/7
37.5%=3/822.2%=2/918.2%=2/11
2、适用题型
①计算增长量
增长量=现期量/(1+增长率)×增长率
当增长率=1/n,增长量=现期量/(n+1)
②A×B
部分=整体×比重
现期量=基期量×(1+增长率)
(三)分数大小比较

1、直除法
相同量级下,截位直除计算首位即可
2、分数基本性质
分子大且分母小,则分数值一定大。
找接近(1倍关系)
3、增长率比较大小
①现期和基期差距较大(接近2倍或2倍以上)时,直接比较现期÷基期;
②现期和基期较为接近时,先减再除(对齐后高位相减),比较(现期-基期)/基期;
③也可以使用增长量÷现期量。
(四)常用特殊公式口诀

1、化除为乘近似公式
A/(1-a%)≈A(1+a%) a%≤5%
5%<a%<10%在选项差距较大时可以使用
2、笑脸公式(隔年增长率)
a%+b%+a%×b%
当|a%|、|b%|均小于5%时,乘积部分可以省略;
增长率正负均可使用,注意负数代入、负负得正;
时间间隔为任意三个时间点。
3、合成增长率(两部分合成整体)
口诀:整体的增长率介于两部分增长率之间,偏向于基数较大的一方。
识别:①词语的合成:进出口,全国城镇农村,以上以下,邮政电信,移动固定,男性女性,房产地产,A和非A等;②时间段的合成:1-11月与12月,上半年与下半年,前三季度与第四季度等
(五)多个数求和/平均数

1、四舍五入取前两位(多个数求和通用方法)
2、找基准(数值较为接近)
3、尾数法(精确加减法计算,选项尾数不同)
五、高频考点
(一)增长率

1、公式:增长率=增长量÷基期量=(现期量-基期量)÷基期量
2、识别:增长/减少+%
①问题中出现明显的两个时间相比;
②增长、减少、上升、下降、提高、降低、增长率、增速、增幅;
③选项一般时“%”
3、题型
①增长率计算:
A是B的多少倍:A/B
增长XX倍、A比B多几倍、高几倍,本质都是增长率:(A-B)/B=A/B-1
②增长率判断:
方法:给基期+基期×(10%、20%),和现期比大小
③增长率大小比较
④特殊增长率:隔年增长率、合成增长率、年均增长率
(二)基期量

1、公式:基期量=现期量/(1+增长率)
2、识别:已知“现在”,求“过去”
3、题型:
①一般基期量
②隔年基期量:
隔年基期量=现期量/(1+隔年增长率),隔年增长率=a%+b%+a%×b%
③基期量作差:
选项为两组数值时,先计算现期差;
无法利用现期差判断时,建议分别求基期(直除、化除为乘计算)
④基期量大小比较
(三)增长量

1、公式:增长量=现期量/(1+增长率)×增长率=现期量-现期量/(1+增长率)
2、识别:增长/减少+多少+单位或直接求XX的增长量
3、题型:
①增长量计算:
增长率为1/n,当1/n为正数时,增长量=现期/(n+1);当1/n为负数时,增长量=现期/(n-1)
当增长率特别小(|a%|<5%)时,可直接用现期量×增长率近似计算
当增长率特别大(接近100%或超过100%)时,想不到分数直接求基期,再现期减基期
②增长量的倍数关系:
当增长率之间相差10个百分点以内时,增长量的倍数关系≈A/B×a%/b%
③增长量大小比较:
口诀:大大则大,一大一小看倍数。
大大则大:现期量大且增长率大,则增长量一定大。
一大一小看倍数:现期量与增长率一大一小,则比较现期量之间的倍数关系与增长率之间的倍数关系,倍数大则增长量大。特殊情况:增长率数值较大(50%以上)或倍数关系接近时,需精确计算增长量。
(四)比重

现期比重
1、公式:部分/整体或A/B
2、识别:A(部分)占B(整体)的比重;在B(整体)中,A(部分)所占比重
3、拓展:①已知“整体”与“部分占整体的比重”求“部分”:部分=整体×部分占整体的比重;②已知“部分”与“部分占整体的比重”求“整体”:整体=部分÷部分占整体的比重。
4、饼图如何处理:①计算某一部分的比重,比重×360°即为扇形的圆心角度数;②大小关系、倍数关系(推荐);注意12点顺时针依次对应
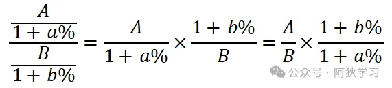
基期比重
1、公式:基期比重=现期比重×(1+整体增长率)/(1+部分增长率)

当|a%|<20%时,(1+b%)/(1+a%)≈1+b%-a%
2、识别:已知“现在”,求“过去”的比重
比重变化分析
1、识别:比重+上升/下降+百分点
2、方法:
①判断比重变化的方向:部分增长率大于整体增长率,则比重上升;反之下降。
②计算变化百分点:猜“小”;百分点<|a%-b%|;百分点=A/B×(a%-b%)/(1+a
%)
(五)平均数与倍数

平均数
识别:平均、均、每、单位
公式:“后”÷“前”
倍数
识别:A是(为)B的多少倍
公式:A÷B
特别注意:①基期比重、倍数、平均数列式形式相同;②整体相同时,比重代替具体数值计算倍数
(六)综合分析作答策略

①建议倒序验证(省考),优先选前四题没选的选项(国考)
②养成“跳过”的好习惯(跳过某些难算的选项,采取排除法)
③拒绝“强迫症”(如果计算某个选项是正确的,此时不需要去验证其他选项)
六、资料分析特定题型

1、保持增长率不变VS保持增长量不变
2、平均数的增长率VS比重变化分析
平均数的增长率
识别:平均(A/B)+增长/减少+%
公式:(a%-b%)/(1+b%)
比重分析变化
识别:比重+增长/减少+百分点
方法:判断方向,近似验证,精确计算
3、乘积的增长率
A=B×C,a%=b%+c%+b%×c%
七、易错知识点

1、增幅、降幅、变化幅度
变化幅度/涨跌幅,指的是增长率的绝对值
变化量,指的是增长量的绝对值
2、什么时候需要判断量级
选项出现10倍、100倍左右的关系;选项给的是区间;综合分析的选项
3、A是B的几倍,A比B高、多、增长几倍
A是B的几倍:A/B
A比B高、多、增长几倍:(A-B)/B=A/B-1
4、时间点/段不完全一致
5、拉动增长率、增长贡献率
部分拉动整体增长多少个百分点:部分的增长量÷整体的基期量
部分对整体的增长贡献率:部分的增长量÷整体的增长量
6、不到、约、近、超过
不到、不足:表示“小于”
超过:表示“大于”
约、左右:表示“差不多”,略大、略小均可
近XX、接近XX:表示不到XX,略小于XX
XX多、XX余
7、时间段的基期是否需要往前推一年
不用往前推:逐年、持续、年均增长量、年均增长率、从某年到某年
需要往前推:五年计划、问法中出现同比、比上年、江苏的真题