色谱质谱,物性表征测试(可合作),实验耗材,技术培训
刺五加化学成分及入血成分分析学习笔记
一、质谱分析方法概览
本研究采用超高效液相色谱-四级杆-飞行时间串联质谱(UPLC-Q-TOF-MS/MS)法分析刺五加提取物及其在大鼠体内的入血成分。实验选用 ZORBAX Eclipse Plus C18 色谱柱(2.1 mm×50 mm,1.8 μm),以 0.1%甲酸水(A)-0.1%甲酸乙腈(B)为流动相进行梯度洗脱,流速 0.3 mL/min,进样量 2 μL。质谱采用电喷雾电离子源(ESI),在正、负离子模式下进行全扫描,扫描范围为 m/z 50~1700 [[中药分析]]。
通过对比刺五加提取物、空白血清和含药血清的总离子流图,可以直观观察到不同样本中的色谱峰差异,从而筛选潜在的入血成分。
图 1 正离子 (A~C) 和负离子 (D~F) 模式下的总离子流图

图中 A、D 为刺五加提取物,B、E 为空白血清,C、F 为含药血清 [[图 1|中药分析]]。

二、化合物鉴定结果总览
1. 刺五加提取物化学成分
研究在刺五加提取物中共鉴定出 92 个化学成分,主要包含木脂素类(25个)、苯丙酸类(18个)、其他苯丙素类(9个)、苯甲酸及其衍生物类(8个)、萜类及糖苷类(10个)、香豆素类(8个)、黄酮类(5个)及其他类(9个) [[中药分析]]。
以下为详细的化学成分鉴定结果表格:
表 1 刺五加提取物化学成分分析结果



2. 入血成分分析
在大鼠含药血清中共鉴定出 52 个化学成分,其中原型成分 34 个,代谢产物 18 个 [[中药分析]]。入血原型成分主要为木脂素类、香豆素类、萜类及糖苷类等 [[中药分析]]。
表 2 刺五加含药血清中代谢产物的化学成分


三、典型化合物裂解规律详解
1. 香豆素类化合物
此类成分在质谱分析中主要发生丢失 CO、CO₂、H₂O 和 CH₃ 等中性分子的裂解反应 [[中药分析]]。
u秦皮乙素(化合物 16):在负离子模式下,准分子离子峰 m/z 177 [M-H]⁻ 首先丢失一分子 CO 生成 m/z 149 碎片,随后交替丢失 O 和 CO,依次生成 m/z 133、105 和 89 的特征碎片离子 [[中药分析]]。
u异嗪皮啶(化合物 54):在正离子模式下,准分子离子峰 m/z 223 [M+H]⁺ 首先丢失·CH₃ 生成 m/z 208,随后脱水生成 m/z 190,继续连续丢失 CO 生成 m/z 163、135 和 107 的碎片离子 [[中药分析]]。
图 3 异嗪皮啶可能的裂解过程

该图展示了异嗪皮啶从分子离子峰逐步裂解形成特征碎片离子的路径 [[图 3|中药分析]]。

2. 苯丙酸类化合物
此类化合物核心结构为 C₆-C₃,苯丙酸酯类化合物易发生酯键断裂 [[中药分析]]。
u阿魏酰基奎尼酸(化合物 19、40):在负离子模式下检测到 m/z 367 [M-H]⁻,裂解时主要产生两条路径:一是丢失阿魏酰基生成 m/z 191 [M-H-Ferulic acid]⁻;二是丢失奎宁酸生成 m/z 193 [M-H-Quinic acid]⁻ [[中药分析]]。
图 4 阿魏酰基奎尼酸可能的裂解过程

图中箭头指示了酯键断裂的两种主要方式 [[图 4|中药分析]]。

3. 木脂素类化合物
木脂素类化合物通常发生 β-β' 连接键断裂、环系开环及官能团丢失(脱水、脱 CO、脱甲基)等反应 [[中药分析]]。
u刺五加苷 E(化合物 50):在正离子模式下形成 m/z 760 [M+NH₄]⁺ 或 m/z 765 [M+Na]⁺ 加合离子,其裂解特征是连续丢失糖基,依次生成 m/z 603 [M+Na-Glc]⁺ 和 m/z 441 [M+Na-2Glc]⁺;此外,m/z 603 碎片还可进一步脱水生成 m/z 585 [[中药分析]]。
图 5 刺五加苷 E 可能的裂解过程

