当前位置:首页>学习笔记>偷懒的论文学习笔记(8)|拆解DeepSeek-V4的百万Token推理:不是魔法,是工程史上的暴力压缩

偷懒的论文学习笔记(8)|拆解DeepSeek-V4的百万Token推理:不是魔法,是工程史上的暴力压缩

  • 2026-04-24 18:09:56
偷懒的论文学习笔记(8)|拆解DeepSeek-V4的百万Token推理:不是魔法,是工程史上的暴力压缩

今天,DeepSeek-V4的技术报告放出来,一组数据炸了。

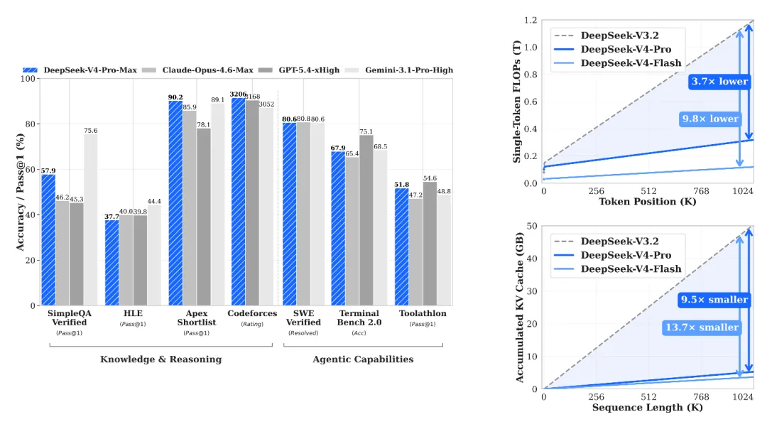
在100万Token的上下文窗口下,V4-Pro的单Token推理FLOPs只有上一代V3.2的27%,KV Cache占用更是直接砍到10%。更激进的是V4-Flash版本——推理FLOPs降到10%,KV Cache仅剩7%。

简单翻译一下:以前跑100万Token上下文,你需要一台装满显存的昂贵机器慢慢算。现在用V4,同样的任务,算力省掉九成,显存放飞。

这不是什么魔法,也不是“算法突破了Transformer的平方复杂度”。V4团队做了一件非常直接、甚至有点暴力的事:

既然显存放不下那么多Key-Value对,那就别存那么多了。

接下来我会把这套方案的技术逻辑、具体做法和它必然要付出的代价,一层层拆开说清楚。


一、为什么以前的模型搞不定100万Token?先搞清楚KV Cache这个罪魁祸首

Transformer做生成任务时,每预测一个新的Token,都要跟之前所有Token的Key和Value做注意力计算。为了避免每次都重算,这些Key和Value会被缓存起来——这就是KV Cache。

问题出在,这个Cache的大小跟上下文长度线性增长

以DeepSeek-V3.2为例,一个BF16精度、GQA8(8组查询头)、头维度128的标准配置,100万Token的KV Cache大约要吃掉几百GB的显存。这还没算模型权重本身。更致命的是,每次推理都要对这些KV做全量注意力计算,FLOPs随序列长度平方级增长。

这就是过去即使最顶尖的闭源模型,也不敢轻易把上下文窗口开到100万的原因——不是架构不支持,是算力和显存根本撑不住。

V4解决这个问题的思路,不绕弯子:直接在KV Cache上做有损压缩。


二、CSA:先捏成块,再挑着看

V4在大多数中间层用的是CSA,全称Compressed Sparse Attention(压缩稀疏注意力)。它由两步组成:压缩,然后稀疏筛选。

第一步:把KV条目捏成压缩块

CSA拿到原始输入的Hidden State后,先算出两组KV条目()以及对应的压缩权重()。然后,每个连续Token的KV条目,通过一个带可学习位置偏置的Softmax加权求和,捏成一个压缩后的KV条目

在V4-Pro里,。也就是说,每4个Token才存1条KV。显存直接缩到原来的四分之一。

这里有个细节值得注意:CSA的压缩是有重叠的。计算第个压缩块时,它会同时用到中第的元素,以及中第的元素。也就是说,相邻两个压缩块之间,在上有半个窗口的交叉。这个设计是为了防止压缩边界处出现信息断裂。

第二步:用“闪电索引器”做粗筛,只挑最相关的

压缩之后,KV条目的数量降为原来的四分之一,但依然会随序列线性增长。如果全量做注意力,在百万Token下仍然扛不住。

所以CSA引入了第二步:稀疏筛选。

V4在CSA层里额外设了一个轻量级的“闪电索引器”。它不存完整的注意力Key,而是用更低维的压缩Key(头维度只有128,远小于主注意力的512)和更低精度(FP4)来做预筛选。

对于当前查询Token,索引器会快速扫一遍所有压缩KV块,计算相关性得分,然后用Top-k选择器只保留得分最高的那些块,送入后续的核心注意力计算。

k是多少?在V4-Pro里,k=1024。

也就是说,不管你上下文有多长,被压缩成多少块,最终每个查询Token真正做核心注意力的,最多只有1024个块。

这步筛选的计算量本身极低。索引器的Query是降维的(通过一个下投影矩阵映射到1024维,再上投影到64个索引头的128维空间),且计算时全程使用FP4精度,对整体FLOPs的贡献几乎可以忽略。

CSA到此完成了一个巧妙的组合拳:先压缩四倍,再只选1024块做精算。传统的平方级注意力,在这里被硬生生压到了一个可控的常数级。


三、HCA:更暴力的压缩,但放弃稀疏

HCA(Heavily Compressed Attention)比CSA更极端。它的设计逻辑很简单:

如果CSA是每个Token压成一个,那HCA就把压缩比拉到极致——V4里的

128个Token只存一个KV条目。这意味着,在HCA层里,100万Token的上下文,经过压缩后只剩不到八千个KV条目。全量做注意力也没压力,不需要再引入稀疏筛选那一步。

所以HCA的结构比CSA简单:输入做一次KV映射和权重计算,每128个Token软合并为一个压缩条目,所有查询Token都对这个全量的压缩KV做MQA(Multi-Query Attention)。

但它之所以能这么干,是因为它舍弃了细粒度的局部信息。128个Token浓缩成一个,里面必然丢失大量细节。这也是为什么V4不会在所有层都使用HCA——它只被放在特定位置,和CSA交替出现,各自负责不同粒度的信息捕捉。


四、那近期的细节怎么办?——滑动窗口这个“补丁”

CSA和HCA解决的是长程依赖问题,但它们有一个共同缺陷:压缩块内的Token之间,互相看不到。

比如,你在写代码的第99行时,第98行的信息对你极其重要。但在CSA层里,这两行很可能被捏到了同一个压缩块里。查询Token只能看到它所在块之前的压缩块,看不到同块内的兄弟。

V4的解法是直接加补丁:在每个CSA和HCA层上,多开一个独立的滑动窗口分支,保留最近个Token的原生(未压缩)KV条目。

这样,模型在查询时,既能看到被压缩的全局历史,也能看到窗口内精确的近期上下文。两个来源的KV在核心注意力里同时参与计算。

这个滑动窗口不参与压缩,所以它占用的KV Cache是独立的。但好在128个Token的量级很小(和百万级上下文相比几乎可忽略),对整体效率影响有限。


五、代价是什么?——把V4的报告数据和盘托出

上面这套方案看着漂亮,但“有损压缩”四个字本身就意味着代价。DeepSeek在报告里也没有回避这一点。

在MRCR(Multi-Round Coreference Resolution,一种严格的“大海捞针”式长文本检索任务)的评测中,V4系列的表现在128K以内极其稳定;但超过128K后,准确率开始出现肉眼可见的衰减。

对比Claude Opus 4.6,V4-Pro在MRCR 1M上确实落后。

这很好理解:一旦压缩比上来,那些被合并、被丢弃的KV条目中,总有一些细节是后续任务恰好需要的。稀疏选择那一步,Top-1024再聪明,也无法保证永远不会漏掉关键信息。

但有意思的是,在另一个长文本评测CorpusQA上,V4-Pro反而超过了Gemini 3.1 Pro。这说明,压缩带来的精度损失,对不同任务的影响是不同的。对于需要精确匹配、逐字比对的任务,压缩是隐患;但对于需要理解中心思想、提取核心逻辑的任务,压缩甚至可能起到去噪的作用。


六、这个公式,才是V4真正的设计灵魂

报告里有一个很多人可能会跳过的部分,但它是理解整套架构的钥匙。

在3.1节讲专家并行的时候,V4团队列了一个公式:

解释一下:是GPU的峰值算力(FLOPs),是GPU之间的互联带宽(GB/s)。这个不等式意味着,只要你的带宽能满足这个关系,通信延迟就可以被计算完全掩盖

6144这个数字是怎么来的?对于V4-Pro,每个Token-专家对的计算量是6hd次FLOPs,而通信量只有3h字节。,乘出来就是6144。

翻译成人话:每GB/s的互联带宽,可以覆盖6.1 TFLOP/s的算力。

这个公式直接把V4的设计哲学暴露了——它根本不是为无限带宽的豪华集群设计的,而是为带宽受限、但算力充沛的硬件量身定制的。

传统观念里,MoE模型害怕低带宽,因为All-to-All通信是性能瓶颈。但V4通过这个精确的配比计算,告诉你:通信不是瓶颈,只要你的硬件配比达到这个阈值,再多带宽就是浪费。

这和它做KV压缩的逻辑完全一脉相承:不要在可以被容忍的损耗上投入资源,把省下来的每一分算力都砸到计算本身上去。


七、总结:2026年,大模型正在分叉

把V4这套技术方案放在2026年的大背景下看,你会发现一条清晰的路线分叉:

一条是“无损全家桶”路线。代表是Claude Opus 4.6和Gemini 3.1 Pro。它们追求在每项基准上的全面领先,包括极端长文本的精确检索。代价是单次推理成本高企,大规模Agent部署时成本不可控。

另一条是DeepSeek-V4的“工程效率”路线。它承认物理极限,承认有损压缩的副作用,然后通过精密的系统设计(CSA、HCA、滑动窗口、FP4量化、通信-计算重叠),把百万Token推理变成了一个在成本上真正可落地的方案。

这两种路线没有绝对的对错。如果你的场景是单次、高价值、零容错的深度分析(比如合同审查、安全审计),你仍然应该用前者。但如果你的场景是成百上千个Agent在后台同时跑代码理解、日志分析、长文档摘要——那你需要的是V4这样的效率怪物。

DeepSeek-V4的野心不在于跑分,在于把百万Token从实验室里的昂贵玩具,变成生产者手里真正能用的工具。这个定位,比任何单项指标的领先,都更值得被认真对待。


🔗 参考文献:

https://huggingface.co/deepseek-ai/DeepSeek-V4-Pro/blob/main/DeepSeek_V4.pdf

不务正业的LLMer

  长按扫描二维码 关注我们获取更多资讯
NLPer|一个努力自我提升的“懒癌患者”聚焦前沿 AI 技术与云上 AI 应用落地的工程实践,涵盖机器学习、自然语言处理、计算机视觉、LLM 等方向。站在LLM的风口上,
欢迎关注,一起持续学习与进阶。

