当前位置:首页>学习笔记>学习笔记:《空间经济学》藤田昌久+克鲁格曼+维纳布尔斯 PART 1

学习笔记:《空间经济学》藤田昌久+克鲁格曼+维纳布尔斯 PART 1

  • 2026-05-10 16:35:07
学习笔记:《空间经济学》藤田昌久+克鲁格曼+维纳布尔斯 PART 1
为了开展个人的研究,我开始学习新经济地理学的理论。其中,藤田昌久、保罗·克鲁格曼和安东尼·维纳布尔斯合著的这本书可能最具权威性。可惜我的经济学基础薄弱,尤其是理论方面,因此阅读这本书对我来说将是一个巨大的挑战。不过,好消息是我已经读完了几个章节,并决定继续一点一点地读下去。

在这里,我想把学习心得写成一系列文章,与潜在的读者分享我的观点,同时也记录自己的学习进度,以免到头来什么都记不住。这些记录和原文不同——我有点懒,不想把公式全部写出来。所以我会略去一些不重要的公式,更专注于个人的理解;我也会尽量写得短一些,让文章更易阅读。不过我并非经济学专家,如果文章里有理解不当的地方,请随时指出。


由于涉及数学模型的内容从第三章开始,因此我想从这一章写起。在第三章的开头,作者提到了杜能环与中心地理论。这两者其实属于基础和经验知识的范畴,我也想跳过它们,直接进入最重要的两个部分:基础乘数分析,以及有关分岔模型的附录部分。

在基础乘数分析(Base-multiplier analysis)的部分中,作者首先给出了一个公式,描述了一个地区总收入(Y)与来自出口(即基础部门)的收入(X)之间的关系,并假设收入的一部分(a)会反复用于本地的非基础产品:    

(3.1)

我第一次看到上面的公式时,真的非常困惑。其实这很惭愧,我本应立刻理解的,但我已经很久没有接触数学了,因为上面的等式等价于下面这个无穷级数:

随后,作者指出比例“a”实际上并非常数。随着当地经济的增长,商品种类也会增加,因而支出也会增长。因此,作者将“a”定义为一个取决于的变量,即a=αY。然而,“a”不可能无限增长,因此作者还设定了一个阈值a̅,并给出了以下等式:

(3.2)

a=αY替代(3.1)式中的“a”,则等式变为:

(3.3)

通过解方程(3.3),我们可以得到:

(3.4)

同时我们也可以设定使用a的最大值(a̅的线性函数,

(3.5)

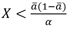
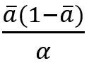
作者给出了(3.4)(3.5)函数的解的图像。从图1中我们可以看到(3.4)的上半部分(±+)(3.5)的直线相交,其对应的X值可以表示为(3.4)X的极限为1/4α。该图的解释是:当时,存在唯一的平衡点;当时,平衡不稳定;当X > 1/4α 时,解只能在式(3.5) 的线性模型中找到。

我不想过多讨论书中该图的细节,但有一点需要提到:作者解释,理论上,抛物线的上升直到1/4α 才会出现跳跃,直线的下降也是直到 才会出现跳跃。

尽管作者说该模型仍存在问题,而且没有在第三章中详细讨论其实际意义,但我还是想分享一下对这张图的个人思考。我认为该模型的机制可以这样解释:在高度发达的社会中,消费习惯已在文化上根深蒂固,因此出口下降不会立刻导致总收入崩溃,正所谓由俭入奢易,由奢入俭难。但当出口跌破临界点时,危机便可能出现。同样,这一逻辑也适用于抛物线的上升段,即一个社会消费习惯的建立可能是一个漫长的过程。不过需要注意的是,在数字时代,消费习惯已与二十世纪截然不同。我们几乎可以从任何地方在线购买商品,因此交汇点的位置可能已经发生了变化。不过,我尚未深入研究各种可能的情况,所以就此打住,由此进入下一部分。