该图展示了刺五加苷 E 通过脱去糖基和水分子的方式生成碎片离子的过程 [[图 5|中药分析]]。

4. 黄酮类化合物
黄酮类化合物在负离子模式下易发生甲氧基解离,优先以 CH₃OH 形式脱去 [[中药分析]]。
u3',4',7-三甲氧基槲皮素(化合物 81):准分子离子峰 m/z 343 [M-H]⁻。主要裂解路径包括:丢失甲氧基生成 m/z 311 [M-H-OCH₃]⁻;直接脱去 B 环生成 m/z 207 [M-H-C₈H₈O₂]⁻;m/z 311 进一步断裂 B 环生成 m/z 233;或通过中央 C 环断裂重排生成 m/z 175 [[中药分析]]。
图 6 3'4',7-三甲氧基槲皮素可能的裂解过程

该图展示了黄酮类化合物典型的裂解行为 [[图†1|中药分析]]。

5. 其他苯丙素类化合物
u芥子醇(化合物 20):在正离子模式下,m/z 211 [M+H]⁺ 先发生侧链断裂生成 m/z 167,或协同丢失甲氧基与 CH₂OH 生成 m/z 151,随后继续丢失 CH₂O 和 CO 生成更小碎片 [[中药分析]]。
图 7 芥子醇可能的裂解过程

该图展示了芥子醇的侧链断裂与官能团丢失过程 [[图 7|中药分析]]。

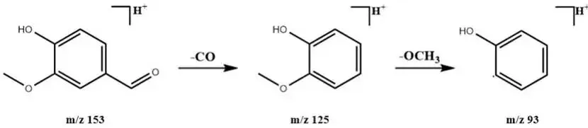
6. 苯甲酸及其衍生类化合物
此类化合物裂解特征主要源于羧基丢失、脱羟基、脱甲基及苯环重排 [[中药分析]]。
u香兰素(化合物 35):m/z 153 [M+H]⁺ 首先发生醛基 α-断裂,丢失 CO 生成 m/z 125 [M+H-CO]⁺,随后继续丢失甲氧基生成 m/z 93 [M+H-CO-OCH₃]⁺ [[中药分析]]。
图 8 香兰素可能的裂解过程

该图展示了香兰素的特征裂解路径 [[图 8|中药分析]]。

7. 萜类及糖苷类化合物
此类化合物常发生逆狄尔斯-阿德尔反应(RDA 裂解)、α-裂解及脱甲基反应 [[中药分析]]。
u木樨榄苷-11-甲酯(化合物 14):在负离子模式下,m/z 403 [M-H]⁻ 可经多条路径裂解:丢失甲基生成 m/z 388;丢失甲酯基团和羟基生成 m/z 329;或丢失葡萄糖基生成苷元离子 m/z 241,后者再丢失甲基生成 m/z 226 [[中药分析]]。
图 9 木樨榄苷-11-甲酯可能的裂解过程

该图展示了萜类化合物的多条裂解途径 [[图 9|中药分析]]。

8. 其他类化合物
u壬二酸(化合物 67):在负离子模式下,m/z 187 [M-H]⁻ 先脱水生成 m/z 169,随后连续丢失 CO₂ 和 CO 分别生成 m/z 125 和 m/z 97 的碎片离子 [[中药分析]]。
四、入血成分代谢途径
1. 异嗪皮啶的代谢
异嗪皮啶的 7-OH 位点易于发生Ⅱ相结合反应。代谢产物 M10 为磺酸化产物(m/z 增加 80),M11 为葡萄糖醛酸化产物(m/z 增加 176) [[中药分析]]。
图 11 异嗪皮啶可能的代谢途径

图中清晰显示了异嗪皮啶在体内发生磺酸化和葡萄糖醛酸化的两条主要代谢路径 [[图 11|中药分析]]。

2. 紫丁香苷的代谢
紫丁香苷在体内经历复杂的代谢转化:首先脱糖生成苷元芥子醇;芥子醇可进一步葡萄糖醛酸化生成 M8,或去羟甲基化生成 M3;紫丁香苷脱糖后也可经去甲基化、脱氢后硫酸结合生成 M15 [[中药分析]]。
图 12 紫丁香苷可能的代谢途径

