当前位置:首页>学习笔记>cs224n学习笔记-Lecture 02:world vector(词向量)

cs224n学习笔记-Lecture 02:world vector(词向量)

  • 2026-05-14 01:48:41
cs224n学习笔记-Lecture 02:world vector(词向量)

skip-gram模型

wordvec有两个模型变体

1、Skip- gram(SG):给定中心词预测预测上下文词

2、CBOW:从上下文词袋中预测中心词

下面讲的是skip-gram模型。
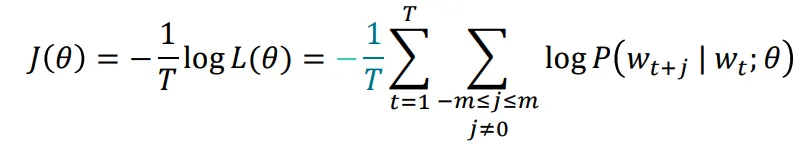
有一个很大的语料文本,构成一个很长的词列表,遍历每一个位置t,得到中心词c和上下位词o,使用词向量的相似度来计算给定中心词c的情况下出现上下文词o的概率,通过调整词向量使得概率最大化。
对于每一个位置t = 1, 2, ..., T,给定中心词wt,预测在一个固定长度为m的窗内的上下文词,似然函数如下。
目标函数是平均的负的对数似然函数
其中,
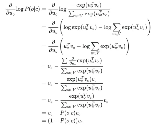
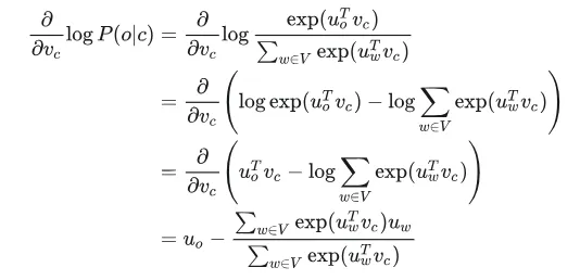
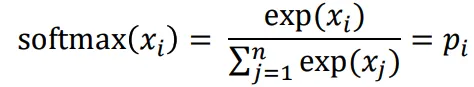
上式的分子中的uo代表上下文词的向量,vc是中心词的词向量,uo和vc的点积的含义是计算上下文词和中心词的相似度。点积越大,P(o|c)概率越大。分子是用于归一化概率,将中心词c的词向量vc与词汇表中所有词的向量计算相似度然后求和。P(o|c)的计算和softmax函数计算比较相似,softmax的公式如下:
对vc的偏微分计算:
对uo的偏微分计算:
在进行参数优化时使用了梯度下降
theta代表所有的模型参数,每个词有两个词向量,作为中心词词向量(v)和作为上下文词词向量(u)。
训练时,一个epoch中遍历一遍语料文本,计算损失函数和梯度,然后执行梯度下降,更新词向量(权重)。

负采样的skip-gram模型

负采样skip-gram的原理

回顾一下“给定中心词计算上下文词的条件概率”公式:
通常词汇表非常大(高达几十万),softmax类别非常多,P(o|c)的分母计算量极大。在标准的word2vec实现中使用的是负采样的skip-gram模型来解决这个问题。
即通过训练二元逻辑回归分类器,来辨别‘正样本’(中心词及其上下文词)与多个‘负样本’(中心词与随机噪声词)。
负采样的skip-gram在一次参数更新时,不再更新所有词,而只是更新:
  • 1个正样本(真实的上下文词)
  • k个负样本(使用词概率分布随机抽取的词)
k是一个超参数,通常设置为5~20,对于低频词,k通常设置大一点(如15~20),因为需要更多样本教会模型这些词不常同时出现。对于高频词,k可以设置小一点(如5)。
在word2vec原始论文中,作者发现直接使用词频分布效果不是最好,而是使用词谱进行3/4次方平滑处理。
假设词wi在语料库中出现的次数为count(wi),总词数为Z。未平滑的词词频概率为P_original(wi) = count(wi)/Z。
负采样使用的实际概率分布为P_neg(wi) = cout(wi)^(3/4)/Z
为什么要用3/4次方?
抑制极端高频词
如果不做处理(指数为 1),像 "the" 这样的词占比太高,导致负样本里全是 "the",模型学不到其他词的区分度。
如果指数太小(比如 0,即均匀分布),高频词作为负样本出现的几率太低,模型无法有效降低中心词与高频词的共现概率,将中心词cat和the推开,也就是是cat,dog,idea经常和功能词the一起出现,在整个语料库中,如果使用均匀采样,负样本中出现the的概率相对而言很低,例如几十万分之一,负样本采样的词比较生僻,而模型是按照skip- gram学习的,会使得cat,dog,idea和功能词the有语义关联。
3/4 次方 是一个经验上的“甜蜜点”(Sweet Spot)。它降低了最高频词的权重,同时提升了低频词被选为负样本的相对概率。
负采样的skip- gram模型的目标函数如下:
损失函数使用sigmoid函数而不是softmax函数。