最新文章

随机文章

基本 文件 流程 错误 SQL 调试
  1. 请求信息 : 2026-04-24 20:55:21 HTTP/2.0 GET : https://67808.cn/a/483588.html
  2. 运行时间 : 0.263755s [ 吞吐率:3.79req/s ] 内存消耗:4,476.29kb 文件加载:140
  3. 缓存信息 : 0 reads,0 writes
  4. 会话信息 : SESSION_ID=793cf30fbe8133148e411d5e3eb707d5
  1. /yingpanguazai/ssd/ssd1/www/no.67808.cn/public/index.php ( 0.79 KB )
  2. /yingpanguazai/ssd/ssd1/www/no.67808.cn/vendor/autoload.php ( 0.17 KB )
  3. /yingpanguazai/ssd/ssd1/www/no.67808.cn/vendor/composer/autoload_real.php ( 2.49 KB )
  4. /yingpanguazai/ssd/ssd1/www/no.67808.cn/vendor/composer/platform_check.php ( 0.90 KB )
  5. /yingpanguazai/ssd/ssd1/www/no.67808.cn/vendor/composer/ClassLoader.php ( 14.03 KB )
  6. /yingpanguazai/ssd/ssd1/www/no.67808.cn/vendor/composer/autoload_static.php ( 4.90 KB )
  7. /yingpanguazai/ssd/ssd1/www/no.67808.cn/vendor/topthink/think-helper/src/helper.php ( 8.34 KB )
  8. /yingpanguazai/ssd/ssd1/www/no.67808.cn/vendor/topthink/think-validate/src/helper.php ( 2.19 KB )
  9. /yingpanguazai/ssd/ssd1/www/no.67808.cn/vendor/topthink/think-orm/src/helper.php ( 1.47 KB )
  10. /yingpanguazai/ssd/ssd1/www/no.67808.cn/vendor/topthink/think-orm/stubs/load_stubs.php ( 0.16 KB )
  11. /yingpanguazai/ssd/ssd1/www/no.67808.cn/vendor/topthink/framework/src/think/Exception.php ( 1.69 KB )
  12. /yingpanguazai/ssd/ssd1/www/no.67808.cn/vendor/topthink/think-container/src/Facade.php ( 2.71 KB )
  13. /yingpanguazai/ssd/ssd1/www/no.67808.cn/vendor/symfony/deprecation-contracts/function.php ( 0.99 KB )
  14. /yingpanguazai/ssd/ssd1/www/no.67808.cn/vendor/symfony/polyfill-mbstring/bootstrap.php ( 8.26 KB )
  15. /yingpanguazai/ssd/ssd1/www/no.67808.cn/vendor/symfony/polyfill-mbstring/bootstrap80.php ( 9.78 KB )
  16. /yingpanguazai/ssd/ssd1/www/no.67808.cn/vendor/symfony/var-dumper/Resources/functions/dump.php ( 1.49 KB )
  17. /yingpanguazai/ssd/ssd1/www/no.67808.cn/vendor/topthink/think-dumper/src/helper.php ( 0.18 KB )
  18. /yingpanguazai/ssd/ssd1/www/no.67808.cn/vendor/symfony/var-dumper/VarDumper.php ( 4.30 KB )
  19. /yingpanguazai/ssd/ssd1/www/no.67808.cn/vendor/topthink/framework/src/think/App.php ( 15.30 KB )
  20. /yingpanguazai/ssd/ssd1/www/no.67808.cn/vendor/topthink/think-container/src/Container.php ( 15.76 KB )
  21. /yingpanguazai/ssd/ssd1/www/no.67808.cn/vendor/psr/container/src/ContainerInterface.php ( 1.02 KB )
  22. /yingpanguazai/ssd/ssd1/www/no.67808.cn/app/provider.php ( 0.19 KB )
  23. /yingpanguazai/ssd/ssd1/www/no.67808.cn/vendor/topthink/framework/src/think/Http.php ( 6.04 KB )
  24. /yingpanguazai/ssd/ssd1/www/no.67808.cn/vendor/topthink/think-helper/src/helper/Str.php ( 7.29 KB )
  25. /yingpanguazai/ssd/ssd1/www/no.67808.cn/vendor/topthink/framework/src/think/Env.php ( 4.68 KB )
  26. /yingpanguazai/ssd/ssd1/www/no.67808.cn/app/common.php ( 0.03 KB )
  27. /yingpanguazai/ssd/ssd1/www/no.67808.cn/vendor/topthink/framework/src/helper.php ( 18.78 KB )
  28. /yingpanguazai/ssd/ssd1/www/no.67808.cn/vendor/topthink/framework/src/think/Config.php ( 5.54 KB )
  29. /yingpanguazai/ssd/ssd1/www/no.67808.cn/config/app.php ( 0.95 KB )
  30. /yingpanguazai/ssd/ssd1/www/no.67808.cn/config/cache.php ( 0.78 KB )
  31. /yingpanguazai/ssd/ssd1/www/no.67808.cn/config/console.php ( 0.23 KB )