在第三章附录中,作者进一步讨论了分岔模型(Bifurcation models),该模型以双地点模式为例。在该模型中,一个地点的制造业份额定义为λ,另一个地点的制造业份额定义为1-λ0<λ<1)。λ的变化率,即dλ/dt,或如书中所定义的,由以下公式表示。

(3A.1)

在这个函数中,令B=0,则变化率将呈直线变化。但作者显然不满足于如此简单的模型。他们认为当λ接近0.5时,可能会波动,即变化率的变化率可能不稳定,此时三次函数可以自然地拟合这种情况。因此,基本问题就成了找到当时函数的根,此时根可以是0.5。当B<0A<0时,显然除了中点之外,不存在实数根。当B<0 A>0 时,除了0.5 之外还有两个根,但它们的取值范围只能在之间(因为0<λ<1)

因此,当B<0时,随着的变化,即把λ 看作的函数(λ~A),也就是,λ 的值会在A=0 处发生分岔,这种分岔图被称为叉形分岔(Pitchfork bifurcation,图3)。然而,当B>0 时,λ 随的变化呈现出完全不同的图像,就像叉形分岔图中的实线进行了图底转换一样,这种分岔被称为斧形分岔(Tomahawk bifurcation,图4)

这一度令我百思不得其解,并且附录几乎没有提供任何关于该模型实际意义的线索。直到现在,我仍然无法说是完全理解了这两个图。我唯一能做的就是给出我对这些函数的解释,即使我仍暂时不确定这些函数是否适用于经济分析。个人认为,理解这两个图表的关键在于书中的这句话:

“如果λ从中心吸引地之外开始,所有活动最终都会集中在其中一个区域,要么达到λ=0(且dλ/dt<0)的均衡状态,要么达到λ=1(且dλ/dt>0)的均衡状态。”

虽然对于参数AB书中没有详细的解释,但我认为可以合理地这样理解它们:B是反映经济因素影响的指标,而A是代表非经济因素(或者说社会因素)的指标。因为在纯粹的经济影响下,考虑到中点附近的稳定性,λ 的变化率确实可以被视为一个简单的三次函数,即在中点附近趋缓,而社会因素则可能对经济趋势起到促进或阻碍作用。

我的解释具体是这样的。考虑斧形分岔的情况:当B>0 A>0 时,即该产业在经济和社会层面都受到某个地区的欢迎,鉴于作者认为产业只能从一个地方开始集中,图4右侧的 λ 值只能是0。当逐渐变为负值,即该产业逐渐受到社会排斥时,产业集聚开始向另一个地区转移。当足够小(A<0)时,即该产业在社会层面上极不受欢迎,平衡点只能出现在两个地区之间的中间点,即0.5。实际上叉形分岔的逻辑也是如此。在图3中从右至左,当B<0 A>>0 时,即某个产业经济上不受欢迎但社会上极受欢迎时,λ 的值也位于之间。随着逐渐减小,经济方面的离心力开始将产业推向另一区域。最终,当产业同时受到两个区域的排斥时,λ 的值最终位于中间点。在我看来,这种逻辑也是这两个图互为图底的原因。

有趣的是,在斧形分岔中,也存在类似于基础-乘数模型的中值的跃迁,而在叉形分岔中则不存在跃迁。然而,这并非无法解释。当社会力量与经济力量方向相反时,就会出现阻力(在我的解释中,在斧形分岔中,这种阻力来自经济,但也可能是相反的状况)。而当社会力量与经济力量方向一致时,社会因素可以瞬间引发分岔,且不会产生任何阻力。这一逻辑也支持我对基础-乘数模型的解释,即社会的消费习惯能够抵抗基础部门的衰退,也就是说,二者方向相反且互相产生了拮抗。


最后,作为题外话,我还想分享一个我朋友讲的一个有趣的案例——Chooz核电站,纯粹是为了娱乐,有兴趣的读者可自行搜索。或许这个案例与本文主题关系不大,但我想表达的是,在真实的地理环境中存在一些特殊的解决方案,即使某些解决方案在社会层面可能会给当地居民带来不便。

目前我还在阅读第四章,希望以后能继续在这里分享更多有价值的内容,无论对我还是对各位读者。

20263月于广州

最新文章

随机文章

基本 文件 流程 错误 SQL 调试
  1. 请求信息 : 2026-05-12 23:35:40 HTTP/2.0 GET : https://67808.cn/a/478070.html
  2. 运行时间 : 0.108121s [ 吞吐率:9.25req/s ] 内存消耗:4,361.59kb 文件加载:140
  3. 缓存信息 : 0 reads,0 writes
  4. 会话信息 : SESSION_ID=222a78b5bb82077d9a95beae2d0eb2f9
  1. /yingpanguazai/ssd/ssd1/www/no.67808.cn/public/index.php ( 0.79 KB )
  2. /yingpanguazai/ssd/ssd1/www/no.67808.cn/vendor/autoload.php ( 0.17 KB )
  3. /yingpanguazai/ssd/ssd1/www/no.67808.cn/vendor/composer/autoload_real.php ( 2.49 KB )
  4. /yingpanguazai/ssd/ssd1/www/no.67808.cn/vendor/composer/platform_check.php ( 0.90 KB )
  5. /yingpanguazai/ssd/ssd1/www/no.67808.cn/vendor/composer/ClassLoader.php ( 14.03 KB )
  6. /yingpanguazai/ssd/ssd1/www/no.67808.cn/vendor/composer/autoload_static.php ( 4.90 KB )
  7. /yingpanguazai/ssd/ssd1/www/no.67808.cn/vendor/topthink/think-helper/src/helper.php ( 8.34 KB )
  8. /yingpanguazai/ssd/ssd1/www/no.67808.cn/vendor/topthink/think-validate/src/helper.php ( 2.19 KB )
  9. /yingpanguazai/ssd/ssd1/www/no.67808.cn/vendor/topthink/think-orm/src/helper.php ( 1.47 KB )
  10. /yingpanguazai/ssd/ssd1/www/no.67808.cn/vendor/topthink/think-orm/stubs/load_stubs.php ( 0.16 KB )
  11. /yingpanguazai/ssd/ssd1/www/no.67808.cn/vendor/topthink/framework/src/think/Exception.php ( 1.69 KB )
  12. /yingpanguazai/ssd/ssd1/www/no.67808.cn/vendor/topthink/think-container/src/Facade.php ( 2.71 KB )
  13. /yingpanguazai/ssd/ssd1/www/no.67808.cn/vendor/symfony/deprecation-contracts/function.php ( 0.99 KB )
  14. /yingpanguazai/ssd/ssd1/www/no.67808.cn/vendor/symfony/polyfill-mbstring/bootstrap.php ( 8.26 KB )
  15. /yingpanguazai/ssd/ssd1/www/no.67808.cn/vendor/symfony/polyfill-mbstring/bootstrap80.php ( 9.78 KB )
  16. /yingpanguazai/ssd/ssd1/www/no.67808.cn/vendor/symfony/var-dumper/Resources/functions/dump.php ( 1.49 KB )
  17. /yingpanguazai/ssd/ssd1/www/no.67808.cn/vendor/topthink/think-dumper/src/helper.php ( 0.18 KB )
  18. /yingpanguazai/ssd/ssd1/www/no.67808.cn/vendor/symfony/var-dumper/VarDumper.php ( 4.30 KB )
  19. /yingpanguazai/ssd/ssd1/www/no.67808.cn/vendor/topthink/framework/src/think/App.php ( 15.30 KB )
  20. /yingpanguazai/ssd/ssd1/www/no.67808.cn/vendor/topthink/think-container/src/Container.php ( 15.76 KB )
  21. /yingpanguazai/ssd/ssd1/www/no.67808.cn/vendor/psr/container/src/ContainerInterface.php ( 1.02 KB )
  22. /yingpanguazai/ssd/ssd1/www/no.67808.cn/app/provider.php ( 0.19 KB )
  23. /yingpanguazai/ssd/ssd1/www/no.67808.cn/vendor/topthink/framework/src/think/Http.php ( 6.04 KB )
  24. /yingpanguazai/ssd/ssd1/www/no.67808.cn/vendor/topthink/think-helper/src/helper/Str.php ( 7.29 KB )