负采样的skip- gram随机梯度下降

以迭代优化的方式,在每个上下文窗口为随机梯度下降求一次梯度,在每个窗口只有2m+1个词加上2km个负样本词,因此梯度矩阵是非常稀疏的。
解决方案:
在做随机梯度下降时,只更新实际出现的词向量。使用稀疏矩阵操作来更新整个词向量矩阵U和V的特定行,并且维护词汇表词向量id哈希值集合。此外,这个哈希集合可以更好的完成负样本与中心词去重。如果有百万级的词向量做分布式计算,不能全部一起去更新词向量。
为什么不直接计算共现向量?
负采样skip- gram模型是通过窗口迭代整个语料库多次,为什么不直接计算并统计什么词在什么词附近出现呢?
例如通过构建一个共现向量:
构建共现向量也有两种方法:1)使用窗口,类似于word2vec,在每个词周围使用窗口,捕捉语法和语义信息(词空间);2)整个文档语料库的共现矩阵,导出潜在语义分析(文档空间)
例如使用第一种方法,构建基于窗口的共现矩阵。窗口长度是1,对称的上下文。
语料库如下:
I like deep learning
I like NLP
I enjoy flying
得到的共现矩阵如下:
共现向量的不足:
通过简单统计共同出现的向量,向量个数随着词汇表的增大而增多。
非常高维,需要巨大大的存储空间
随后的分类模型有很大的稀疏问题,模型不够鲁棒。
解决方案:降维,使用低维向量。大多数的重要信息是固定的,使用稠密向量;通常25~1000维,类似word2vec。
通过降维算法降低共现矩阵的维度。
例如奇异值分解(SVD)
将共现矩阵X分解为UΣV^T,U和V是正交的
——————————————————————————
注意:以下两节也是是lecture 02的中的主题,为了更好理解,部分参考了AI的回答。

GloVe

GloVe (Global Vectors for Word Representation) 是一种经典的静态词嵌入(Static Word Embedding)技术,由斯坦福大学的研究团队于2014年提出。
尽管目前以 BERT 为代表的动态上下文模型(Contextualized Embeddings)已成为主流,但 GloVe 因其训练效率高、在特定任务上表现稳定以及作为理解词向量演进的基石,依然在自然语言处理(NLP)领域占有一席之地。
GloVe 的核心创新在于它结合了两种主流方法的优点:
  • 全局矩阵分解(Global Matrix Factorization):像 LSA (Latent Semantic Analysis) 那样利用全局统计信息。
  • 局部上下文窗口(Local Context Window):像 Word2Vec 那样捕捉局部的语义关系。
GloVe 不直接预测上下文(如 Word2Vec 的 Skip-gram),而是构建一个巨大的词 - 词共现矩阵(Co-occurrence Matrix),统计单词在全局语料库中共同出现的次数。然后,它通过优化目标函数,学习出词向量,使得两个词向量的点积尽可能等于它们共现概率的对数。
尽管 GloVe 很经典,但它有一个致命的弱点,这也是所有静态词嵌入的通病:
  • 无法处理一词多义(Polysemy):GloVe 为每个单词只生成一个固定的向量。例如,“Apple”在“吃苹果”和“苹果公司”这两个语境中,向量是完全一样的。
  • 被动态模型取代:2018年以后,以 BERT、RoBERTa、GPT 为代表的预训练语言模型(PLMs)兴起。这些模型生成的向量是动态的(Contextualized),即同一个词在不同句子中会有不同的向量表示,从而完美解决了一词多义问题,并在绝大多数 NLP 任务上大幅超越了 GloVe。

如何评估词向量的质量

评估词向量(Word Embeddings)的质量通常分为两大类:内在评估(Intrinsic Evaluation)和外在评估(Extrinsic Evaluation)。
  • 内在评估:直接测试词向量本身的统计特性,通常速度快,用于调试模型。
  • 外在评估:将词向量作为特征输入到具体的下游任务(如情感分析、命名实体识别)中,通过任务性能来评估,更能反映实际效果,但计算成本高。