  32. /yingpanguazai/ssd/ssd1/www/no.67808.cn/config/cookie.php ( 0.56 KB )
  33. /yingpanguazai/ssd/ssd1/www/no.67808.cn/config/database.php ( 2.48 KB )
  34. /yingpanguazai/ssd/ssd1/www/no.67808.cn/vendor/topthink/framework/src/think/facade/Env.php ( 1.67 KB )
  35. /yingpanguazai/ssd/ssd1/www/no.67808.cn/config/filesystem.php ( 0.61 KB )
  36. /yingpanguazai/ssd/ssd1/www/no.67808.cn/config/lang.php ( 0.91 KB )
  37. /yingpanguazai/ssd/ssd1/www/no.67808.cn/config/log.php ( 1.35 KB )
  38. /yingpanguazai/ssd/ssd1/www/no.67808.cn/config/middleware.php ( 0.19 KB )
  39. /yingpanguazai/ssd/ssd1/www/no.67808.cn/config/route.php ( 1.89 KB )
  40. /yingpanguazai/ssd/ssd1/www/no.67808.cn/config/session.php ( 0.57 KB )
  41. /yingpanguazai/ssd/ssd1/www/no.67808.cn/config/trace.php ( 0.34 KB )
  42. /yingpanguazai/ssd/ssd1/www/no.67808.cn/config/view.php ( 0.82 KB )
  43. /yingpanguazai/ssd/ssd1/www/no.67808.cn/app/event.php ( 0.25 KB )
  44. /yingpanguazai/ssd/ssd1/www/no.67808.cn/vendor/topthink/framework/src/think/Event.php ( 7.67 KB )
  45. /yingpanguazai/ssd/ssd1/www/no.67808.cn/app/service.php ( 0.13 KB )
  46. /yingpanguazai/ssd/ssd1/www/no.67808.cn/app/AppService.php ( 0.26 KB )
  47. /yingpanguazai/ssd/ssd1/www/no.67808.cn/vendor/topthink/framework/src/think/Service.php ( 1.64 KB )
  48. /yingpanguazai/ssd/ssd1/www/no.67808.cn/vendor/topthink/framework/src/think/Lang.php ( 7.35 KB )
  49. /yingpanguazai/ssd/ssd1/www/no.67808.cn/vendor/topthink/framework/src/lang/zh-cn.php ( 13.70 KB )
  50. /yingpanguazai/ssd/ssd1/www/no.67808.cn/vendor/topthink/framework/src/think/initializer/Error.php ( 3.31 KB )
  51. /yingpanguazai/ssd/ssd1/www/no.67808.cn/vendor/topthink/framework/src/think/initializer/RegisterService.php ( 1.33 KB )
  52. /yingpanguazai/ssd/ssd1/www/no.67808.cn/vendor/services.php ( 0.14 KB )
  53. /yingpanguazai/ssd/ssd1/www/no.67808.cn/vendor/topthink/framework/src/think/service/PaginatorService.php ( 1.52 KB )
  54. /yingpanguazai/ssd/ssd1/www/no.67808.cn/vendor/topthink/framework/src/think/service/ValidateService.php ( 0.99 KB )
  55. /yingpanguazai/ssd/ssd1/www/no.67808.cn/vendor/topthink/framework/src/think/service/ModelService.php ( 2.04 KB )
  56. /yingpanguazai/ssd/ssd1/www/no.67808.cn/vendor/topthink/think-trace/src/Service.php ( 0.77 KB )
  57. /yingpanguazai/ssd/ssd1/www/no.67808.cn/vendor/topthink/framework/src/think/Middleware.php ( 6.72 KB )
  58. /yingpanguazai/ssd/ssd1/www/no.67808.cn/vendor/topthink/framework/src/think/initializer/BootService.php ( 0.77 KB )
  59. /yingpanguazai/ssd/ssd1/www/no.67808.cn/vendor/topthink/think-orm/src/Paginator.php ( 11.86 KB )
  60. /yingpanguazai/ssd/ssd1/www/no.67808.cn/vendor/topthink/think-validate/src/Validate.php ( 63.20 KB )
  61. /yingpanguazai/ssd/ssd1/www/no.67808.cn/vendor/topthink/think-orm/src/Model.php ( 23.55 KB )
  62. /yingpanguazai/ssd/ssd1/www/no.67808.cn/vendor/topthink/think-orm/src/model/concern/Attribute.php ( 21.05 KB )
  63. /yingpanguazai/ssd/ssd1/www/no.67808.cn/vendor/topthink/think-orm/src/model/concern/AutoWriteData.php ( 4.21 KB )
  64. /yingpanguazai/ssd/ssd1/www/no.67808.cn/vendor/topthink/think-orm/src/model/concern/Conversion.php ( 6.44 KB )