  25. /yingpanguazai/ssd/ssd1/www/no.67808.cn/vendor/topthink/framework/src/think/Env.php ( 4.68 KB )
  26. /yingpanguazai/ssd/ssd1/www/no.67808.cn/app/common.php ( 0.03 KB )
  27. /yingpanguazai/ssd/ssd1/www/no.67808.cn/vendor/topthink/framework/src/helper.php ( 18.78 KB )
  28. /yingpanguazai/ssd/ssd1/www/no.67808.cn/vendor/topthink/framework/src/think/Config.php ( 5.54 KB )
  29. /yingpanguazai/ssd/ssd1/www/no.67808.cn/config/app.php ( 0.95 KB )
  30. /yingpanguazai/ssd/ssd1/www/no.67808.cn/config/cache.php ( 0.78 KB )
  31. /yingpanguazai/ssd/ssd1/www/no.67808.cn/config/console.php ( 0.23 KB )
  32. /yingpanguazai/ssd/ssd1/www/no.67808.cn/config/cookie.php ( 0.56 KB )
  33. /yingpanguazai/ssd/ssd1/www/no.67808.cn/config/database.php ( 2.48 KB )
  34. /yingpanguazai/ssd/ssd1/www/no.67808.cn/vendor/topthink/framework/src/think/facade/Env.php ( 1.67 KB )
  35. /yingpanguazai/ssd/ssd1/www/no.67808.cn/config/filesystem.php ( 0.61 KB )
  36. /yingpanguazai/ssd/ssd1/www/no.67808.cn/config/lang.php ( 0.91 KB )
  37. /yingpanguazai/ssd/ssd1/www/no.67808.cn/config/log.php ( 1.35 KB )
  38. /yingpanguazai/ssd/ssd1/www/no.67808.cn/config/middleware.php ( 0.19 KB )
  39. /yingpanguazai/ssd/ssd1/www/no.67808.cn/config/route.php ( 1.89 KB )
  40. /yingpanguazai/ssd/ssd1/www/no.67808.cn/config/session.php ( 0.57 KB )
  41. /yingpanguazai/ssd/ssd1/www/no.67808.cn/config/trace.php ( 0.34 KB )
  42. /yingpanguazai/ssd/ssd1/www/no.67808.cn/config/view.php ( 0.82 KB )
  43. /yingpanguazai/ssd/ssd1/www/no.67808.cn/app/event.php ( 0.25 KB )
  44. /yingpanguazai/ssd/ssd1/www/no.67808.cn/vendor/topthink/framework/src/think/Event.php ( 7.67 KB )
  45. /yingpanguazai/ssd/ssd1/www/no.67808.cn/app/service.php ( 0.13 KB )
  46. /yingpanguazai/ssd/ssd1/www/no.67808.cn/app/AppService.php ( 0.26 KB )
  47. /yingpanguazai/ssd/ssd1/www/no.67808.cn/vendor/topthink/framework/src/think/Service.php ( 1.64 KB )
  48. /yingpanguazai/ssd/ssd1/www/no.67808.cn/vendor/topthink/framework/src/think/Lang.php ( 7.35 KB )
  49. /yingpanguazai/ssd/ssd1/www/no.67808.cn/vendor/topthink/framework/src/lang/zh-cn.php ( 13.70 KB )
  50. /yingpanguazai/ssd/ssd1/www/no.67808.cn/vendor/topthink/framework/src/think/initializer/Error.php ( 3.31 KB )
  51. /yingpanguazai/ssd/ssd1/www/no.67808.cn/vendor/topthink/framework/src/think/initializer/RegisterService.php ( 1.33 KB )
  52. /yingpanguazai/ssd/ssd1/www/no.67808.cn/vendor/services.php ( 0.14 KB )
  53. /yingpanguazai/ssd/ssd1/www/no.67808.cn/vendor/topthink/framework/src/think/service/PaginatorService.php ( 1.52 KB )
  54. /yingpanguazai/ssd/ssd1/www/no.67808.cn/vendor/topthink/framework/src/think/service/ValidateService.php ( 0.99 KB )