内在评估 (Intrinsic Evaluation)

这类方法主要考察词向量是否捕捉到了语言学上的规律(如语义相似性、类比关系)。

词相似度/相关性任务(Word Similarity/Relatedness)

原理:计算两个词向量的余弦相似度,并与人类标注的相似度分数进行对比(通常计算 Spearman 或 Pearson 相关系数)。
指标:Spearman 秩相关系数(因为人类评分通常是序数)。
词类比任务 (Word Analogy)
原理:测试向量空间中的线性关系。经典问题是
A:B::C:? (例如:男人:女人 :: 国王:?)。
计算方法:寻找向量 D ,使得 vec(D)≈vec(B)−vec(A)+vec(C) 。通常通过余弦相似度在词汇表中搜索最接近的词。
指标:准确率 (Accuracy)。
词聚类任务 (WordClustering)
原理:对词向量进行聚类(如 K-Means),然后评估聚类结果与已知词类(如 POS 词性、语义类别)的一致性。
指标:纯度 (Purity)、归一化互信息 (NMI)、F1 值。
外在评估 (Extrinsic Evaluation)
这是评估词向量价值的“金标准”。将训练好的词向量作为初始化层或静态特征,投入到具体的 NLP 下游任务中,观察任务性能的提升。
常见下游任务:
  • 文本分类 (Text Classification): 如情感分析 (IMDB, SST-2)。
  • 命名实体识别 (NER): 如 CoNLL-2003。
  • 机器翻译 (Machine Translation)。
  • 问答系统 (Question Answering)。
  • 依存句法分析 (Dependency Parsing)。
优点:直接反映实际应用效果。
缺点:
  • 计算昂贵,训练时间长。
  • 结果受下游模型架构、超参数影响大,难以确定性能提升是源于词向量好还是模型调优好。
  • 不同任务对词向量的需求不同(例如,NER 可能需要更多形态学信息,而情感分析需要更多语义信息)。
可视化评估 (Qualitative Evaluation)
虽然不能给出量化分数,但对于直观理解词向量空间结构非常重要。
t-SNE / PCA / UMAP:将高维词向量降维到 2D 或 3D 进行可视化。
观察点:
  • 语义相近的词是否聚集在一起?
  • 是否存在明显的线性关系(如性别、时态方向)?
  • 是否有异常离群点?

针对上下文相关词向量 (Contextualized Embeddings) 的评估

对于 BERT、RoBERTa、ELECTRA 等动态词向量,传统的“一个词一个向量”的评估方法(如直接查表做类比)不再完全适用,因为它们依赖于上下文。
多义词评估:测试模型是否能区分同一词在不同语境下的含义(例如 "bank" 在 "river bank" 和 "bank account" 中的向量应不同)。
参考:
https://web.stanford.edu/class/cs224n/slides_w26/cs224n-2026-lecture02-wordvecs.pdf