该图展示了紫丁香苷及其代谢产物之间的转化关系 [[图 12|中药分析]]。

参考文献
[1] 徐翔,姜奇瑶,陈云波,等. UPLC-Q-TOF-MS/MS 法分析刺五加提取物化学成分及入血成分[J/OL]. 中华中医药学刊, 2025-07-11.
加入仪器分析前沿资料信息库,
送质谱学堂代谢组学分析手册
最近建的可以薅羊毛的有关色谱质谱科研内容的小圈子
···························································································································
仪器分析学苑是,致力于为广大科研工作者、技术人员和学生提供丰富的仪器分析知识、实验技巧和行业动态,可以获取您想要的技术文档,测试优惠,实验耗材,尤其对照品和塑料制品,目前开发了免费质谱工具和质谱解谱软件,低价加入小圈子可获取持续更新仪器学习科研资料http://s.a0j.top/C8dcMnC/CBETB
2.包年咨询,仪器分析学苑知识星球
https://t.zsxq.com/0fi0l3WGy
加入仪器分析知识星球包年服务福利:

加入星球福利二:质谱辅助与解谱软件 ms assistant
随着资料逐渐增加,会员人数逐渐增多,每隔半年,星球价格会依据情况相应上浮,早加入,早享受,等待就是成本!
星球价格,不过一顿饭,但是星球却可以持续的给你提供价值,助力市场开拓,销售增长,职场提升。还能扩大行业链接,增加创富可能!
此外仪器分析学苑 可以提供VIP贵宾服务:
专家社群咨询【送知识星球】
2. 个人咨询(单次和一对一):液相质谱方法开发,empower软件,masslynx软件,unifi软件 qsight simplicity, waters,安捷伦,ab,pe液质联用技术,分子网络GNPS
相关的群聊:
盖独学难成, 唯友为益也,我们给大家建立了一个学习,交流,资源的专业分享平台,群里除了日常可以提问,大神会帮助解答以外,群中还有很多老师分享的文档、资料、书籍,绝对让你受益匪浅!为了防止机器人和无关人员加入:现有两种进群方式
行业动态,职业发展【科学家雄鹰计划】目前分为分析,制剂,生物三个板块【行业大佬背书】
加入一: 分析科学家雄鹰计划群聊a与b,已经超过200人,有大量资源,现转为收费群(19.9),
加入二:9.9元红包,直接入分析科学家雄鹰计划群C,生物科学家雄鹰计划A与制剂科学家雄鹰计划A,关注加星标公众号,在看点赞,转发公众号任意文章在朋友圈3h不删除,邀请入群
测试平台:
实验室生化环材耗材一站实服务,日常耗材,通用仪器
兰杰柯商城https://mall.labgic-ljk.com/,私聊下单,会员可有折扣或福利,优势代理,比克曼,白鲨等,代谢蛋白前处理耗材,其他材料
2. 对照品
20w种有证生化环标准物质bepure(特色同位素液标)https://www.bepurecrm.com/
有证杂质质控:https://www.cato-chem.com/
甄准https://www.zzsrm.cn/ 其他:中药 低聚糖 农残兽药脂质优势代理
3.化学中间体与材料供应
4 复杂中药定性定量测试分析,质谱解谱,代谢组【非靶广靶靶向空间代谢组】,蛋白组,分子网络培训,物性检测SEM ,冷冻SEM,XRD,DSC,TG,ITC,BET等
支持代购分子物质与生化试剂代理品牌:麦克林,阿拉丁,targetmol,sigma, 科进 洁特 耐思 碧云天 索莱宝 凯基 麦迪康 施睿康 源叶 三鹰 江莱 亚科因 陶术 Absea Apexbio,酶免,艾迪生欢迎咨询等
基于公众号的国内首个科研问答智能体上线了。
大家关注公众号这么久,有些知识搜不到,或者需要找色谱质谱科研资料,我们训练了几十本色谱质谱书籍及包括上千篇公众号文章,而且不断更新,现在关注公众号,后台发送需要提问问题,或者使用公众号中仪器分析学苑智能体小程序,就可以问答知识,快速找资料了 ,更多咨询问题和资料请关注仪器分析学苑知识星球
部分来源于互联网,B站,公众号等
END
声明:本公众号所有转载文章系出于传递更多信息之目的,且明确注明来源和作者,不希望被转载的媒体或个人可与我们联系,我们将立即进行删除处理。所有文章仅代表作者观点,不代表本站立场。