  55. /yingpanguazai/ssd/ssd1/www/no.67808.cn/vendor/topthink/framework/src/think/service/ModelService.php ( 2.04 KB )
  56. /yingpanguazai/ssd/ssd1/www/no.67808.cn/vendor/topthink/think-trace/src/Service.php ( 0.77 KB )
  57. /yingpanguazai/ssd/ssd1/www/no.67808.cn/vendor/topthink/framework/src/think/Middleware.php ( 6.72 KB )
  58. /yingpanguazai/ssd/ssd1/www/no.67808.cn/vendor/topthink/framework/src/think/initializer/BootService.php ( 0.77 KB )
  59. /yingpanguazai/ssd/ssd1/www/no.67808.cn/vendor/topthink/think-orm/src/Paginator.php ( 11.86 KB )
  60. /yingpanguazai/ssd/ssd1/www/no.67808.cn/vendor/topthink/think-validate/src/Validate.php ( 63.20 KB )
  61. /yingpanguazai/ssd/ssd1/www/no.67808.cn/vendor/topthink/think-orm/src/Model.php ( 23.55 KB )
  62. /yingpanguazai/ssd/ssd1/www/no.67808.cn/vendor/topthink/think-orm/src/model/concern/Attribute.php ( 21.05 KB )
  63. /yingpanguazai/ssd/ssd1/www/no.67808.cn/vendor/topthink/think-orm/src/model/concern/AutoWriteData.php ( 4.21 KB )
  64. /yingpanguazai/ssd/ssd1/www/no.67808.cn/vendor/topthink/think-orm/src/model/concern/Conversion.php ( 6.44 KB )
  65. /yingpanguazai/ssd/ssd1/www/no.67808.cn/vendor/topthink/think-orm/src/model/concern/DbConnect.php ( 5.16 KB )
  66. /yingpanguazai/ssd/ssd1/www/no.67808.cn/vendor/topthink/think-orm/src/model/concern/ModelEvent.php ( 2.33 KB )
  67. /yingpanguazai/ssd/ssd1/www/no.67808.cn/vendor/topthink/think-orm/src/model/concern/RelationShip.php ( 28.29 KB )
  68. /yingpanguazai/ssd/ssd1/www/no.67808.cn/vendor/topthink/think-helper/src/contract/Arrayable.php ( 0.09 KB )
  69. /yingpanguazai/ssd/ssd1/www/no.67808.cn/vendor/topthink/think-helper/src/contract/Jsonable.php ( 0.13 KB )
  70. /yingpanguazai/ssd/ssd1/www/no.67808.cn/vendor/topthink/think-orm/src/model/contract/Modelable.php ( 0.09 KB )
  71. /yingpanguazai/ssd/ssd1/www/no.67808.cn/vendor/topthink/framework/src/think/Db.php ( 2.88 KB )
  72. /yingpanguazai/ssd/ssd1/www/no.67808.cn/vendor/topthink/think-orm/src/DbManager.php ( 8.52 KB )
  73. /yingpanguazai/ssd/ssd1/www/no.67808.cn/vendor/topthink/framework/src/think/Log.php ( 6.28 KB )
  74. /yingpanguazai/ssd/ssd1/www/no.67808.cn/vendor/topthink/framework/src/think/Manager.php ( 3.92 KB )
  75. /yingpanguazai/ssd/ssd1/www/no.67808.cn/vendor/psr/log/src/LoggerTrait.php ( 2.69 KB )
  76. /yingpanguazai/ssd/ssd1/www/no.67808.cn/vendor/psr/log/src/LoggerInterface.php ( 2.71 KB )
  77. /yingpanguazai/ssd/ssd1/www/no.67808.cn/vendor/topthink/framework/src/think/Cache.php ( 4.92 KB )
  78. /yingpanguazai/ssd/ssd1/www/no.67808.cn/vendor/psr/simple-cache/src/CacheInterface.php ( 4.71 KB )