最新文章

随机文章

基本 文件 流程 错误 SQL 调试
  1. 请求信息 : 2026-05-15 12:54:19 HTTP/2.0 GET : https://67808.cn/a/474302.html
  2. 运行时间 : 0.119726s [ 吞吐率:8.35req/s ] 内存消耗:4,501.48kb 文件加载:140
  3. 缓存信息 : 0 reads,0 writes
  4. 会话信息 : SESSION_ID=2eb2a18852211937afc5d9ec39695c08
  1. /yingpanguazai/ssd/ssd1/www/no.67808.cn/public/index.php ( 0.79 KB )
  2. /yingpanguazai/ssd/ssd1/www/no.67808.cn/vendor/autoload.php ( 0.17 KB )
  3. /yingpanguazai/ssd/ssd1/www/no.67808.cn/vendor/composer/autoload_real.php ( 2.49 KB )
  4. /yingpanguazai/ssd/ssd1/www/no.67808.cn/vendor/composer/platform_check.php ( 0.90 KB )
  5. /yingpanguazai/ssd/ssd1/www/no.67808.cn/vendor/composer/ClassLoader.php ( 14.03 KB )
  6. /yingpanguazai/ssd/ssd1/www/no.67808.cn/vendor/composer/autoload_static.php ( 4.90 KB )
  7. /yingpanguazai/ssd/ssd1/www/no.67808.cn/vendor/topthink/think-helper/src/helper.php ( 8.34 KB )
  8. /yingpanguazai/ssd/ssd1/www/no.67808.cn/vendor/topthink/think-validate/src/helper.php ( 2.19 KB )
  9. /yingpanguazai/ssd/ssd1/www/no.67808.cn/vendor/topthink/think-orm/src/helper.php ( 1.47 KB )
  10. /yingpanguazai/ssd/ssd1/www/no.67808.cn/vendor/topthink/think-orm/stubs/load_stubs.php ( 0.16 KB )
  11. /yingpanguazai/ssd/ssd1/www/no.67808.cn/vendor/topthink/framework/src/think/Exception.php ( 1.69 KB )
  12. /yingpanguazai/ssd/ssd1/www/no.67808.cn/vendor/topthink/think-container/src/Facade.php ( 2.71 KB )
  13. /yingpanguazai/ssd/ssd1/www/no.67808.cn/vendor/symfony/deprecation-contracts/function.php ( 0.99 KB )
  14. /yingpanguazai/ssd/ssd1/www/no.67808.cn/vendor/symfony/polyfill-mbstring/bootstrap.php ( 8.26 KB )
  15. /yingpanguazai/ssd/ssd1/www/no.67808.cn/vendor/symfony/polyfill-mbstring/bootstrap80.php ( 9.78 KB )
  16. /yingpanguazai/ssd/ssd1/www/no.67808.cn/vendor/symfony/var-dumper/Resources/functions/dump.php ( 1.49 KB )
  17. /yingpanguazai/ssd/ssd1/www/no.67808.cn/vendor/topthink/think-dumper/src/helper.php ( 0.18 KB )
  18. /yingpanguazai/ssd/ssd1/www/no.67808.cn/vendor/symfony/var-dumper/VarDumper.php ( 4.30 KB )
  19. /yingpanguazai/ssd/ssd1/www/no.67808.cn/vendor/topthink/framework/src/think/App.php ( 15.30 KB )
  20. /yingpanguazai/ssd/ssd1/www/no.67808.cn/vendor/topthink/think-container/src/Container.php ( 15.76 KB )
  21. /yingpanguazai/ssd/ssd1/www/no.67808.cn/vendor/psr/container/src/ContainerInterface.php ( 1.02 KB )
  22. /yingpanguazai/ssd/ssd1/www/no.67808.cn/app/provider.php ( 0.19 KB )
  23. /yingpanguazai/ssd/ssd1/www/no.67808.cn/vendor/topthink/framework/src/think/Http.php ( 6.04 KB )
  24. /yingpanguazai/ssd/ssd1/www/no.67808.cn/vendor/topthink/think-helper/src/helper/Str.php ( 7.29 KB )
  25. /yingpanguazai/ssd/ssd1/www/no.67808.cn/vendor/topthink/framework/src/think/Env.php ( 4.68 KB )
  26. /yingpanguazai/ssd/ssd1/www/no.67808.cn/app/common.php ( 0.03 KB )
  27. /yingpanguazai/ssd/ssd1/www/no.67808.cn/vendor/topthink/framework/src/helper.php ( 18.78 KB )
  28. /yingpanguazai/ssd/ssd1/www/no.67808.cn/vendor/topthink/framework/src/think/Config.php ( 5.54 KB )
  29. /yingpanguazai/ssd/ssd1/www/no.67808.cn/config/app.php ( 0.95 KB )
  30. /yingpanguazai/ssd/ssd1/www/no.67808.cn/config/cache.php ( 0.78 KB )
  31. /yingpanguazai/ssd/ssd1/www/no.67808.cn/config/console.php ( 0.23 KB )
