提示: 本次推送包括本章节 第二部分 计数资料的假设检验方法 和 第三部分 基于秩次的非参数检验方法 |
目录
计数资料的假设检验方法
1.卡方检验
χ2分布,用于推断两个或多个总体率之间有元差别、两个分别变量之间有无关联性和频数分布的拟合优度检验等。

【问题分析】本例的资料为分类变量整理后的计数资料,分组为不同地区,检出的类别有两类(检出和未检出),像这样的资料又称四格表资料。可以使用卡方检验进行两组检出率的比较。

【结果解释】第一行是Pearson卡方检验的结果,也是本例应该选择的检验方法。统计量χ2= 14.819, P<0.001 。
【结论】两种饮水区的大骨节病检出率不同,差异有统计学意义。
![]() 理论频数(T 或 E) 是指在原假设(H₀:两个变量独立/无关联)成立的前提下,我们期望在每个单元格中观察到的频数
对于上表而言就是
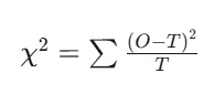
理论频数的意义1. 衡量偏离程度理论频数代表"无关联"时的期望值。实际观察值(O)与理论频数(T)的差异越大,说明两个变量的关联性越强。 2. 卡方检验的基础Pearson卡方统计量就是基于观察值与理论频数的差异计算的:
3. 判断适用条件
|
2.校正卡方检验和Fisher确切概率法
χ2分布是连续性分布,当四格表中理论频数较小时,估计的χ2值偏大,需进行校正。

基于秩次的非参数检验方法
1.单样本及配对设计样本的符号秩检验
Wilcoxon符号秩检验( signed rank test )
2.两独立样本的秩和检验
Mann-Whitney U检验
3.多独立样本的秩和检验
Kruskal-Wallis H检验
4. 其他基于秩次的非参数检验
Friedman M检验