  79. /yingpanguazai/ssd/ssd1/www/no.67808.cn/vendor/topthink/think-helper/src/helper/Arr.php ( 16.63 KB )
  80. /yingpanguazai/ssd/ssd1/www/no.67808.cn/vendor/topthink/framework/src/think/cache/driver/File.php ( 7.84 KB )
  81. /yingpanguazai/ssd/ssd1/www/no.67808.cn/vendor/topthink/framework/src/think/cache/Driver.php ( 9.03 KB )
  82. /yingpanguazai/ssd/ssd1/www/no.67808.cn/vendor/topthink/framework/src/think/contract/CacheHandlerInterface.php ( 1.99 KB )
  83. /yingpanguazai/ssd/ssd1/www/no.67808.cn/app/Request.php ( 0.09 KB )
  84. /yingpanguazai/ssd/ssd1/www/no.67808.cn/vendor/topthink/framework/src/think/Request.php ( 55.78 KB )
  85. /yingpanguazai/ssd/ssd1/www/no.67808.cn/app/middleware.php ( 0.25 KB )
  86. /yingpanguazai/ssd/ssd1/www/no.67808.cn/vendor/topthink/framework/src/think/Pipeline.php ( 2.61 KB )
  87. /yingpanguazai/ssd/ssd1/www/no.67808.cn/vendor/topthink/think-trace/src/TraceDebug.php ( 3.40 KB )
  88. /yingpanguazai/ssd/ssd1/www/no.67808.cn/vendor/topthink/framework/src/think/middleware/SessionInit.php ( 1.94 KB )
  89. /yingpanguazai/ssd/ssd1/www/no.67808.cn/vendor/topthink/framework/src/think/Session.php ( 1.80 KB )
  90. /yingpanguazai/ssd/ssd1/www/no.67808.cn/vendor/topthink/framework/src/think/session/driver/File.php ( 6.27 KB )
  91. /yingpanguazai/ssd/ssd1/www/no.67808.cn/vendor/topthink/framework/src/think/contract/SessionHandlerInterface.php ( 0.87 KB )
  92. /yingpanguazai/ssd/ssd1/www/no.67808.cn/vendor/topthink/framework/src/think/session/Store.php ( 7.12 KB )
  93. /yingpanguazai/ssd/ssd1/www/no.67808.cn/vendor/topthink/framework/src/think/Route.php ( 23.73 KB )
  94. /yingpanguazai/ssd/ssd1/www/no.67808.cn/vendor/topthink/framework/src/think/route/RuleName.php ( 5.75 KB )
  95. /yingpanguazai/ssd/ssd1/www/no.67808.cn/vendor/topthink/framework/src/think/route/Domain.php ( 2.53 KB )
  96. /yingpanguazai/ssd/ssd1/www/no.67808.cn/vendor/topthink/framework/src/think/route/RuleGroup.php ( 22.43 KB )
  97. /yingpanguazai/ssd/ssd1/www/no.67808.cn/vendor/topthink/framework/src/think/route/Rule.php ( 26.95 KB )
  98. /yingpanguazai/ssd/ssd1/www/no.67808.cn/vendor/topthink/framework/src/think/route/RuleItem.php ( 9.78 KB )
  99. /yingpanguazai/ssd/ssd1/www/no.67808.cn/route/app.php ( 1.72 KB )
  100. /yingpanguazai/ssd/ssd1/www/no.67808.cn/vendor/topthink/framework/src/think/facade/Route.php ( 4.70 KB )
  101. /yingpanguazai/ssd/ssd1/www/no.67808.cn/vendor/topthink/framework/src/think/route/dispatch/Controller.php ( 4.74 KB )
  102. /yingpanguazai/ssd/ssd1/www/no.67808.cn/vendor/topthink/framework/src/think/route/Dispatch.php ( 10.44 KB )
  103. /yingpanguazai/ssd/ssd1/www/no.67808.cn/app/controller/Index.php ( 4.81 KB )