  32. /yingpanguazai/ssd/ssd1/www/no.67808.cn/config/cookie.php ( 0.56 KB )
  33. /yingpanguazai/ssd/ssd1/www/no.67808.cn/config/database.php ( 2.48 KB )
  34. /yingpanguazai/ssd/ssd1/www/no.67808.cn/vendor/topthink/framework/src/think/facade/Env.php ( 1.67 KB )
  35. /yingpanguazai/ssd/ssd1/www/no.67808.cn/config/filesystem.php ( 0.61 KB )
  36. /yingpanguazai/ssd/ssd1/www/no.67808.cn/config/lang.php ( 0.91 KB )
  37. /yingpanguazai/ssd/ssd1/www/no.67808.cn/config/log.php ( 1.35 KB )
  38. /yingpanguazai/ssd/ssd1/www/no.67808.cn/config/middleware.php ( 0.19 KB )
  39. /yingpanguazai/ssd/ssd1/www/no.67808.cn/config/route.php ( 1.89 KB )
  40. /yingpanguazai/ssd/ssd1/www/no.67808.cn/config/session.php ( 0.57 KB )
  41. /yingpanguazai/ssd/ssd1/www/no.67808.cn/config/trace.php ( 0.34 KB )
  42. /yingpanguazai/ssd/ssd1/www/no.67808.cn/config/view.php ( 0.82 KB )
  43. /yingpanguazai/ssd/ssd1/www/no.67808.cn/app/event.php ( 0.25 KB )
  44. /yingpanguazai/ssd/ssd1/www/no.67808.cn/vendor/topthink/framework/src/think/Event.php ( 7.67 KB )
  45. /yingpanguazai/ssd/ssd1/www/no.67808.cn/app/service.php ( 0.13 KB )
  46. /yingpanguazai/ssd/ssd1/www/no.67808.cn/app/AppService.php ( 0.26 KB )
  47. /yingpanguazai/ssd/ssd1/www/no.67808.cn/vendor/topthink/framework/src/think/Service.php ( 1.64 KB )
  48. /yingpanguazai/ssd/ssd1/www/no.67808.cn/vendor/topthink/framework/src/think/Lang.php ( 7.35 KB )
  49. /yingpanguazai/ssd/ssd1/www/no.67808.cn/vendor/topthink/framework/src/lang/zh-cn.php ( 13.70 KB )
  50. /yingpanguazai/ssd/ssd1/www/no.67808.cn/vendor/topthink/framework/src/think/initializer/Error.php ( 3.31 KB )
  51. /yingpanguazai/ssd/ssd1/www/no.67808.cn/vendor/topthink/framework/src/think/initializer/RegisterService.php ( 1.33 KB )
  52. /yingpanguazai/ssd/ssd1/www/no.67808.cn/vendor/services.php ( 0.14 KB )
  53. /yingpanguazai/ssd/ssd1/www/no.67808.cn/vendor/topthink/framework/src/think/service/PaginatorService.php ( 1.52 KB )
  54. /yingpanguazai/ssd/ssd1/www/no.67808.cn/vendor/topthink/framework/src/think/service/ValidateService.php ( 0.99 KB )
  55. /yingpanguazai/ssd/ssd1/www/no.67808.cn/vendor/topthink/framework/src/think/service/ModelService.php ( 2.04 KB )
  56. /yingpanguazai/ssd/ssd1/www/no.67808.cn/vendor/topthink/think-trace/src/Service.php ( 0.77 KB )
  57. /yingpanguazai/ssd/ssd1/www/no.67808.cn/vendor/topthink/framework/src/think/Middleware.php ( 6.72 KB )
  58. /yingpanguazai/ssd/ssd1/www/no.67808.cn/vendor/topthink/framework/src/think/initializer/BootService.php ( 0.77 KB )
  59. /yingpanguazai/ssd/ssd1/www/no.67808.cn/vendor/topthink/think-orm/src/Paginator.php ( 11.86 KB )
  60. /yingpanguazai/ssd/ssd1/www/no.67808.cn/vendor/topthink/think-validate/src/Validate.php ( 63.20 KB )
  61. /yingpanguazai/ssd/ssd1/www/no.67808.cn/vendor/topthink/think-orm/src/Model.php ( 23.55 KB )
  62. /yingpanguazai/ssd/ssd1/www/no.67808.cn/vendor/topthink/think-orm/src/model/concern/Attribute.php ( 21.05 KB )
  63. /yingpanguazai/ssd/ssd1/www/no.67808.cn/vendor/topthink/think-orm/src/model/concern/AutoWriteData.php ( 4.21 KB )
  64. /yingpanguazai/ssd/ssd1/www/no.67808.cn/vendor/topthink/think-orm/src/model/concern/Conversion.php ( 6.44 KB )