  65. /yingpanguazai/ssd/ssd1/www/no.67808.cn/vendor/topthink/think-orm/src/model/concern/DbConnect.php ( 5.16 KB )
  66. /yingpanguazai/ssd/ssd1/www/no.67808.cn/vendor/topthink/think-orm/src/model/concern/ModelEvent.php ( 2.33 KB )
  67. /yingpanguazai/ssd/ssd1/www/no.67808.cn/vendor/topthink/think-orm/src/model/concern/RelationShip.php ( 28.29 KB )
  68. /yingpanguazai/ssd/ssd1/www/no.67808.cn/vendor/topthink/think-helper/src/contract/Arrayable.php ( 0.09 KB )
  69. /yingpanguazai/ssd/ssd1/www/no.67808.cn/vendor/topthink/think-helper/src/contract/Jsonable.php ( 0.13 KB )
  70. /yingpanguazai/ssd/ssd1/www/no.67808.cn/vendor/topthink/think-orm/src/model/contract/Modelable.php ( 0.09 KB )
  71. /yingpanguazai/ssd/ssd1/www/no.67808.cn/vendor/topthink/framework/src/think/Db.php ( 2.88 KB )
  72. /yingpanguazai/ssd/ssd1/www/no.67808.cn/vendor/topthink/think-orm/src/DbManager.php ( 8.52 KB )
  73. /yingpanguazai/ssd/ssd1/www/no.67808.cn/vendor/topthink/framework/src/think/Log.php ( 6.28 KB )
  74. /yingpanguazai/ssd/ssd1/www/no.67808.cn/vendor/topthink/framework/src/think/Manager.php ( 3.92 KB )
  75. /yingpanguazai/ssd/ssd1/www/no.67808.cn/vendor/psr/log/src/LoggerTrait.php ( 2.69 KB )
  76. /yingpanguazai/ssd/ssd1/www/no.67808.cn/vendor/psr/log/src/LoggerInterface.php ( 2.71 KB )
  77. /yingpanguazai/ssd/ssd1/www/no.67808.cn/vendor/topthink/framework/src/think/Cache.php ( 4.92 KB )
  78. /yingpanguazai/ssd/ssd1/www/no.67808.cn/vendor/psr/simple-cache/src/CacheInterface.php ( 4.71 KB )
  79. /yingpanguazai/ssd/ssd1/www/no.67808.cn/vendor/topthink/think-helper/src/helper/Arr.php ( 16.63 KB )
  80. /yingpanguazai/ssd/ssd1/www/no.67808.cn/vendor/topthink/framework/src/think/cache/driver/File.php ( 7.84 KB )
  81. /yingpanguazai/ssd/ssd1/www/no.67808.cn/vendor/topthink/framework/src/think/cache/Driver.php ( 9.03 KB )
  82. /yingpanguazai/ssd/ssd1/www/no.67808.cn/vendor/topthink/framework/src/think/contract/CacheHandlerInterface.php ( 1.99 KB )
  83. /yingpanguazai/ssd/ssd1/www/no.67808.cn/app/Request.php ( 0.09 KB )
  84. /yingpanguazai/ssd/ssd1/www/no.67808.cn/vendor/topthink/framework/src/think/Request.php ( 55.78 KB )
  85. /yingpanguazai/ssd/ssd1/www/no.67808.cn/app/middleware.php ( 0.25 KB )
  86. /yingpanguazai/ssd/ssd1/www/no.67808.cn/vendor/topthink/framework/src/think/Pipeline.php ( 2.61 KB )
  87. /yingpanguazai/ssd/ssd1/www/no.67808.cn/vendor/topthink/think-trace/src/TraceDebug.php ( 3.40 KB )
  88. /yingpanguazai/ssd/ssd1/www/no.67808.cn/vendor/topthink/framework/src/think/middleware/SessionInit.php ( 1.94 KB )
  89. /yingpanguazai/ssd/ssd1/www/no.67808.cn/vendor/topthink/framework/src/think/Session.php ( 1.80 KB )
  90. /yingpanguazai/ssd/ssd1/www/no.67808.cn/vendor/topthink/framework/src/think/session/driver/File.php ( 6.27 KB )
  91. /yingpanguazai/ssd/ssd1/www/no.67808.cn/vendor/topthink/framework/src/think/contract/SessionHandlerInterface.php ( 0.87 KB )
  92. /yingpanguazai/ssd/ssd1/www/no.67808.cn/vendor/topthink/framework/src/think/session/Store.php ( 7.12 KB )
  93. /yingpanguazai/ssd/ssd1/www/no.67808.cn/vendor/topthink/framework/src/think/Route.php ( 23.73 KB )