  104. /yingpanguazai/ssd/ssd1/www/no.67808.cn/app/BaseController.php ( 2.05 KB )
  105. /yingpanguazai/ssd/ssd1/www/no.67808.cn/vendor/topthink/think-orm/src/facade/Db.php ( 0.93 KB )
  106. /yingpanguazai/ssd/ssd1/www/no.67808.cn/vendor/topthink/think-orm/src/db/connector/Mysql.php ( 5.44 KB )
  107. /yingpanguazai/ssd/ssd1/www/no.67808.cn/vendor/topthink/think-orm/src/db/PDOConnection.php ( 52.47 KB )
  108. /yingpanguazai/ssd/ssd1/www/no.67808.cn/vendor/topthink/think-orm/src/db/Connection.php ( 8.39 KB )
  109. /yingpanguazai/ssd/ssd1/www/no.67808.cn/vendor/topthink/think-orm/src/db/ConnectionInterface.php ( 4.57 KB )
  110. /yingpanguazai/ssd/ssd1/www/no.67808.cn/vendor/topthink/think-orm/src/db/builder/Mysql.php ( 16.58 KB )
  111. /yingpanguazai/ssd/ssd1/www/no.67808.cn/vendor/topthink/think-orm/src/db/Builder.php ( 24.06 KB )
  112. /yingpanguazai/ssd/ssd1/www/no.67808.cn/vendor/topthink/think-orm/src/db/BaseBuilder.php ( 27.50 KB )
  113. /yingpanguazai/ssd/ssd1/www/no.67808.cn/vendor/topthink/think-orm/src/db/Query.php ( 15.71 KB )
  114. /yingpanguazai/ssd/ssd1/www/no.67808.cn/vendor/topthink/think-orm/src/db/BaseQuery.php ( 45.13 KB )
  115. /yingpanguazai/ssd/ssd1/www/no.67808.cn/vendor/topthink/think-orm/src/db/concern/TimeFieldQuery.php ( 7.43 KB )
  116. /yingpanguazai/ssd/ssd1/www/no.67808.cn/vendor/topthink/think-orm/src/db/concern/AggregateQuery.php ( 3.26 KB )
  117. /yingpanguazai/ssd/ssd1/www/no.67808.cn/vendor/topthink/think-orm/src/db/concern/ModelRelationQuery.php ( 20.07 KB )
  118. /yingpanguazai/ssd/ssd1/www/no.67808.cn/vendor/topthink/think-orm/src/db/concern/ParamsBind.php ( 3.66 KB )
  119. /yingpanguazai/ssd/ssd1/www/no.67808.cn/vendor/topthink/think-orm/src/db/concern/ResultOperation.php ( 7.01 KB )
  120. /yingpanguazai/ssd/ssd1/www/no.67808.cn/vendor/topthink/think-orm/src/db/concern/WhereQuery.php ( 19.37 KB )
  121. /yingpanguazai/ssd/ssd1/www/no.67808.cn/vendor/topthink/think-orm/src/db/concern/JoinAndViewQuery.php ( 7.11 KB )
  122. /yingpanguazai/ssd/ssd1/www/no.67808.cn/vendor/topthink/think-orm/src/db/concern/TableFieldInfo.php ( 2.63 KB )
  123. /yingpanguazai/ssd/ssd1/www/no.67808.cn/vendor/topthink/think-orm/src/db/concern/Transaction.php ( 2.77 KB )
  124. /yingpanguazai/ssd/ssd1/www/no.67808.cn/vendor/topthink/framework/src/think/log/driver/File.php ( 5.96 KB )
  125. /yingpanguazai/ssd/ssd1/www/no.67808.cn/vendor/topthink/framework/src/think/contract/LogHandlerInterface.php ( 0.86 KB )
  126. /yingpanguazai/ssd/ssd1/www/no.67808.cn/vendor/topthink/framework/src/think/log/Channel.php ( 3.89 KB )
  127. /yingpanguazai/ssd/ssd1/www/no.67808.cn/vendor/topthink/framework/src/think/event/LogRecord.php ( 1.02 KB )