  65. /yingpanguazai/ssd/ssd1/www/no.67808.cn/vendor/topthink/think-orm/src/model/concern/DbConnect.php ( 5.16 KB )
  66. /yingpanguazai/ssd/ssd1/www/no.67808.cn/vendor/topthink/think-orm/src/model/concern/ModelEvent.php ( 2.33 KB )
  67. /yingpanguazai/ssd/ssd1/www/no.67808.cn/vendor/topthink/think-orm/src/model/concern/RelationShip.php ( 28.29 KB )
  68. /yingpanguazai/ssd/ssd1/www/no.67808.cn/vendor/topthink/think-helper/src/contract/Arrayable.php ( 0.09 KB )
  69. /yingpanguazai/ssd/ssd1/www/no.67808.cn/vendor/topthink/think-helper/src/contract/Jsonable.php ( 0.13 KB )
  70. /yingpanguazai/ssd/ssd1/www/no.67808.cn/vendor/topthink/think-orm/src/model/contract/Modelable.php ( 0.09 KB )
  71. /yingpanguazai/ssd/ssd1/www/no.67808.cn/vendor/topthink/framework/src/think/Db.php ( 2.88 KB )
  72. /yingpanguazai/ssd/ssd1/www/no.67808.cn/vendor/topthink/think-orm/src/DbManager.php ( 8.52 KB )
  73. /yingpanguazai/ssd/ssd1/www/no.67808.cn/vendor/topthink/framework/src/think/Log.php ( 6.28 KB )
  74. /yingpanguazai/ssd/ssd1/www/no.67808.cn/vendor/topthink/framework/src/think/Manager.php ( 3.92 KB )
  75. /yingpanguazai/ssd/ssd1/www/no.67808.cn/vendor/psr/log/src/LoggerTrait.php ( 2.69 KB )
  76. /yingpanguazai/ssd/ssd1/www/no.67808.cn/vendor/psr/log/src/LoggerInterface.php ( 2.71 KB )
  77. /yingpanguazai/ssd/ssd1/www/no.67808.cn/vendor/topthink/framework/src/think/Cache.php ( 4.92 KB )
  78. /yingpanguazai/ssd/ssd1/www/no.67808.cn/vendor/psr/simple-cache/src/CacheInterface.php ( 4.71 KB )
  79. /yingpanguazai/ssd/ssd1/www/no.67808.cn/vendor/topthink/think-helper/src/helper/Arr.php ( 16.63 KB )
  80. /yingpanguazai/ssd/ssd1/www/no.67808.cn/vendor/topthink/framework/src/think/cache/driver/File.php ( 7.84 KB )
  81. /yingpanguazai/ssd/ssd1/www/no.67808.cn/vendor/topthink/framework/src/think/cache/Driver.php ( 9.03 KB )
  82. /yingpanguazai/ssd/ssd1/www/no.67808.cn/vendor/topthink/framework/src/think/contract/CacheHandlerInterface.php ( 1.99 KB )
  83. /yingpanguazai/ssd/ssd1/www/no.67808.cn/app/Request.php ( 0.09 KB )
  84. /yingpanguazai/ssd/ssd1/www/no.67808.cn/vendor/topthink/framework/src/think/Request.php ( 55.78 KB )
  85. /yingpanguazai/ssd/ssd1/www/no.67808.cn/app/middleware.php ( 0.25 KB )
  86. /yingpanguazai/ssd/ssd1/www/no.67808.cn/vendor/topthink/framework/src/think/Pipeline.php ( 2.61 KB )
  87. /yingpanguazai/ssd/ssd1/www/no.67808.cn/vendor/topthink/think-trace/src/TraceDebug.php ( 3.40 KB )
  88. /yingpanguazai/ssd/ssd1/www/no.67808.cn/vendor/topthink/framework/src/think/middleware/SessionInit.php ( 1.94 KB )
  89. /yingpanguazai/ssd/ssd1/www/no.67808.cn/vendor/topthink/framework/src/think/Session.php ( 1.80 KB )
  90. /yingpanguazai/ssd/ssd1/www/no.67808.cn/vendor/topthink/framework/src/think/session/driver/File.php ( 6.27 KB )
  91. /yingpanguazai/ssd/ssd1/www/no.67808.cn/vendor/topthink/framework/src/think/contract/SessionHandlerInterface.php ( 0.87 KB )
  92. /yingpanguazai/ssd/ssd1/www/no.67808.cn/vendor/topthink/framework/src/think/session/Store.php ( 7.12 KB )
  93. /yingpanguazai/ssd/ssd1/www/no.67808.cn/vendor/topthink/framework/src/think/Route.php ( 23.73 KB )
  94. /yingpanguazai/ssd/ssd1/www/no.67808.cn/vendor/topthink/framework/src/think/route/RuleName.php ( 5.75 KB )
  95. /yingpanguazai/ssd/ssd1/www/no.67808.cn/vendor/topthink/framework/src/think/route/Domain.php ( 2.53 KB )
  96. /yingpanguazai/ssd/ssd1/www/no.67808.cn/vendor/topthink/framework/src/think/route/RuleGroup.php ( 22.43 KB )
  97. /yingpanguazai/ssd/ssd1/www/no.67808.cn/vendor/topthink/framework/src/think/route/Rule.php ( 26.95 KB )
  98. /yingpanguazai/ssd/ssd1/www/no.67808.cn/vendor/topthink/framework/src/think/route/RuleItem.php ( 9.78 KB )
  99. /yingpanguazai/ssd/ssd1/www/no.67808.cn/route/app.php ( 1.72 KB )
  100. /yingpanguazai/ssd/ssd1/www/no.67808.cn/vendor/topthink/framework/src/think/facade/Route.php ( 4.70 KB )
  101. /yingpanguazai/ssd/ssd1/www/no.67808.cn/vendor/topthink/framework/src/think/route/dispatch/Controller.php ( 4.74 KB )
  102. /yingpanguazai/ssd/ssd1/www/no.67808.cn/vendor/topthink/framework/src/think/route/Dispatch.php ( 10.44 KB )
  103. /yingpanguazai/ssd/ssd1/www/no.67808.cn/app/controller/Index.php ( 4.81 KB )
  104. /yingpanguazai/ssd/ssd1/www/no.67808.cn/app/BaseController.php ( 2.05 KB )
  105. /yingpanguazai/ssd/ssd1/www/no.67808.cn/vendor/topthink/think-orm/src/facade/Db.php ( 0.93 KB )
  106. /yingpanguazai/ssd/ssd1/www/no.67808.cn/vendor/topthink/think-orm/src/db/connector/Mysql.php ( 5.44 KB )
  107. /yingpanguazai/ssd/ssd1/www/no.67808.cn/vendor/topthink/think-orm/src/db/PDOConnection.php ( 52.47 KB )
  108. /yingpanguazai/ssd/ssd1/www/no.67808.cn/vendor/topthink/think-orm/src/db/Connection.php ( 8.39 KB )
  109. /yingpanguazai/ssd/ssd1/www/no.67808.cn/vendor/topthink/think-orm/src/db/ConnectionInterface.php ( 4.57 KB )
  110. /yingpanguazai/ssd/ssd1/www/no.67808.cn/vendor/topthink/think-orm/src/db/builder/Mysql.php ( 16.58 KB )
  111. /yingpanguazai/ssd/ssd1/www/no.67808.cn/vendor/topthink/think-orm/src/db/Builder.php ( 24.06 KB )
  112. /yingpanguazai/ssd/ssd1/www/no.67808.cn/vendor/topthink/think-orm/src/db/BaseBuilder.php ( 27.50 KB )
  113. /yingpanguazai/ssd/ssd1/www/no.67808.cn/vendor/topthink/think-orm/src/db/Query.php ( 15.71 KB )
  114. /yingpanguazai/ssd/ssd1/www/no.67808.cn/vendor/topthink/think-orm/src/db/BaseQuery.php ( 45.13 KB )
  115. /yingpanguazai/ssd/ssd1/www/no.67808.cn/vendor/topthink/think-orm/src/db/concern/TimeFieldQuery.php ( 7.43 KB )
  116. /yingpanguazai/ssd/ssd1/www/no.67808.cn/vendor/topthink/think-orm/src/db/concern/AggregateQuery.php ( 3.26 KB )
  117. /yingpanguazai/ssd/ssd1/www/no.67808.cn/vendor/topthink/think-orm/src/db/concern/ModelRelationQuery.php ( 20.07 KB )
  118. /yingpanguazai/ssd/ssd1/www/no.67808.cn/vendor/topthink/think-orm/src/db/concern/ParamsBind.php ( 3.66 KB )
  119. /yingpanguazai/ssd/ssd1/www/no.67808.cn/vendor/topthink/think-orm/src/db/concern/ResultOperation.php ( 7.01 KB )
  120. /yingpanguazai/ssd/ssd1/www/no.67808.cn/vendor/topthink/think-orm/src/db/concern/WhereQuery.php ( 19.37 KB )
  121. /yingpanguazai/ssd/ssd1/www/no.67808.cn/vendor/topthink/think-orm/src/db/concern/JoinAndViewQuery.php ( 7.11 KB )
  122. /yingpanguazai/ssd/ssd1/www/no.67808.cn/vendor/topthink/think-orm/src/db/concern/TableFieldInfo.php ( 2.63 KB )