  94. /yingpanguazai/ssd/ssd1/www/no.67808.cn/vendor/topthink/framework/src/think/route/RuleName.php ( 5.75 KB )
  95. /yingpanguazai/ssd/ssd1/www/no.67808.cn/vendor/topthink/framework/src/think/route/Domain.php ( 2.53 KB )
  96. /yingpanguazai/ssd/ssd1/www/no.67808.cn/vendor/topthink/framework/src/think/route/RuleGroup.php ( 22.43 KB )
  97. /yingpanguazai/ssd/ssd1/www/no.67808.cn/vendor/topthink/framework/src/think/route/Rule.php ( 26.95 KB )
  98. /yingpanguazai/ssd/ssd1/www/no.67808.cn/vendor/topthink/framework/src/think/route/RuleItem.php ( 9.78 KB )
  99. /yingpanguazai/ssd/ssd1/www/no.67808.cn/route/app.php ( 1.72 KB )
  100. /yingpanguazai/ssd/ssd1/www/no.67808.cn/vendor/topthink/framework/src/think/facade/Route.php ( 4.70 KB )
  101. /yingpanguazai/ssd/ssd1/www/no.67808.cn/vendor/topthink/framework/src/think/route/dispatch/Controller.php ( 4.74 KB )
  102. /yingpanguazai/ssd/ssd1/www/no.67808.cn/vendor/topthink/framework/src/think/route/Dispatch.php ( 10.44 KB )
  103. /yingpanguazai/ssd/ssd1/www/no.67808.cn/app/controller/Index.php ( 4.81 KB )
  104. /yingpanguazai/ssd/ssd1/www/no.67808.cn/app/BaseController.php ( 2.05 KB )
  105. /yingpanguazai/ssd/ssd1/www/no.67808.cn/vendor/topthink/think-orm/src/facade/Db.php ( 0.93 KB )
  106. /yingpanguazai/ssd/ssd1/www/no.67808.cn/vendor/topthink/think-orm/src/db/connector/Mysql.php ( 5.44 KB )
  107. /yingpanguazai/ssd/ssd1/www/no.67808.cn/vendor/topthink/think-orm/src/db/PDOConnection.php ( 52.47 KB )
  108. /yingpanguazai/ssd/ssd1/www/no.67808.cn/vendor/topthink/think-orm/src/db/Connection.php ( 8.39 KB )
  109. /yingpanguazai/ssd/ssd1/www/no.67808.cn/vendor/topthink/think-orm/src/db/ConnectionInterface.php ( 4.57 KB )
  110. /yingpanguazai/ssd/ssd1/www/no.67808.cn/vendor/topthink/think-orm/src/db/builder/Mysql.php ( 16.58 KB )
  111. /yingpanguazai/ssd/ssd1/www/no.67808.cn/vendor/topthink/think-orm/src/db/Builder.php ( 24.06 KB )
  112. /yingpanguazai/ssd/ssd1/www/no.67808.cn/vendor/topthink/think-orm/src/db/BaseBuilder.php ( 27.50 KB )
  113. /yingpanguazai/ssd/ssd1/www/no.67808.cn/vendor/topthink/think-orm/src/db/Query.php ( 15.71 KB )
  114. /yingpanguazai/ssd/ssd1/www/no.67808.cn/vendor/topthink/think-orm/src/db/BaseQuery.php ( 45.13 KB )
  115. /yingpanguazai/ssd/ssd1/www/no.67808.cn/vendor/topthink/think-orm/src/db/concern/TimeFieldQuery.php ( 7.43 KB )
  116. /yingpanguazai/ssd/ssd1/www/no.67808.cn/vendor/topthink/think-orm/src/db/concern/AggregateQuery.php ( 3.26 KB )
  117. /yingpanguazai/ssd/ssd1/www/no.67808.cn/vendor/topthink/think-orm/src/db/concern/ModelRelationQuery.php ( 20.07 KB )
  118. /yingpanguazai/ssd/ssd1/www/no.67808.cn/vendor/topthink/think-orm/src/db/concern/ParamsBind.php ( 3.66 KB )
  119. /yingpanguazai/ssd/ssd1/www/no.67808.cn/vendor/topthink/think-orm/src/db/concern/ResultOperation.php ( 7.01 KB )
  120. /yingpanguazai/ssd/ssd1/www/no.67808.cn/vendor/topthink/think-orm/src/db/concern/WhereQuery.php ( 19.37 KB )
  121. /yingpanguazai/ssd/ssd1/www/no.67808.cn/vendor/topthink/think-orm/src/db/concern/JoinAndViewQuery.php ( 7.11 KB )
  122. /yingpanguazai/ssd/ssd1/www/no.67808.cn/vendor/topthink/think-orm/src/db/concern/TableFieldInfo.php ( 2.63 KB )