  128. /yingpanguazai/ssd/ssd1/www/no.67808.cn/vendor/topthink/think-helper/src/Collection.php ( 16.47 KB )
  129. /yingpanguazai/ssd/ssd1/www/no.67808.cn/vendor/topthink/framework/src/think/facade/View.php ( 1.70 KB )
  130. /yingpanguazai/ssd/ssd1/www/no.67808.cn/vendor/topthink/framework/src/think/View.php ( 4.39 KB )
  131. /yingpanguazai/ssd/ssd1/www/no.67808.cn/vendor/topthink/framework/src/think/Response.php ( 8.81 KB )
  132. /yingpanguazai/ssd/ssd1/www/no.67808.cn/vendor/topthink/framework/src/think/response/View.php ( 3.29 KB )
  133. /yingpanguazai/ssd/ssd1/www/no.67808.cn/vendor/topthink/framework/src/think/Cookie.php ( 6.06 KB )
  134. /yingpanguazai/ssd/ssd1/www/no.67808.cn/vendor/topthink/think-view/src/Think.php ( 8.38 KB )
  135. /yingpanguazai/ssd/ssd1/www/no.67808.cn/vendor/topthink/framework/src/think/contract/TemplateHandlerInterface.php ( 1.60 KB )
  136. /yingpanguazai/ssd/ssd1/www/no.67808.cn/vendor/topthink/think-template/src/Template.php ( 46.61 KB )
  137. /yingpanguazai/ssd/ssd1/www/no.67808.cn/vendor/topthink/think-template/src/template/driver/File.php ( 2.41 KB )
  138. /yingpanguazai/ssd/ssd1/www/no.67808.cn/vendor/topthink/think-template/src/template/contract/DriverInterface.php ( 0.86 KB )
  139. /yingpanguazai/ssd/ssd1/www/no.67808.cn/runtime/temp/6df755f970a38e704c5414acbc6e8bcd.php ( 12.06 KB )
  140. /yingpanguazai/ssd/ssd1/www/no.67808.cn/vendor/topthink/think-trace/src/Html.php ( 4.42 KB )
  1. CONNECT:[ UseTime:0.000439s ] mysql:host=127.0.0.1;port=3306;dbname=no_67808;charset=utf8mb4
  2. SHOW FULL COLUMNS FROM `fenlei` [ RunTime:0.000552s ]
  3. SELECT * FROM `fenlei` WHERE `fid` = 0 [ RunTime:0.001193s ]
  4. SELECT * FROM `fenlei` WHERE `fid` = 63 [ RunTime:0.006040s ]
  5. SHOW FULL COLUMNS FROM `set` [ RunTime:0.000664s ]
  6. SELECT * FROM `set` [ RunTime:0.001026s ]
  7. SHOW FULL COLUMNS FROM `article` [ RunTime:0.000505s ]
  8. SELECT * FROM `article` WHERE `id` = 478070 LIMIT 1 [ RunTime:0.009728s ]
  9. UPDATE `article` SET `lasttime` = 1778600141 WHERE `id` = 478070 [ RunTime:0.001174s ]
  10. SELECT * FROM `fenlei` WHERE `id` = 65 LIMIT 1 [ RunTime:0.002276s ]
  11. SELECT * FROM `article` WHERE `id` < 478070 ORDER BY `id` DESC LIMIT 1 [ RunTime:0.000388s ]
  12. SELECT * FROM `article` WHERE `id` > 478070 ORDER BY `id` ASC LIMIT 1 [ RunTime:0.000465s ]
  13. SELECT * FROM `article` WHERE `id` < 478070 ORDER BY `id` DESC LIMIT 10 [ RunTime:0.000952s ]
  14. SELECT * FROM `article` WHERE `id` < 478070 ORDER BY `id` DESC LIMIT 10,10 [ RunTime:0.008364s ]
  15. SELECT * FROM `article` WHERE `id` < 478070 ORDER BY `id` DESC LIMIT 20,10 [ RunTime:0.005317s ]
0.109957s