  123. /yingpanguazai/ssd/ssd1/www/no.67808.cn/vendor/topthink/think-orm/src/db/concern/Transaction.php ( 2.77 KB )
  124. /yingpanguazai/ssd/ssd1/www/no.67808.cn/vendor/topthink/framework/src/think/log/driver/File.php ( 5.96 KB )
  125. /yingpanguazai/ssd/ssd1/www/no.67808.cn/vendor/topthink/framework/src/think/contract/LogHandlerInterface.php ( 0.86 KB )
  126. /yingpanguazai/ssd/ssd1/www/no.67808.cn/vendor/topthink/framework/src/think/log/Channel.php ( 3.89 KB )
  127. /yingpanguazai/ssd/ssd1/www/no.67808.cn/vendor/topthink/framework/src/think/event/LogRecord.php ( 1.02 KB )
  128. /yingpanguazai/ssd/ssd1/www/no.67808.cn/vendor/topthink/think-helper/src/Collection.php ( 16.47 KB )
  129. /yingpanguazai/ssd/ssd1/www/no.67808.cn/vendor/topthink/framework/src/think/facade/View.php ( 1.70 KB )
  130. /yingpanguazai/ssd/ssd1/www/no.67808.cn/vendor/topthink/framework/src/think/View.php ( 4.39 KB )
  131. /yingpanguazai/ssd/ssd1/www/no.67808.cn/vendor/topthink/framework/src/think/Response.php ( 8.81 KB )
  132. /yingpanguazai/ssd/ssd1/www/no.67808.cn/vendor/topthink/framework/src/think/response/View.php ( 3.29 KB )
  133. /yingpanguazai/ssd/ssd1/www/no.67808.cn/vendor/topthink/framework/src/think/Cookie.php ( 6.06 KB )
  134. /yingpanguazai/ssd/ssd1/www/no.67808.cn/vendor/topthink/think-view/src/Think.php ( 8.38 KB )
  135. /yingpanguazai/ssd/ssd1/www/no.67808.cn/vendor/topthink/framework/src/think/contract/TemplateHandlerInterface.php ( 1.60 KB )
  136. /yingpanguazai/ssd/ssd1/www/no.67808.cn/vendor/topthink/think-template/src/Template.php ( 46.61 KB )
  137. /yingpanguazai/ssd/ssd1/www/no.67808.cn/vendor/topthink/think-template/src/template/driver/File.php ( 2.41 KB )
  138. /yingpanguazai/ssd/ssd1/www/no.67808.cn/vendor/topthink/think-template/src/template/contract/DriverInterface.php ( 0.86 KB )
  139. /yingpanguazai/ssd/ssd1/www/no.67808.cn/runtime/temp/6df755f970a38e704c5414acbc6e8bcd.php ( 12.06 KB )
  140. /yingpanguazai/ssd/ssd1/www/no.67808.cn/vendor/topthink/think-trace/src/Html.php ( 4.42 KB )
  1. CONNECT:[ UseTime:0.000720s ] mysql:host=127.0.0.1;port=3306;dbname=no_67808;charset=utf8mb4
  2. SHOW FULL COLUMNS FROM `fenlei` [ RunTime:0.000755s ]
  3. SELECT * FROM `fenlei` WHERE `fid` = 0 [ RunTime:0.000296s ]
  4. SELECT * FROM `fenlei` WHERE `fid` = 63 [ RunTime:0.000248s ]
  5. SHOW FULL COLUMNS FROM `set` [ RunTime:0.000529s ]
  6. SELECT * FROM `set` [ RunTime:0.000459s ]
  7. SHOW FULL COLUMNS FROM `article` [ RunTime:0.000600s ]
  8. SELECT * FROM `article` WHERE `id` = 474302 LIMIT 1 [ RunTime:0.003927s ]
  9. UPDATE `article` SET `lasttime` = 1778820859 WHERE `id` = 474302 [ RunTime:0.004119s ]
  10. SELECT * FROM `fenlei` WHERE `id` = 65 LIMIT 1 [ RunTime:0.000428s ]
  11. SELECT * FROM `article` WHERE `id` < 474302 ORDER BY `id` DESC LIMIT 1 [ RunTime:0.000746s ]
  12. SELECT * FROM `article` WHERE `id` > 474302 ORDER BY `id` ASC LIMIT 1 [ RunTime:0.000594s ]
  13. SELECT * FROM `article` WHERE `id` < 474302 ORDER BY `id` DESC LIMIT 10 [ RunTime:0.000854s ]
  14. SELECT * FROM `article` WHERE `id` < 474302 ORDER BY `id` DESC LIMIT 10,10 [ RunTime:0.001309s ]
  15. SELECT * FROM `article` WHERE `id` < 474302 ORDER BY `id` DESC LIMIT 20,10 [ RunTime:0.005474s ]
0.121386s