《通信原理》学习笔记No.49:什么是调制,什么是解调?
一、为什么需要调制?
通信是为了实现“信息”的传输,被传输的“信息”是以“信号”的形式经过“信道”传输到接收端的。通常,被传输信号的频率都比较低,故经常称被传输的信号为基带信号。比如我们能够听到的语音信号,其实频率大概在20Hz~20KHz之间。而许多通信信道只允许某些特定频率范围内的信号通过,比如某信道可能只允许3GHz左右的信号通过。那么,显然,频率范围在20Hz~20kHz的语音信号,根本就不可能在只允许3GHz左右的信道上传输。但又必须把这段语音信号传送出去,该怎么办呢? 就需要把这个低频率的语言信号变成一个3GHz左右的高频信号。问题是怎么将低频变成高频呢?方法就是将这个低频信号A加载到另一个3GHz左右的高频信号B上,变成一个新的高频信号C,使得新的高频信号C的频率范围满足信道的要求,保证C能够在信道中传输。其中,这个新的高频信号C一定是包含了原低频信号A所要传输的信息,这个所要传输的信息通过C的幅度、频率或者相位来体现,另外被加载的高频信号B则不能含有任何能够干扰信号A的信息。那么这种把低频信号A加载到高频信号B形成新的高频信号C的过程,就称为调制。反过来,从高频信号C中恢复出来信号A的过程,就称为解调。A就称为基带信号,B称为载波信号,C称为频带信号。载波信号一般用正弦信号cosωct表示,正弦信号本身不含有任何信息量,不会对被传输的信息带来任何干扰。比如中秋节想要将月饼送给自己远方的亲人,月饼本身不会自己跑到远方亲人手里,所以需要通过快递快递公司送过去。那么,月饼就是信息,装有月饼的快递包裹就是信号,快递包裹自己不能跑到远方(速度很慢),需要通过快递车(速度很快)在公路上送到亲人手里,这里的快递车其实就是载波,而公路则是信道。所以,被传输信号的频率与信道的频率要求不一致,是进行调制的重要原因。另外,经济成本、可实现的难度等问题也是进行调制的原因之一。假如以无线通信的方式传输该频率为10KHz的语音信号,如果不进行调制,那么发送天线的尺寸应该是被发送信号波长的十分之一甚至四分之一。
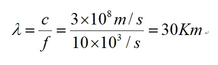
c是光速3*108m/s,f是语音信号的频率10KHz,得出该语音信号的波长是30公里。按照天线的尺寸至少是被发送信号波长的十分之一计算,则天线的尺寸必须得3公里甚至更长。显然这么长几公里的天线在实际中根本不可能制造出来。信号的频率越高,对应的波长越短,所应设计的天线尺寸就越小。这也是从具体实施的角度分析也需要对信号进行调制。调制:将信息承载到满足信道要求的高频信号上的过程就是调制。解调:解调是调制的逆过程,将有用的信息从高频信号中恢复出来的过程就是解调。