关键内容摘要
前情提要1:此处请先回顾非参数检验的概念学习笔记:临床回顾性研究实用指南(七)常用的统计假设检验方法②,着重对参数检验和非参数检验进行区分即可。
前情提要2:在利用K-M法得到生存曲线之后,我们需要判断不同处理组生存曲线之间是否存在差异,在这里又要用到假设检验。
Log-rank检验:两组/多组生存曲线的最常用比较方法,又称时序检验,属于非参数检验
基本思想:比较每个组中观察到的事件数Oi,与在零假设(所有的生存曲线间无差异)为真的情况下,每个组别期望的事件数Ei的差异,从而构造出近似服从自由度为组数-1的卡方分布的检验统计量。
设组数为g,统计量的近似公式为:
注意事项:
1️⃣Log-rank检验的前提条件为各组生存曲线不能交叉
生存曲线交叉提示存在混杂因素,使用Two-stage即两阶段法进行比较。
2️⃣其他检验方法:Breslow检验
二者区别:权重。Log-rank检验对所有事件赋予相同权重,Breslow检验对各时间点的存活例数作为权重,对随访早期的组间差异较为敏感。
3️⃣若有三条及以上生存曲线【属于多重比较】,需对假设检验的检验水准进行校正,以控制第一类错误【假阳性】的概率:Bonferroni法
基本思想:将显著性水平(α)除以比较的次数(n),以控制总体的第一类错误率
α_new = α_original / n然后将各条生存曲线两两比较得到的原始P值与α_new进行比较
Log-rank检验或Breslow检验的局限性:
①单因素分析法,忽略其他自变量或协变量;
②只能对分类自变量进行分析,不能分析连续自变量对生存率的作用;
③仅能得到组间检验P值,不能估计暴露/处理效应的大小
Cox比例风险回归模型【半参数模型】
英国统计学家D.R.Cox 提出的 能够处理 多因素 生存分析资料 的 比例风险回归模型Cox's proportional hazards regression model
首先,从该模型的名称就应首先关注Cox模型的前提:资料满足比例风险假定,即风险比不随时间变化而变化。
后面我们会明白为什么要需要这样的前提。
其次,让我们来回顾一下生存曲线的相关基本概念:
![]() |
在K-M生存曲线的笔记中,我们知道,K-M曲线的纵轴是生存率,Kaplan-Meier法的基本思想是利用tk时刻之前各时间点上的条件生存率的连乘积来估计在时刻tk的生存率。
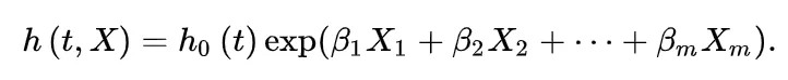
接下来,再看Cox回归模型的风险函数:
h(t, X_i) = h_0(t) * exp(X_i * β)也有一些公式这样呈现,可能帮助大家更好理解:

其中,参数β1 、β2 …… /βm称为自变量Xi 、X2 ……Xm的偏回归系数,它们需要通过样本数据进行估计;exp表示以自然数e为底的指数函数;h_0(t)是基线风险,即所有X=0时的风险;exp(X_i * β)是风险乘数,风险比HR。
重点是,Cox回归模型的风险函数,计算的是患者在t时刻的(死亡或其他终点事件)风险。Cox回归模型的风险函数并不涉及生存函数,也就是生存率。这里是有必要进行一个概念区分的。【文章最后,对K-M法和Cox回归做了概念区分】
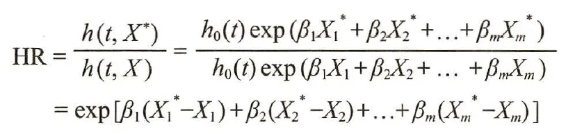
现在,我们对Cox回归模型有了一个基本的了解了,那怎么比较不同组织间的差异呢?如何进行相关运算?对运算结果又该作何解释?
答:计算风险比


下面是百度给出的解释,同时阐述了偏回归系数β的意义。

也就是说,在符合比例风险的情况下,解释了A与B相比,风险更大还是更小的问题。
同时呢,对HR,我们也要研究其置信区间。

其中,
为
的标准误。
参数估计
借助部分似然函数,采用最大似然估计
的估计值
假设检验
采用似然比检验、Wald卡方检验和计分检验对回归系数进行假设检验
自变量筛选:严进宽出
| K-M曲线 | Cox模型 | |
|---|---|---|
| 本质 | ||
| 功能 | ||
| 假设检验 | ||
| 关系 |