  123. /yingpanguazai/ssd/ssd1/www/no.67808.cn/vendor/topthink/think-orm/src/db/concern/Transaction.php ( 2.77 KB )
  124. /yingpanguazai/ssd/ssd1/www/no.67808.cn/vendor/topthink/framework/src/think/log/driver/File.php ( 5.96 KB )
  125. /yingpanguazai/ssd/ssd1/www/no.67808.cn/vendor/topthink/framework/src/think/contract/LogHandlerInterface.php ( 0.86 KB )
  126. /yingpanguazai/ssd/ssd1/www/no.67808.cn/vendor/topthink/framework/src/think/log/Channel.php ( 3.89 KB )
  127. /yingpanguazai/ssd/ssd1/www/no.67808.cn/vendor/topthink/framework/src/think/event/LogRecord.php ( 1.02 KB )
  128. /yingpanguazai/ssd/ssd1/www/no.67808.cn/vendor/topthink/think-helper/src/Collection.php ( 16.47 KB )
  129. /yingpanguazai/ssd/ssd1/www/no.67808.cn/vendor/topthink/framework/src/think/facade/View.php ( 1.70 KB )
  130. /yingpanguazai/ssd/ssd1/www/no.67808.cn/vendor/topthink/framework/src/think/View.php ( 4.39 KB )
  131. /yingpanguazai/ssd/ssd1/www/no.67808.cn/vendor/topthink/framework/src/think/Response.php ( 8.81 KB )
  132. /yingpanguazai/ssd/ssd1/www/no.67808.cn/vendor/topthink/framework/src/think/response/View.php ( 3.29 KB )
  133. /yingpanguazai/ssd/ssd1/www/no.67808.cn/vendor/topthink/framework/src/think/Cookie.php ( 6.06 KB )
  134. /yingpanguazai/ssd/ssd1/www/no.67808.cn/vendor/topthink/think-view/src/Think.php ( 8.38 KB )
  135. /yingpanguazai/ssd/ssd1/www/no.67808.cn/vendor/topthink/framework/src/think/contract/TemplateHandlerInterface.php ( 1.60 KB )
  136. /yingpanguazai/ssd/ssd1/www/no.67808.cn/vendor/topthink/think-template/src/Template.php ( 46.61 KB )
  137. /yingpanguazai/ssd/ssd1/www/no.67808.cn/vendor/topthink/think-template/src/template/driver/File.php ( 2.41 KB )
  138. /yingpanguazai/ssd/ssd1/www/no.67808.cn/vendor/topthink/think-template/src/template/contract/DriverInterface.php ( 0.86 KB )
  139. /yingpanguazai/ssd/ssd1/www/no.67808.cn/runtime/temp/6df755f970a38e704c5414acbc6e8bcd.php ( 12.06 KB )
  140. /yingpanguazai/ssd/ssd1/www/no.67808.cn/vendor/topthink/think-trace/src/Html.php ( 4.42 KB )
  1. CONNECT:[ UseTime:0.001135s ] mysql:host=127.0.0.1;port=3306;dbname=no_67808;charset=utf8mb4
  2. SHOW FULL COLUMNS FROM `fenlei` [ RunTime:0.001463s ]
  3. SELECT * FROM `fenlei` WHERE `fid` = 0 [ RunTime:0.007963s ]
  4. SELECT * FROM `fenlei` WHERE `fid` = 63 [ RunTime:0.000680s ]
  5. SHOW FULL COLUMNS FROM `set` [ RunTime:0.001419s ]
  6. SELECT * FROM `set` [ RunTime:0.002101s ]
  7. SHOW FULL COLUMNS FROM `article` [ RunTime:0.001572s ]
  8. SELECT * FROM `article` WHERE `id` = 483588 LIMIT 1 [ RunTime:0.004720s ]
  9. UPDATE `article` SET `lasttime` = 1777035321 WHERE `id` = 483588 [ RunTime:0.005155s ]
  10. SELECT * FROM `fenlei` WHERE `id` = 65 LIMIT 1 [ RunTime:0.001009s ]
  11. SELECT * FROM `article` WHERE `id` < 483588 ORDER BY `id` DESC LIMIT 1 [ RunTime:0.001487s ]
  12. SELECT * FROM `article` WHERE `id` > 483588 ORDER BY `id` ASC LIMIT 1 [ RunTime:0.001791s ]
  13. SELECT * FROM `article` WHERE `id` < 483588 ORDER BY `id` DESC LIMIT 10 [ RunTime:0.025092s ]
  14. SELECT * FROM `article` WHERE `id` < 483588 ORDER BY `id` DESC LIMIT 10,10 [ RunTime:0.006383s ]
  15. SELECT * FROM `article` WHERE `id` < 483588 ORDER BY `id` DESC LIMIT 20,10 [ RunTime:0.025454s ]
0.266751s