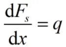
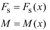
为了描写剪力与弯矩沿梁轴的变化情况,沿梁轴选取坐标x表示横截面的位置,并建立剪力、弯矩与坐标x间的解析关系式,即
分别称为剪力方程与弯矩方程。
以纵坐标表示剪力(Fs)与弯矩(M),横坐标x表示梁横截面的位置,得到的剪力和弯矩的变化曲线,称为剪力和弯矩图。
例1:试列出图示悬臂梁的剪力、弯矩方程,并作梁的Fs、M 图。
作剪力、弯矩图:
小结:(1)对于悬臂梁,不必求反力; (2)悬臂梁自由端,无力偶作用时,M = 0。
例2:试列出图示悬臂梁的剪力、弯矩方程,并作梁的Fs、M 图。
由例2总结得到:均布载荷区域,Fs为斜直线,斜率为载荷集度q; 均布载荷区域,M为二次抛物线;端部铰链处,M = 0;M 为极值点处,FS = 0。
例3:试列出图示悬臂梁的剪力、弯矩方程,并作梁的Fs、M 图。

作剪力、弯矩图:
由例3总结得到:在集中力作用处(包括支座) 剪力有突变,弯矩斜率有突变。
例4:试列出图示悬臂梁的剪力、弯矩方程,并作梁的Fs、M 图。
作剪力、弯矩图:
由例4,可总结得到:在集中力偶作用处:剪力没变化,弯矩有突变。
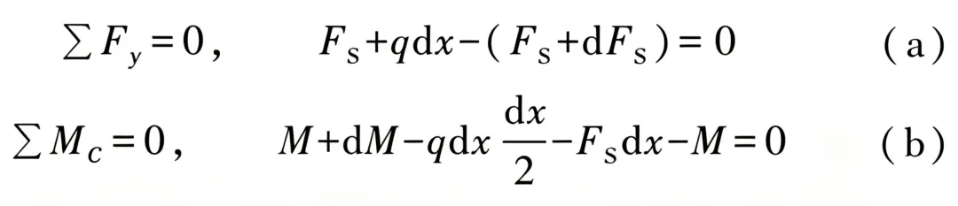
图(a)所示的梁,承受集度为q=q(x)的分布载荷作用。这里,坐标轴x的正向为自左向右,载荷集度则规定为方向向上者为正。为了研究剪力与弯矩沿梁轴的变化,用坐标分别为x与x+dx的横截面从梁中切取一微段进行分析。
如图(b)所示,设截面x的内力为Fs与M,由于梁上仅作用连续变化的分布载荷,内力沿梁轴连续变化,因此,截面x+dx的内力为Fs+dFs与M+dM。此外,在该微段上还作用有集度为q(x)的分布载荷。
在上述各力作用下,微段处于平衡状态,平衡方程为
由式(a),得:
由式(b)并略去二阶微量,得:
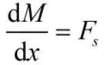
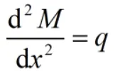
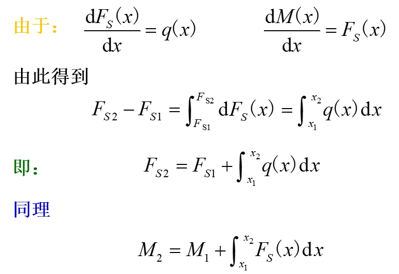
根据以上两式,可得:
上述关系式表明:剪力图某点处的切线斜率,等于相应截面处的载荷集度;弯矩图某点处的切线斜率,等于相应截面处的剪力;而弯矩图某点处的二阶导数,则等于相应截面处的载荷集度。
下图为剪力、弯矩与外力间的关系。
重点:在集中力作用处Fs图有突变,M图的斜率也发生突变,也就是出现尖角 ;在集中力偶作用处M图有突变,Fs图无特殊变化。
根据剪力、弯矩与载荷集度间的微分、积分关系,求下列例题的剪力图、弯矩图。1、刚架
在工程实际中,有些杆系结构用刚硬的接头连接杆件而成,如下图中的结构。
利用刚性接头连接杆件所组成的结构,称为刚架。在刚性接头处,相连杆端间的夹角在受力时不变。即刚性接头不仅能传递力,而且能传递力偶矩。
轴线位于同一平面、且各横截面的纵向对称轴均位于该平面的刚架,称为平面刚架。现以实例研究平面刚架在其轴线平面内受力时的内力。
(2)求剪力、弯矩方程并作图:
可以看出,刚架的剪力、弯矩与载荷集度之间,同样应满足前述微分关系。
在工程应用中,通常将弯矩图中与弯矩相对应的点,画在该弯矩所在横截面弯曲时受压的一侧,在这种情况下,弯矩图中可不必注明正负符号。
2、曲杆
轴线为曲线的杆件称为曲杆, 内力情况及绘制方法与平面刚架相同。
例:如下图,已知P及R。试绘制剪力、弯矩、轴力图。
作剪力、弯矩、轴力图: